La construcción gubernamental de la contaminación ambiental: la política
del aire para la ciudad de México, 1979-1996
José Luis Lezama
Centro de Estudios Demográficos
y de Desarrollo Urbano
El Colegio de México
Resumen
Analizo la contaminación atmosférica,
tal y como es conceptuada en los programas elaborados por las autoridades
gubernamentales, como producto de una doble construcción. Por una parte, como
producto de una construcción social, particularmente como una construcción
ideológica y política. Construcción ideológica porque depende de la forma en
que la sociedad valora, asume y vive el problema de la contaminación.
Construcción política porque su emergencia pública está en función de factores
tales como el ser valorado como elemento de reivindicación ciudadana, el ser
valorado por la autoridad gubernamental como redituable desde el punto de vista
de la gobernabilidad o de la legitimidad de la acción pública, y el ser
valorado y vivido por los distintos agentes sociales como factor que afecta la
distribución del ingreso y las relaciones de poder, cuando su inclusión como
objeto de política se traduce en una distribución de costos. Por otra parte,
como resultado de una construcción analítica llevada a cabo tanto por la
autoridad científica, como por la gubernamental. Para esta última, en tanto
elemento de diagnóstico en el que se sustentan los objetivos, metas,
estrategias y acciones de los programas oficiales de combate a la contaminación
del aire. Ambos tipos de construcciones están interrelacionados. Los
diagnósticos y estrategias de acción de los programas de políticas públicas
reflejan de muchas maneras el tipo de valoración social que poseen los
problemas ambientales, los intereses políticos que derivan de la cuestión
ambiental en los ámbitos gubernamentales y privados, el grado de conocimiento
alcanzado, y el tipo y alcance de las reivindicaciones ciudadanas.
Consideraciones generales
Pensar la contaminación
atmosférica del valle de México como un problema reducido a su descripción técnica,
a su caracterización como problema de origen múltiple, o reducible a una simple
racionalidad científica sobre la cual se construyen de manera objetiva las
políticas, los programas y estrategias para su abatimiento, es desconocer los
mecanismos verdaderos mediante los cuales se elaboran y ejecutan las políticas
públicas. El problema de la contaminación atmosférica no es pues algo
únicamente explicable por la razón técnica, el procedimiento intra o
interdisciplinario, o por el simple recurso de la racionalidad científica. Este
es un problema en el cual los factores sociales, ideológicos y políticos
actúan, de manera muchas veces decisiva, en las distintas circunstancias de la
emergencia de lo ambiental tanto en el plano de la conciencia ciudadana, como en
el de los distintos momentos de la elaboración de las políticas. Así, es
posible encontrar la presencia de estos factores tanto al simple nivel de la
emergencia o marginación pública de la problemática ambiental, como también en
su definición, diagnóstico y estrategias programáticas puestas en práctica por
la autoridad gubernamental para su corrección y en el proceso de evaluación de
los logros de los programas.
Es necesario destacar que
aun cuando la presencia física y la explicación científica de la contaminación
son una condición necesaria, no pueden considerarse como suficientes para que
se haga de la contaminación objeto de un activismo político especial u objeto
de una política y de estrategias programáticas dirigidas a su tratamiento. Si
la presencia física de la contaminación fuera suficiente, los 4 millones de
toneladas de contaminantes que se vienen anualmente a la atmósfera del valle de
México (volumen difícilmente superable en alguna región del mundo) ya habrían
dado lugar a un estado permanente de revuelta ambiental ciudadana en esta área
del mundo. Más bien parece ocurrir lo contrario; esto es, una tendencia
compartida por autoridades y ciudadanía a negar consciente o inconscientemente
el problema, dada su magnitud y la imposibilidad de abatirlo drásticamente en
el corto plazo. No es posible tampoco aludir únicamente a la objetividad del
conocimiento adquirido sobre un problema ambiental específico; como es el caso
de la contaminación del aire, para suponer su inclusión en las agendas
ciudadana y gubernamental, o para esperar que de allí sea posible derivar un
activismo ambiental vