Confianza y
capital social:evidencia para México
Trust and social capital: evidence for Mexico
Rubén
Martínez-Cárdenas*
Edgardo Arturo
Ayala-Gaytán**
sErnesto Aguayo-Téllez***
Abstract
From an
economic perspective, trust among members of a society is associated with the
efficient functioning of markets, contract reinforcement and in general with
the capacity to generate development and welfare. In this article we
empirically explore the determinants of trust in Mexico; in particular we
isolate the relation among two measurements of social capital, one for the
individual and another for their environment. Our results show that trust
increases with these measurements of social capital, and in the absence of
segregation, it is higher in smaller communities, at older ages and for
inhabitants of the center-occident, among others.
Keywords: Trust, social capital, economic development.
Resumen
Desde la
perspectiva económica la confianza entre los miembros de una sociedad está
asociada al funcionamiento eficiente de los mercados, al reforzamiento de
contratos y, en general, a la capacidad para generar desarrollo y bienestar. En
este artículo exploramos empíricamente los determinantes de la confianza en
México, en particular, aislamos la relación entre dos medidas de capital
social, una para el individuo y otra para su entorno. Nuestros resultados
muestran que la confianza aumenta con estas medidas de capital social y con
ausencia de segregación es mayor en comunidades pequeñas, a mayor edad y para
habitantes del centro-occidente, entre otras.
Palabras clave:
Confianza, capital social, desarrollo económico.
*
University of York, Inglaterra. Correo-e: rubenmtzc@gmail.com,
rmc509@york.ac.uk
**
Tecnológico de Monterrey, campus Monterrey, México. Correo-e: edgardo@itesm.mx
*** Universidad Autónoma de Nuevo León, México. Correo-e:
ernestoaguayo@gmail.com
Introducción
Imagine un
mundo donde todos desconfían de todos. Tomar un taxi sería imposible, por citar
un caso, ya que el chofer pediría el importe por adelantado ante la
incertidumbre de que el pasajero pague, mientras que este último no querría pagar previendo la fuga del conductor una vez que
tenga el dinero en la mano. Lo mismo sucedería con la provisión de casi
cualquier producto o servicio, no se diga la creación de empresas u
organizaciones o las transacciones financieras.[1]
Hasta hace poco
los economistas explicaban la organización económica casi exclusivamente en los
mercados y el crecimiento en la acumulación de capital físico y en la
innovación, esto último acorde al criterio del empresario innovador del que
trata Schumpeter (1934), omitiendo cualquier consideración sobre las relaciones
sociales de los individuos. En la actualidad se reconoce, sin embargo, que ni
los mercados ni la acumulación de capital físico e innovación pueden
desarrollarse en un clima de nula confianza entre los individuos.
Así, la cohesión
entre los miembros de una sociedad es vital para el funcionamiento económico, y
son precisamente los constructos de confianza y capital social los que miden el
nivel de enlace entre sus miembros (Putnam et al., 1993 y Putnam 2000). En sentido
figurado, el capital social es el pegamento intangible en las relaciones
económicas y sociales de los individuos, y la confianza es el ingrediente
esencial con el que está construido este aditivo social.[2]
La confianza y el
capital social son críticos en el desarrollo económico. Dasgupta (2000),
Gambetta (2000) y Durlauf y Fafchamps (2005) sostienen que la confianza es un
sustituto menos costoso y más eficiente que el andamiaje institucional
necesario para hacer valer los contratos completos[3]
que tendrían que diseñarse para hacer viables las relaciones económicas entre
los habitantes de una región. Por su parte, Keefer y Knack (1997) demostraron
la validez empírica de la correlación entre la confianza de los individuos de
un país y el crecimiento y bienestar económico del mismo, mientras que Knack y
Zak (2003) lo ratificaron a nivel regional. Asimismo, Helliwell y Wang (2011)
encuentran una relación importante entre medidas de confianza y el nivel de
bienestar entre individuos.
Adicionalmente,
se ha encontrado evidencia de los efectos positivos del capital social en casos
más particulares como comunidades y organizaciones.
Por ejemplo, referente al efecto del capital social en las cooperativas,
Gutiérrez et al.
(2011) encuentran que las medidas de capital social asociadas con la confianza,
normas, redes e incentivos bien definidos mejoran el desempeño de cooperativas
pesqueras. En un estudio sobre la relación entre desempeño académico y capital
social, Misra et al. (2013) encuentran que el capital
social, medido como el número de membresías voluntarias totales por
comunidades, está asociado con un efecto positivo en el desempeño académico de
las escuelas primarias. Por otro lado, Costa e Silva, et
al. (2012) encuentran
que el capital social, aproximado en este caso como confianza, tiene un efecto
positivo en el desempeño de cada empresa después de pasar por un proceso de
fusión.
De esta forma, el
estudio de la confianza y su relación con el desempeño y el bienestar de los
individuos y la sociedad ha cobrado relevancia recientemente, tanto en la
economía como la sociología. Este interés gira principalmente en torno a la
forma en que la confianza se crea entre individuos y subgrupos
sociales, sobre cómo transforma estas relaciones y a las
instituciones, así como su influencia en el funcionamiento de los mercados y el
bienestar social.
No obstante, la
importancia del capital social y la confianza, así como el análisis de sus
determinantes a nivel regional ha sido escasamente estudiado, especialmente en
países emergentes como México. El presente análisis busca contribuir en esta
línea de investigación y para lo cual se parte de dos medidas de confianza,
una, comúnmente utilizada en la literatura: la opinión expresada por los
individuos respecto de si se puede confiar o no en la mayoría de la gente, y
otra, menos común, constituida por un índice de confianza en diversos agentes
sociales. Ambas medidas de confianza se construyeron a partir de la encuesta de
Capital Social Urbano realizada por la Secretaría de Desarrollo Social (Sedesol)
en 2006, la cual fue aplicada a 2100 hogares de zonas urbanas; 700 en cada una
de las cuatro regiones geográficas del país: norte, centro, centro-occidente y
sur-sureste.[4] La encuesta es
representativa para las zonas urbanas a nivel nacional y para las regiones
norte, centro-occidente y sur-sureste y contiene información sociodemográfica
de los habitantes de cada hogar encuestado, así como información relativa al
grado de confianza y capital social que poseen los individuos.[5]
En particular,
buscamos contrastar la influencia de los determinantes individuales y de
contexto o del entorno sobre la confianza que las personas tienen hacia sus
semejantes en México. Para tal fin medimos confianza por medio de dos variables, una, construida con base en la pregunta
sobre si los individuos perciben que pueden confiar en otros y, otra,
construida como un índice basado en calificaciones reportadas por los
encuestados sobre diferentes agentes sociales.[6]
Entre las variables individuales exploramos la influencia de la edad, genero,
educación e ingreso. Entre las variables de contexto o del entorno destacan el
tamaño de la comunidad donde vive, el grado de etnicidad y de segregación.
Asimismo, se estima si el capital social del individuo, medido como el número
de membresías en organizaciones voluntarias, y el capital social de entrono,
medido por la percepción de ayuda entre la gente, tienen alguna injerencia en
el nivel de confianza.
1. Análisis de los
determinantes de la confianza en la literatura
La confianza
es un ingrediente clave en la realización de transacciones entre los agentes. Para que una transacción se
realice los agentes involucrados deben tenerse confianza mutua o propiciar la
existencia de mecanismos que refuercen o sustituyan a la confianza,
tales como los sistemas judiciales, las agencias reguladoras u otras
organizaciones; de forma tal que las partes acuerden no sólo efectuar la
transacción, sino también revisarla una vez realizada aún y cuando esta
revisión vaya en contra de sus intereses. No obstante, estas instancias
formales requieren cuantiosos recursos, suelen ser falibles y su misma
imperfección incentiva la búsqueda de rentas y el oportunismo de los agentes.
Ciertamente, la confianza puede ser un medio eficiente para lograr la
cooperación y hacer valer el compromiso entre los individuos.
En este sentido,
podemos conceptualizar a la confianza como un activo intangible que permite la
disposición voluntaria entre partes para realizar acciones interdependientes en
un escenario de incertidumbre. Esta permisibilidad, se propone, acrecienta las
probabilidades de intercambio, incrementa la velocidad en la que éste se da,
estimula el buen comportamiento entre las partes y se permea a la sociedad
intensificándose a sí misma (Alesina y La Ferrara 2002; Dasgupta 2003; Fukuyama
1995 y La Porta et al., 1997).
Arrow (1972: 357)
menciona que “virtualmente todas las transacciones comerciales tienen en sí
mismas un elemento de confianza… Se puede argumentar plausiblemente que mucho
del retroceso económico en el mundo puede ser explicado por la falta de
confianza mutua”. Alesina y La Ferrara (2002: 207-208) afirman que “cuando la
gente confía entre ella, los costos de transacción en actividades económicas se
reducen, las organizaciones grandes funcionan mejor, los gobiernos son más
eficientes, el desarrollo financiero es más rápido: más confianza puede incitar
al éxito económico”.
En qué grado
confiar en los demás es una decisión individual, la selección seguramente
dependerá de los beneficios y costos esperados de confiar en los demás. Aunque
la acumulación de este activo es individual, esta decisión está fuertemente
influenciada por el nivel de confianza que se percibe en el resto de la
sociedad. Es decir, si los individuos deciden no confiar, podría ser mal negocio,
produciéndose situaciones semejantes al dilema del prisionero. Así, entre los
factores que pueden contribuir a mejorar o deteriorar el nivel de confianza
destacan tanto variables personales como el género, la educación y las
experiencias pasadas; así como variables del entorno, las normas, los valores,
la fragmentación social y la heterogeneidad
de la sociedad, la calidad de las instituciones y la polarización
económica (desigualdad extrema del ingreso) y social (segregación racial).
Entre los
determinantes individuales que más se han analizado destaca el efecto de la
educación. Por ejemplo, Helliwell y Putnam (1999) analizando datos de la
General Social Survey (gss) para
Estados Unidos encontraron que incrementos en el promedio de educación aumentan
el nivel de confianza. En el mismo sentido, Knack y Zak (2003) determinaron que
la educación incrementa la confianza de forma directa por sí misma, e
indirecta, mediante una mejora en la calidad de las instituciones que hacen
valer los contratos y disminuye la desigualdad.
En relación a los
determinantes del entorno o contexto, Putnam et al. (1993) apuntan que existe una
relación positiva entre la densidad en redes horizontales, la confianza y las
normas cívicas.[7] Asimismo, estos autores encontraron
que los factores relacionados con una baja polarización social y las reglas
institucionales formales que acotan el comportamiento del gobierno tienen un
efecto positivo sobre la confianza. Utilizando la encuesta gss de Estados Unidos, Alesina y La
Ferrara (2002) revelan que entre los factores que más reducen la confianza se
encuentran experiencias traumáticas recientes, la pertenencia a un grupo
históricamente discriminado (afroamericanos y en menor medida el género
femenino), los bajos niveles de educación e ingreso y vivir en una comunidad
racialmente heterogénea o con alta desigualdad en el ingreso.
Adicionalmente,
Glaeser et al.
(2000) muestran que el comportamiento de confianza en el pasado está
correlacionado con el comportamiento de confianza mostrado en experimentos
controlados. Los autores establecen que preguntas que reflejan la aptitud hacia
la confianza en experimentos controlados predicen mejor los niveles de
credibilidad que las preguntas típicas de la gss,
las cuales, los autores afirman, la miden pobremente.
2. Medición de la
confianza
Al tratarse de
un activo no tangible, la medición de la confianza se ha vuelto un asunto
complicado. La forma en que se ha abordado el problema de cálculo o
cuantificación sobre el grado de confianza que las personas muestran es
mediante el uso de variables aproximadas. Por ejemplo, La Porta et
al. (1997), Alesina y
La Ferrara (2002) y Keefer y Knack (1997), entre otros, emplean datos obtenidos
mediante encuestas sobre valores del tipo que se utiliza en este estudio, es
decir, información reportada por los mismos individuos. Gleaser et
al. (2000) utilizan
información obtenida mediante experimentos, Fehr et
al. (2003) y Fehr y
Kosfeld (2005) utilizan experimentos y encuestas sobre confianza, Zak (2007) emplea
datos sobre confianza y los niveles de oxitocina, hormona cuyo nivel tiende a
aumentar cuando los individuos tienen empatía con sus semejantes, y Krueger et
al. (2007), utilizan
información obtenida mediante resonancia magnética hiperfuncional.
Para nuestro
análisis utilizamos dos medidas de confianza que se calculan directamente de la
Encuesta de Capital Social para México (Sedesol, 2006). En la primera medida, Ci1, se toma la respuesta capturada por
la pregunta de la World Values Survey (wvs):[8] “En términos generales
¿usted diría que la mayoría de la gente es confiable o que la mayoría de las
veces uno debe cuidarse las espaldas?”, donde se codifica como “con
confianza” al sujeto
que contestó que la mayoría de la gente es confiable, “con
algo de confianza o confianza intermedia” si contestó “a veces se puede confiar” y “con
desconfianza” a
aquellos que no están seguros o que creen que “todos debemos de cuidarnos las
espaldas”. Es decir, se trata de una medida ordinal de tres niveles que por
convención se toman como 1, 2 y 3. Donde 1 es desconfianza, 2 confianza
intermedia y 3 confianza.[9]
La segunda medida
de confianza es Ci2, se calcula utilizando 8 de 13
preguntas de la encuesta donde se les pide a los sujetos que indiquen en una
escala del 1 al 10 —donde 1 es nula confianza y 10 confianza máxima—, la
credibilidad que tienen en las siguientes instancias: familia, amigos, vecinos,
compadres, jefes y compañeros de trabajo, maestros, empresarios, policía,
jueces, gobierno, partidos políticos e iglesia. Cabe aclarar que se excluyeron
la confianza reportada sobre compañeros y jefes de trabajo por presentar
valores perdidos en exceso, y también los valores reportados para la familia,
amigos y compadres, ya que se busca capturar el grado de cohesión social espontánea
con el resto de la sociedad, no con el círculo más íntimo.[10]
Para la
construcción del índice, primeramente se verificó si las medidas de confianza
en los distintos agentes sociales arriba mencionados podían ser agregadas en un
índice único, para lo cual se utilizó un coeficiente de consistencia interna
conocido como alfa de Cronbach.[11] El índice presenta un valor
de 0.8422, lo que nos permite concluir que el nivel de consistencia es
aceptable y podemos justificar la aglomeración de las medidas de confianza de
los diferentes agentes sociales en un índice único. Posteriormente se realizó un
análisis de componentes principales para determinar la ponderación adecuada de
cada agente social en el índice[12] y con los resultados
obtenidos se construyó una variable ordinal discreta
contenida en un rango de 1 a 10. Utilizando la regla óptima de selección de estratos se generaron tres grupos
por nivel de confianza: de 0 a 5 para
confianza baja, de 6 a 8 para confianza media y finalmente de 9 a 10
para confianza alta.[13]
3. Modelo empírico de
los determinantes de la confianza
De la revisión
de la literatura se desprende que los principales determinantes de la confianza
a nivel individual están asociados con variables sociodemográficas, tales como el género, la edad, la educación y el
nivel de gasto e ingreso. Adicionalmente, la confianza depende de
variables del entorno como el tamaño de la
población en la que viven, la región del país a la que pertenecen, la
incidencia de segregación o marginación, la cobertura de seguridad social en
salud y la etnicidad.
En nuestro
ejercicio también se incluye un tercer grupo de variables que reflejan la
percepción del sujeto con respecto a la ayuda que encuentra en su entorno y su
pertenencia o membresía en organizaciones voluntarias. La percepción del sujeto
con respecto a la ayuda que encuentra en su entorno se incluye para tratar de
controlar por efectos del nivel de capital social percibido en el entorno por
cada uno de los individuos, mientras que la permanencia o membresía en
organizaciones voluntarias se incluye como medición del nivel de capital social
individual por medio de la intención del individuo a participar de las
actividades en la sociedad.
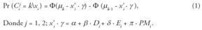
Así, el modelo de
confianza a nivel individual lo representamos con la siguiente ecuación en
donde i
indica individuos u observaciones y j la medición de confianza a emplear:
![]()
Cij º cualitativa que toma el valor 1
para los niveles de confianza bajos, 2 para los intermedios y 3 para los altos,
ya sea para el caso en el que la variable Confianza se construye a partir de la pregunta
directa sobre si se puede confiar o no en las personas (Ci1) o para el caso en que la variable Confianza se construye a partir del índice
antes especificado (Ci2).[14]Di es el vector de variables socio
demográficas de los individuos, Ei es el vector de variables del entorno y PMi es el vector de las variables de percepción de ayuda en su entorno y membrecía en
grupos sociales voluntarios. Los vectores β, δ y π contienen los coeficientes de cada grupo de variables, y
α es un vector de constantes. Ambas ecuaciones se estiman
mediante un modelo Probit Ordenado, utilizando el método de máxima
verosimilitud.[15]
4. Resultados
En la tabla 1
se presentan las medias y desviaciones estándar de las principales variables
consideradas en el modelo, es decir, las dos medidas de confianza (Ci1 y Ci2) y sus determinantes.[16] Cabe hacer notar que la
clasificación típica de confianza que resulta de la pregunta sobre si es
posible confiar en la mayoría de la gente y que ha sido extensamente utilizada
en diversos estudios presenta resultados con tendencia hacia niveles bajos de
confianza; es decir, utilizando esta pregunta, alrededor de 70% de la gente
revela nula confianza. En cambio, utilizando la variable construida a través de
los indicadores de confianza, el panorama luce menos pesimista, toda vez que
únicamente 45% de los individuos encuestados revela un bajo o nulo nivel de
confianza.
De aquí la
importancia de comparar los resultados de las dos medidas alternativas de
confianza propuestas, con el fin de darle más robustez a los resultados.[17] En promedio, los individuos
encuestados reportan 7.4 años de escolaridad y 42.4 años de edad. Hay una
ligera mayoría de hombres en la muestra y un ingreso promedio mensual de 4,123
pesos del 2006 por persona. Veintiocho por ciento de los individuos encuestados
tienen alguna membresía en una organización voluntaria, 54% reportan haber
sufrido algún tipo de segregación en el pasado, 45% no tienen acceso a
servicios de seguridad social, 41% viven en ciudades de más de 100 mil
habitantes y 11% reportan hablar alguna lengua indígena. Veintisiete por ciento
de las encuestas se realizaron en la región norte, 15% en la centro-occidente,
37% en la sur-sureste y 21% en la región centro.
Tabla 1
Estadísticas descriptivas
de las dos medidas de confianza y sus determinantes
|
Variable |
Media |
Desviación
Estándar |
|
Confianza
wvs† (C1) |
1.467005 |
0.016715 |
|
Desconfianza |
70.48% |
|
|
Confianza
intermedia |
11.94% |
|
|
Con
confianza |
17.58% |
|
|
Índice de
confianza‡ (C2) |
1.702686 |
0.7181256 |
|
Confianza
baja |
45.05% |
|
|
Confianza
media |
39.62% |
|
|
Confianza
alta |
15.32% |
|
|
Membresías |
0.2825382 |
0.5288926 |
|
Género |
1.568528 |
0.495396 |
|
Educación |
7.428571 |
4.817085 |
|
Edad |
42.40609 |
16.98512 |
|
Ln
Ingreso |
7.652352 |
0.8062082 |
|
Capital
social en entorno |
0.2210429 |
0.4150451 |
|
Segregación |
0.5403784 |
0.4984819 |
|
Falta de
Seguridad Social |
0.4554684 |
0.4981279 |
|
Hablante
de lengua indígena |
0.1107522 |
0.3138975 |
|
Población
grande |
0.4139363 |
0.492651 |
|
Norte |
0.2676511 |
0.4428369 |
|
Centro-occidente |
0.149054 |
0.3562239 |
|
Sur-sureste |
0.368251 |
0.4824413 |
|
Centro |
0.2150438 |
0.4109476 |
1.
Confianza medida mediante la pregunta de la wvs:
“En términos generales ¿usted diría que la mayoría de la gente es confiable o
que la mayoría de las veces uno debe cuidarse las espaldas?”.
2.
Confianza medida mediante el índice sobre confianza en distintos actores
sociales.
Fuente:
elaboración propia con datos de la encuesta de Capital Social para México
(Sedesol, 2006).
Los resultados de
las estimaciones se muestran en la tabla 2. Dada la naturaleza cualitativa de
las variables dependientes, un signo positivo en el coeficiente significa que
al aumentar el regresor, la probabilidad de que el individuo pertenezca al
grupo de más confianza aumenta, y la probabilidad de que pertenezca al grupo de
menor confianza disminuye, pero a priori el signo sobre la probabilidad de
pertenencia en el grupo intermedio está indeterminado. Cinco de los
coeficientes de las variables incluidas resultaron estadísticamente
significativos en ambos modelos estimados (edad, capital social percibido en el
entorno, segregación, población grande, y región centro-occidente). Dos
coeficientes resultaron significativos únicamente para el modelo 1 (hablante de
lengua indígena y región sur-sureste). Y seis coeficientes resultaron
significativos únicamente para el modelo 2 (membresía, género, educación,
ingreso, falta de seguridad social y región norte).
Los resultados
conjuntos de ambos modelos indican que aquellos individuos con mayor edad que
reportan mayor capital social en el entorno y que habitan en la región
centro-occidente presentan una mayor probabilidad de pertenecer al grupo de más
confianza. Además, el hecho de experimentar algún tipo de segregación y habitar
en poblaciones de tamaño grande implica también una menor probabilidad de
pertenecer al conjunto de individuos con mayor nivel de confianza.
Adicionalmente, el modelo 1 apunta a que pertenecer a algún grupo indígena y
ser habitante de la zona sur-sureste tienen un efecto positivo y negativo
respectivamente en el nivel de confianza reportado. De igual forma, el modelo 2
sugiere que pertenecer de forma voluntaria a organizaciones, el nivel de
escolaridad y ser habitante de la región norte del país están positivamente
relacionados con el nivel de confianza, y ser mujer, tener mayores ingresos y
carecer de seguridad social, tienen una relación negativa con el nivel de
confianza.
Estos resultados
concuerdan con cierta evidencia en la literatura, por ejemplo, al igual que los
resultados arrojados por el modelo 2, Alesina y La Ferrara (2002) encuentran un
efecto positivo y decreciente de la edad en la confianza. Por otro lado, al
igual que en Helliwell y Putnam (1999) y Knack y Zak (2003), es posible
rescatar un efecto significativo y positivo de la educación sobre la confianza
utilizando el modelo 2. En relación al género, Alesina y La Ferrara (2002)
encuentran resultados similares a los de esta investigación con efectos
negativos en el nivel de confianza por parte de las mujeres.
Con respecto al
hecho de pertenecer a grupos tradicionalmente segregados como los indígenas y
los negros, nuestros resultados no coinciden totalmente con los encontrados por
autores como Alesina y La Ferrara (2002) y Glaeser et
al. (2000), ya que
ellos encuentran una relación negativa entre el nivel de confianza y pertenecer
a grupos tradicionalmente segregados como es el caso de las personas de raza
negra en Estados Unidos en los años 1974 y
1994. En nuestro caso, en contra de lo que sugeriría la evidencia
internacional y nuestra hipótesis inicial, los resultados indican que,
pertenecer a algún grupo indígena incrementa la confianza en los demás.

En relación a las
variables de entorno o de contexto existe más consenso entre los resultados
para ambas medidas de confianza. Los coeficientes indican que la confianza
tiende a ser mayor cuando los individuos perciben que el entorno es
cooperativo, contrario a lo que ocurre cuando experimentan algún tipo de
segregación o cuando el tamaño de la población en la que habitan es grande.
Adicionalmente, se encuentra que es mayor la probabilidad a tener baja
confianza si no se tiene acceso a algún tipo seguridad social, ya sea pública o
privada.
Finalmente, con
relación a los efectos fijos regionales, el grupo de referencia son los
individuos localizados en la región centro. Una vez controlando por el resto de
las variables, los individuos de la región centro-occidente tienen en promedio
más confianza que el grupo de referencia, esto para ambos modelos. De acuerdo
al segundo modelo, aquellos en la región norte tienen más confianza que el
grupo de referencia y de hecho que todos los grupos, incluida la
centro-occidente. La región sur-sureste
presenta los niveles de confianza más bajos en comparación con el resto
de las regiones (en el segundo modelo empata con el grupo de referencia).
En las tablas 3 y
4 se presentan los efectos marginales estimados para cada variable
independiente. Éstos miden el cambio en la probabilidad de que un sujeto pase a
la condición de “confianza intermedia” y de “confianza alta” al incrementarse
la variable explicativa en una unidad. Dado que los cambios en la suma de las
probabilidades deben sumar cero, entonces el cambio en la condición de
“confianza baja” es el negativo de la suma de los otros dos efectos. En el caso
de las variables discretas dicotómicas, tales como género, si habla una lengua
indígena, si habita en una población grande, entre otras, el efecto marginal
representa el incremento en la probabilidad de tener cierto nivel de confianza
al presentarse el atributo en consideración.
Así, los
resultados para el modelo 1 que utiliza la medida de confianza basada en la
pregunta sobre si es posible confiar en la mayoría de la gente, indican que
respecto del promedio de las observaciones y controlando por las demás
variables explicativas, la probabilidad de pertenecer al grupo de más confianza
se incrementa en 14% al ser habitante de la región centro-occidente, mientras
que hablar alguna lengua indígena aumenta la probabilidad de pasar al grupo de
mayor confianza en 9.5%. Si tomamos en cuenta únicamente estos dos resultados,
en conjunto, el hecho de que una persona hable alguna lengua indígena y que
habite en el centro-occidente del país eleva en casi 25% la probabilidad de ser
parte del sector que más confianza reporta, en comparación con los que no
comparten estas características.


Por otro lado, el
hecho de percibir un entorno favorable (capital social del entorno) contribuye
en 5.4% a pertenecer al grupo de mayor confianza o en 7% a formar parte de este
grupo y al de confianza intermedia. Incrementos de un año en la edad
contribuyen únicamente en 0.16% a pertenecer a estos dos grupos.
En contraste con
estos resultados, ser habitante de la región sur-sureste del país amplía la
probabilidad de estar dentro del grupo de menor confianza en 7.2% y disminuye
la probabilidad de pertenecer al grupo de mayor confianza en 5.3%. Experimentar
algún tipo de segregación eleva en aproximadamente 6% la probabilidad de
ubicarse en el grupo de menor confianza y vivir en una población grande en
cuatro por ciento.
Respecto del modelo 2, los resultados de la injerencia de las variables
explicativas en el índice de confianza construido indican que aquellos
individuos que habitan en las regiones norte y centro-occidente del país tienen
18% y 12% más de probabilidad, respectivamente, de pertenecer al grupo de mayor
confianza, respecto de la región centro. La percepción de un entorno favorable,
lo que interpretamos como indicador de un alto nivel de capital social de entorno,
contribuye en 10.6% a ser parte del grupo de mayor confianza. Si sumamos a este
resultado el de pertenencia al grupo de confianza media, entonces el efecto es
aproximadamente del orden de 17 por ciento.[18]
Las demás
variables presentan aportes menores más no despreciables. La probabilidad de
pertenecer al grupo de menor confianza disminuye en 6% al incrementarse el
número de membresías a asociaciones voluntarias en una unidad, mientras que ser
mujer la eleva en 4%. Un año adicional de educación contribuye en 1.25% a
formar parte del grupo de confianza media y alta (o 12.5% cada 10 años) y 0.2%
por cada año adicional de edad (o 2% cada 10 años).
Haber
experimentado algún tipo de segregación afecta de manera negativa la confianza
en los individuos aumentando en 12.5% la probabilidad de pertenecer al grupo de
confianza baja. Habitar en una población grande disminuye la probabilidad de
formar parte de los grupos de confianza media y alta en 5%, mientras que
carecer de seguridad social contribuye en 4.4% a la probabilidad de estar
dentro del grupo de menor confianza. Otro resultado con efecto negativo en el
nivel de confianza es el del nivel de ingreso, el cual, contrario a nuestra
hipótesis inicial, indica que un incremento de 1% en el ingreso aumenta la probabilidad
de pertenecer al grupo de baja confianza en 4.4%.
5. Discusión
Los resultados
sobre los determinantes microeconómicos de la confianza son compatibles con la
evidencia internacional en países desarrollados. La confianza en México está
relacionada con la educación y con la edad, esto es, si la tomamos como un
activo intangible que produce un retorno, al parecer las personas más educadas
y de más edad acumulan más de este activo. La educación promueve la creación de
mayor confianza, al menos a nivel individual y con base en la definición más
amplia de los promedios de los puntajes de confianza en las diferentes
instancias de la sociedad. No obstante, a juzgar por sus efectos marginales, la
credibilidad no es muy sensible a los cambios en estas dos variables
sociodemográficas.
En cambio, las
variables del entorno parecen ser los principales determinantes de la confianza
de los sujetos en México. En principio, ésta es bastante sensible a la región
geográfica: los individuos del norte muestran un nivel de confianza mayor a
todas las demás regiones, los del centro-occidente también están por arriba del
grupo de referencia, mientras que los del sur-sureste están igual o tienen un
nivel menor al resto.
No obstante, detrás de la mera división geográfica pueden asomarse
circunstancias económicas, políticas e incluso históricas y culturales que
condicionan el nivel de confianza y que van más allá del alcance de este
estudio. Una posible hipótesis a este respecto es que el relativo atraso de las
economías de los estados del sur del país influye negativamente en la
credibilidad entre los individuos construyendo una posible trampa al
desarrollo, es decir, la poca confianza dificulta el desarrollo, el cual
refuerza la desconfianza estancando a la región. Otra posible explicación es
que las sociedades del sur están más polarizadas o que se asemejen a sociedades
jerárquicas con poca permeabilidad social. Definitivamente es importante
descubrir con más detalle los condicionantes económicos y sociológicos que
marcan el poderoso efecto de las regiones sobre la confianza.
Es
particularmente interesante que la percepción de ayuda en el entorno genere más
confianza del individuo en los demás. Este efecto sugiere la existencia de multiplicadores
sociales o círculos
virtuosos, ya que si
la credibilidad aumenta en los individuos, esto generará un entorno más
positivo y más propenso a que los miembros del mismo se ayuden, lo que refuerza
la confianza entre los individuos, con lo que aumenta la confianza global así
como la individual. Este resultado contrasta con el efecto no significativo (en
el caso del modelo 1) y significativo pero de baja magnitud (para el caso del
modelo 2) del número de membresías sobre el nivel de confianza. Si
interpretamos la existencia de un entrono positivo como indicador de un nivel
de capital social alto y al número de membresías como indicador del nivel de
capital social individual, estos resultados nos estarían diciendo que el nivel
de capital social de entorno se superpone al nivel de capital social de cada
individuo.
No deja de ser
paradójico que aumente la probabilidad de confiar en los demás si el individuo
habla una lengua indígena, al menos en una de las dos medidas empleadas. En
nuestra opinión, esto puede deberse a la homogeneidad presente respecto a la
etnicidad de los individuos en las comunidades indígenas. Otro resultado
contradictorio que encontramos es el relacionado con el nivel de ingreso.
Nuestra hipótesis en un principio sugería que el efecto del ingreso sobre el
nivel de confianza debería ser positivo, sin embargo, el efecto negativo que
encontramos en el modelo 2 advierte lo contrario.
Nos parece que
dos posibles efectos pueden estar reflejándose aquí, por un lado, puede ser que
las relaciones que establecen los grupos de mayor ingreso no permiten el
desarrollo de confianza debido a fricciones y cuestiones que tienen que ver con
estatus; por otra parte, puede ser que los individuos de ingresos más altos
expresen su nivel de confianza respecto de grupos distintos al suyo, es decir, que
no se identifiquen con las instancias sociales respecto de las cuales se
construyo el índice de confianza o que revelen que no pueden confiar en
individuos que pertenecen a grupos distintos al suyo.
Finalmente,
nuestro estudio arroja evidencia sobre la relación entre el hecho de que los
individuos experimenten algún tipo de segregación social y que tiendan a
desconfiar de sus semejantes. En el mismo sentido, encontramos evidencia
parcial de que, al menos en uno de los modelos, la falta de acceso a la seguridad
social disminuye la confianza en la sociedad. Los resultados refuerzan la
noción de que los grupos segregados tienen bajos niveles de confianza, lo que
debe de afectar su funcionamiento económico. Y en cierto sentido la falta de
acceso a los sistemas de seguridad social se puede interpretar como una forma
de discriminación hacia los más débiles.
Así, una sociedad
es más fuerte mientras mayor sea la cohesión social, la cual se alimenta por la
confianza en el resto de la sociedad; si los individuos se sienten
discriminados racial, social o económicamente, menor será el sentimiento de
cooperación y compromiso con las instituciones y la sociedad en general. En
particular, un grupo que históricamente ha padecido de trato desigual es el
género femenino. Al respecto, los resultados indican una tendencia a expresar
un nivel de confianza bajo por parte de quienes pertenecen a este grupo. El
trato discriminatorio y la represión y subrepresentación de este grupo en la
sociedad puede estar expresado en este resultado.
Conclusiones
El presente
estudio sobre confianza utiliza datos a nivel individual y presenta evidencia
sobre los canales por medio de los cuales puede fomentarse el nivel de
confianza entre los individuos. Este tema toma relevancia en el contexto actual
que se vive en México y puede ser de utilidad si quisiera incluirse a este
activo en el diseño de políticas públicas. En este sentido, este trabajo arroja
resultados sobre el perfil de las personas con mayor o menor grado de
confianza, permitiendo distinciones entre grupos que comparten características
sociodemográficas, de entorno y sobre capital social en México.
Nuestras
estimaciones, en conjunto, indican que aquellos individuos con mayor edad que
reportan mayor capital social en el entorno y que habitan en la región centro-occidente
reportan una mayor probabilidad de pertenecer al grupo de más confianza. Por
otro lado, el hecho de experimentar algún tipo de segregación y habitar en
poblaciones de tamaño grande implica una menor probabilidad de pertenecer al
conjunto de individuos con mayor nivel de confianza. A su vez, de forma
parcial, participar de forma voluntaria en organizaciones, pertenecer a algún
grupo indígena, el nivel de escolaridad y ser habitante de la región norte del
país están positivamente relacionados con el nivel de confianza, mientras que,
ser mujer, tener mayores ingresos, ser habitante de la zona sur-sureste y
carecer de seguridad social tienen una relación negativa con el nivel de
confianza.
Respecto a los
efectos marginales estimados, los resultados para el modelo que utiliza la
medida de confianza basada en la pregunta sobre si es posible confiar en la
mayoría de la gente indican que la probabilidad de pertenecer al grupo de más
confianza se incrementa en 14% al ser habitante de la región centro-occidente,
mientras que hablar alguna lengua indígena
aumenta la probabilidad de pasar al grupo de mayor confianza en 9.5%. Asimismo,
el hecho de percibir un entorno favorable (capital social del entorno)
contribuye en 5.4% a pertenecer al grupo
de mayor confianza y en 7% a formar parte de este mismo grupo y al de confianza intermedia. Incrementos de un
año en la edad contribuyen solamente en 0.16% a pertenecer a los grupos de
confianza intermedia y alta. Por el contrario, ser habitante de la región
sur-sureste del país contribuye a la probabilidad de estar dentro del grupo de
menor confianza en 7.2% y disminuye la probabilidad de pertenecer al grupo de
mayor confianza en 5.3 por ciento.
Experimentar
algún tipo de segregación incrementa en casi 6% la probabilidad de ubicarse en
el grupo de menor confianza y vivir en una población de más de 100 mil
habitantes en cuatro por ciento.
El modelo que estima el nivel de confianza utilizando el índice
construido por nosotros indica que aquellos individuos que habitan en las
regiones norte y centro-occidente del país tienen, respectivamente, 18% y 12%
más de probabilidad de pertenecer al grupo de mayor confianza en comparación con la región centro. La
percepción de un alto nivel de capital social de entorno contribuye en 10.6% a ser
parte del grupo de mayor confianza y
en 17% a pertenecer al de confianza intermedia y más alta; por su parte,
incrementos de un año en la escolaridad y en la edad causan, respectivamente,
aumentos de 12.5% y 2% en la probabilidad de pertenecer a los grupos de
confianza media y alta cada 10 años. Por otro lado, incrementos en el número de
membresías disminuye en 6% la probabilidad a pertenecer al grupo de menor
confianza y ser mujer la eleva en cuatro por ciento.
Finalmente,
experiencias de segregación decrecen la probabilidad de pertenecer al grupo de
confianza baja en 12.5%, un monto significativo, caso contrario es el que
reporta carecer de seguridad social, variable que tiene el efecto de
incrementar en 4.4% la probabilidad de pertenecer al grupo antes mencionado.
Habitar en una población grande disminuye la probabilidad de formar parte de
los grupos de confianza media y alta en 5%. El nivel de ingreso, contrario a
nuestra hipótesis inicial, indica que un incremento de 1% en el ingreso aumenta
la probabilidad de pertenecer al grupo de baja confianza en 4.4 por ciento.
Estos efectos no
son despreciables e indican una prevalencia de la regionalidad, el capital
social de entorno, pertenencia a grupos indígenas y experiencias de segregación
como principales canales de afectación del nivel de confianza. Nuestro análisis
sugiere también la necesidad de ampliar el estudio de la confianza en México,
para este propósito una posible línea de investigación futura es comparar
cohortes de individuos que han cambiado de región para evaluar si su nivel de
confianza cambia con la residencia, o si el activo perdura inmaculado en el
migrante; otra posibilidad es considerar la residencia original de los
individuos, sus hábitos religiosos y otras variables que definan su
idiosincrasia. Estas líneas de investigación no se tomaron en cuenta en este
trabajo ya que la encuesta que utilizamos no capturó esa información, por lo
que consideramos importante enriquecer futuras encuestas en estas áreas, de
forma tal que se pueda profundizar sobre el tema abordado en este trabajo y
otras materias afines.
Bibliografía
Aguayo-Téllez,
Ernesto, Edgardo Ayala-Gaytán y Rubén Martínez-Cárdenas (2014), “A quantitative
analysis of social capital in Mexico”, Well-Being and Social Policy, 9 (1), Inter-American Conference of
Social Security, Mexico, pp. 5-19.
Alesina, Alberto y Eliana La Ferrara (2002), “Who
trusts others?”, Journal of Public Economics,
85 (2), North-Holland Pub. Co., Amsterdam, pp. 207-234.
Amemiya, Takeshi (1981), “Qualitative response models:
a survey”, Journal of
Economic Literature, XIX, American Economic Association, Pittsburgh, pp.
1483-1536.
Arrow, Kenneth (1972), “Gifts and exchanges”, Philosophy and Public Affairs, 1
(4), Wiley, Malden MA., pp. 343-362.
Beltran, Julio
(2010), “El problema de la confianza: fuentes económicas y psicológicas de la
moral”, ponencia presentada en el XV Congreso Internacional de Filosofía,
Asociación Filosófica de México, 25-29 de enero, ciudad de México, Memorias.
Beugelsdijk, Sjoerd y Ton Van Schaik (2001), “Social
capital and regional economic growth”, Discussion paper No. 2001-102, Center
for Economic Research, Tilburg University, Tilburg.
Costa e Silva, Susana, Frank Bradley, Carlos M. P.
Sousa (2012), “Empirical test of the trust–performance link in an international
alliances context”, International
Business Review, 21 (2), European International Business Academy,
Amsterdam, pp. 293-306.
Dasgupta, Partha (2000), “Trust as a commodity”, en
Diego Gambetta (ed.), Trust: making
and breaking cooperative relations, Departamento
de Sociología, Oxford University, Oxford, pp. 49-72,
http://www.nuffield.ox.ac.uk/users/gambetta/Trust_making%20and%20breaking%20cooperative%20relations.pdf,
14 de julio de 2014.
Dasgupta, Partha (2003), “Social capital and economic
performance: analytics”, en Elionor Ostrom y Toh-Kyeong Ahn (eds.), Foundations of social capital,
Edward Elgar Publishing, Cheltenham, pp. 309-339.
Durlauf, Stephen y Marcel Fafchamps (2005), “Social
capital”, en Philippe Aghion y Steven Durlauf (eds.), Handbook of Economic Growth,
Elsevier, Amsterdam, pp. 1639-1699.
Fehr, Ernst, Urs Fischbacher,
Bernhard von Rosenbladt, Jürgen Schupp y Gert Wagner (2003), “A nation-wide
laboratory: examining trust and trustworthiness by integrating behavioral
experiments into representative surveys”,iew
working paper No. 141, Institute for Empirical Research in Economics,
Universidad de Zurich, Zurich.
Fehr, Ernst, Urs Fischbacher y Michael Kosfeld (2005),
“Neuronomic fundation of trust and social preferences”, Discussion paper No.
5127, Centre for Economic Policy Research, Washington.
Fukuyama, Francis (1995), Trust: the social virtues and the creation of prosperity,
The Free Press, New York.
Gambetta, Diego (2000), Trust: making and breaking cooperative relations,
Departamento de Sociología, Oxford University, Oxford,
http://www.nuffield.ox.ac.uk/users/gambetta/Trust_making%20and%20breaking%20cooperative%20relations.pdf,
14 de julio de 2014.
Glaeser, Edward, David Laibson, José Scheinkman y
Christine Soutter (2000), “Measuring trust”, The Quarterly Journal of Economics,
115 (3), Harvard University, Cambridge, pp. 811-846.
Green, William H. (2011), Econometric Analysis, 7th Edition,
Prentice Hall, Bergen Country.
Gutiérrez, Nicolás L., Ray
Hilborn y Omar Defeo (2011), “Leadership, social capital and incentives promote
successful fisheries”, Nature Publishing Group, 470,
London, pp. 386-389.
Helliwell, John y Robert Putnam (1999), “Economic
growth and social capital in Italy”, en Partha Dasgupta e Ismail Serageldin
(eds.), Social
capital: a multi-faceted perspective, World Bank,
Washington, pp. 253-268.
Helliwell, John y Shun Wang (2011), “Trust and wellbeing”,
International Journal of Wellbeing, 1
(1), Victoria University of Welligton-Hamilton-Open Polytechic, New Zeland, pp.
42-78.
Keefer, Philip y Stephen Knack (1997), “Does social
capital have an economic payoff? A cross-country investigation”, The Quarterly Journal of Economics,
112 (4), Harvard University, Cambridge, pp. 1252-1288.
Knack, Stephen y Paul Zak (2003), “Building trust:
public policy, interpersonal trust, and economic development”, Supreme Court Economic Review, 10,The
University of Chicago Press, Chicago, pp. 91-107.
Krueger, Frank, Kevin McCabe, Jorge Moll, Nikolaus
Kriegeskorte, Roland Zahn, Maren Strenziok, Armin Heinecke y Jordan Grafman
(2007), “Neural correlates of trust”, Proceedings of the National Academy of Sciences, 104 (50),
United States National Academy of Sciences, Washington, pp. 20084-20089.
La Porta, Rafael, Florencio Lopez-de-Silanes, Andrei
Shleifer y Robert Vishny (1997), “Trust in large organizations”, American Economic Review, 87 (2),
Nashville, Tennessee, pp. 333-338.
Misra, Kaustav, Paul M. Grimes y Kevin E. Rogers
(2013), “The effects of community social capital on school performance: a
spatial approach”, The Journal
of Socio-Economics, 42, EconPapers, Beer-Sheva, pp. 106-111.
Paldam, Martin (2000), “Social
capital: one or many? Definition and measurement”, Journal of Economic Surveys,
14 (5), Wiley Online Library, Christchurch, pp. 629-653.
Putnam, Robert, Robert Leonardi y Raffaella Nanetti
(1993), Making
democracy work: civic traditions in modern Italy, Princeton
University Press, Princeton.
Putnam, Robert (2000), Bowling alone, Simon and
Schuster, New York.
Scheaffer, Richard, William Mendenhall y Lyman Ott
(2007), Elementos de
muestreo, International Thompson Editores, Madrid.
Schumpeter, Joseph (1934), The theory of economic development: an inquiry into
profits, capital, credit, interest and business cycle,
Harvard Economic Studies, traducido por
Redverse Opies, vol. 46, Cambridge.
Sedesol (2006),
Encuesta Nacional sobre Capital Social en el Medio Urbano, Secretaría de
Desarrollo Social, Instituto Nacional de Salud Pública y Programa de Naciones
Unidas para el Desarrollo en México, México,
http://bdsocial.inmujeres.gob.mx/index.php/ligasdeinteres2?id=13:encuesta-nacional-sobre-capital-social-en-el-medio-urbano-encsmu-20065&catid=1,
14 de junio de 2014.
Williamson, Oliver (1975), Markets and hierarchies: analysis of antitrust
implications, Free Press, New York.
Zak, Paul (2007), “The
neuroeconomics of trust”, en Roger Frantz (ed.), Renaissance in Behavioral
Economics, Routledge, London, pp. 17-33.
Recibido:
21 de octubre de
2010.
Reenviado:
26 de agosto de 2011.
Aceptado:17 de abril 2012.
Rubén Martínez-Cárdenas. Mexicano. Actualmente es estudiante de doctorado en el
departamento de economía de la University of York, en Inglaterra; es graduado
del programa de maestría en economía y política pública de la Escuela de
Graduados en Administración y Políticas Públicas (egap) del Tecnológico de Monterrey (itesm), campus Monterrey, y se graduó de la licenciatura en
economía en la Universidad Autónoma de Nuevo León. Ha sido profesor en el
Departamento de Economía e investigador de la División de Administración y
Finanzas del itesm, campus Monterrey, y profesor de Economía en la Facultad
de economía y la Facultad de Ciencias
Políticas de la uanl. Sus líneas
de investigación son diseño de mecanismos, economía laboral, y teoría de la
decisión e incentivos.
Edgardo Arturo Ayala-Gaytán. Mexicano. Doctor en economía por la
Universidad de Tulane. Sus áreas de investigación son el análisis sectorial y
regional, así como el crecimiento económico. Al respecto cuenta con artículos
publicados en revistas arbitradas e indizadas sobre la integración binacional
entre el noreste de México y Texas y sobre la especificación de modelos de
equilibrio general regionales, entre otros temas. Asimismo, dirigió el Centro
de Investigaciones Económica de la uanl
y el programa de Estudios México-Estados Unidos-Canadá del Centro de Estudios
Estratégicos del itesm.
Actualmente es director asociado de la División de Administración y Finanzas
del Tecnológico de Monterrey, campus Monterrey y profesor del Departamento de
Economía de la misma institución. Entre sus publicaciones más recientes se
encuentran, en coautoría: “Efectos de corto plazo de los shocks de los precios
internacionales de los productos agrícolas en México”, Economía
mexicana Nueva Época,
Centro de Investigación y Docencia Económicas (en prensa); “The dragon menace:
is China displacing Mexico’s trade with the United States?”, Análisis
Económico, 24 (55),
Instituto Tecnológico Autónomo de México, México, pp. 327-346 (2009); de su
autoría: “Social network externalities and price dispersion in online markets”,
Ensayos Revista de Economía, 28 (2),
Universidad Autónoma de Nuevo León, Nuevo León, pp. 1-28 (2009).
Ernesto Aguayo-Téllez. Mexicano. Doctor en economía por Rice University con
especialidad en desarrollo económico regional y economía laboral. Licenciado en
economía por la Universidad Autónoma de Nuevo León (uanl). Cuenta con estudios posdoctorales en la Universidad
de California en San Diego y en Rice University. Actualmente es profesor e
investigador en la Facultad de Economía de la uanl
e investigador nivel I del Sistema Nacional de Investigadores (sni). Sus líneas de investigación
actuales son economía de la educación, economía de género, migración,
distribución del ingreso y pobreza. Sus publicaciones más recientes, en
coautoría: “An analysis of the impact of globalization on internal formal
sector migration in Brazil”, World Development, 38 (6), Department of Geography,
McGill University, Quebec, pp. 840-856 (2010); “La industria maquiladora de
exportación y las condiciones salariales de la mujer en México: 1997-2006”, en
Ernesto Aguayo Téllez y Erick Rangel (coords.), Capital
humano, pobreza y desigualdad del ingreso en México, Plaza y Valdés, México,
pp. 311-355 (2010); “Análisis de la generación y redistribución del
ingreso en México a través de una matriz de contabilidad social”, Estudios
Económicos, Centro de
Estudios Económicos, El Colegio de México, México, pp. 225-311 (2010).
[1] Un mundo así lo imagino Hobbes, quien alertaba sobre los peligros de que la racionalidad de los hombres impidieran la cooperación mutua, Beltran (2010).
[2]Para nuestro conocimiento, Paldam (2000) es quien hace la analogía del capital social como pegamento por primera vez.
[3]Por contrato completo nos referimos a un convenio que cumpla con los siguientes requisitos: (1) que anticipe todas las contingencias posibles; (2) que establezca las rutas de acción óptimas en caso de que ocurran tales contingencias (3) que pueda expresarse por escrito exactamente; (4) que no pueda ser renegociado y siempre las partes honren los acuerdos. Este concepto acuñado por Williamson (1975) es sólo un referente teórico que seguramente es difícil de reproducir en la cotidianidad debido a nuestra racionalidad limitada.
[4]La región norte incluye los estados colindantes con el sur de Estados Unidos más Baja California Sur y Sinaloa. La región centro comprende el Distrito Federal y todos los estados colindantes con él además de Querétaro e Hidalgo; mientras que la región centro-occidente los estados de Nayarit a Michoacán en el Pacífico además de Durango, Zacatecas, Guanajuato, Aguascalientes y San Luis Potosí. Finalmente, la región sur-sureste integrada por los estados de Veracruz a Quintana Roo en el Golfo y la Península de Yucatán y de Guerrero a Chiapas en el sur del país.
[5]El método para el levantamiento de la encuesta fue por muestreo estratificado, de conglomerados y polietápico.
[6]Más adelante se elabora sobre la construcción de estas dos mediciones de confianza.
[7]No obstante, conviene advertir de efectos negativos de la conformación de grupos muy cohesionados. Keefer y Knack (1997) sugieren que las membresías en grupos no afectan significativamente la confianza y las normas civiles, lo que hace especular a los autores sobre la superposición de los intereses de grupo sobre los de la sociedad. Es decir, la cohesión de un grupo en particular puede generar externalidades negativas para el resto de la sociedad, por ejemplo cuando el grupo adquiere poder y éste es usado para lograr privilegios o erigir barreras de entrada al resto de la sociedad.
[8]La World Values Survey es una encuesta coordinada por la World Values Survey Association que se explora los valores y creencias de las personas y se levanta a nivel mundial en más de 50 países desde 1981.
[9]Algunos de los autores que utilizan esta medida son Alesina y la Ferrara (2002), Keefer y Knack (1997), La Porta et al. (1997), Glaeser et al. (2000), Beugelsdijk, y Schaik (2001), tanto en versiones de dos o tres niveles cualitativos de confianza.
[10]De hecho Fukuyama (1995) propone que cuando los individuos no tienen confianza en los miembros de la sociedad tienden a refugiarse en la familia, razón por la cual en las sociedades con bajos niveles de confianza prevalecen las empresas familiares y los mercados accionarios tienden a ser muy delgados. Es decir, la confianza en el círculo íntimo puede correr en sentido inverso a la confianza depositada en la sociedad.
[11]El valor del coeficiente fluctúa entre 0 y 1, siendo el valor unitario evidencia de consistencia interna de los indicadores en la escala evaluada. En general, la interpretación del índice es la siguiente: se tiene consistencia débil si está entre 0.6 y 0.7, consistencia aceptable si está entre 0.7 y 0.8, un nivel de consistencia bueno si está entre 0.8 y 0.9 y un nivel de consistencia excelente para valores mayores al 0.9.
[12]El análisis de componentes principales permite sintetizar, por medio de una combinación lineal de cuyos ponderadores surgen precisamente los componentes, la información contenida en los datos, de forma tal que posibilita la reducción de la dimensión o número de variables sujeto a perder el mínimo de información posible.
[13]La regla óptima de selección de estratos (Scheaffer et al. (2007), asigna un punto de corte entre los valores de 5 y 6 para confianza baja, escogimos el valor de 5 para que fuese compatible con la referencia que tiene la población de que calificaciones entre 0 y 5 son reprobatorias y en consecuencia bajas.
[14]Finalmente, es claro que pasar del estudio de un par de indicadores de confianza a uno más comprensivo de capital social exige una medición multivariada y comprensiva del fenómeno. Un punto de partida es rehacer el presente ejercicio en el contexto de variables continuas o al menos multinomiales de confianza, en comparación a la sencilla medición de tres niveles que utilizamos en este trabajo. Una extensión del presente artículo que utiliza, además de la confianza, la participación en organizaciones sociales como indicador del nivel de capital social de la población puede ser encontrado en Aguayo et. al. (2014).
[15]Para modelar casos donde la variable dependiente es un grupo de dos o más posibilidades discretas, mutuamente excluyentes y ordenadas, como por ejemplo estar muy de acuerdo, poco de acuerdo o en desacuerdo con una afirmación, el modelo Probit Ordenado es una especificación estadística apropiada porque, a diferencia del modelo Probit Binario, considera simultáneamente más de una opción o posibilidad de acción, a diferencia del modelo Probit Multinomial, toma en cuenta la naturaleza ordinal de la variable dependiente, y a diferencia de los modelos lineales como MCO que consideran la diferencia entre las respuestas 1 y 2 igual a la diferencia entre las respuestas 2 y 3, el model Probit Ordenado considera que los valores de la variable dependiente tienen propiedades ordinales mas no cardinales (Amemiya, 1981 y Green, 2011).
[16]En estudios como el presente, en donde se utilizan datos obtenidos de
encuestas para encontrar correlaciones o relaciones de causalidad, es común
encontrar patrones de simultaneidad o de sesgo de autoselección entre las
variables. Una forma de controlar por esta simultaneidad o sesgo de
autoselección es estimar usando variables instrumentales. La base de datos que
utilizamos carece de variables que puedan utilizarse en este sentido, por lo
que sería conveniente ampliar futuras encuestas en esta dirección.
[17]Adicionalmente a estas dos medidas se estimaron los modelos también con confianza en dos niveles para la pregunta sobre si es posible confiar en la mayoría de la gente y con el promedio de los scores, no los grupos, para la segunda medida. Los resultados, en general, son consistentes con los que se reportan en este artículo por lo que no se incluyeron. Naturalmente, están a disposición de los lectores interesados solicitándolos a los autores.
[18]Este valor se encuentra sumando los coeficientes de la variable “Capital social en entorno” de las columnas medio y alto en la tabla 4 (0.0617 + 0.1058 = 0.1675).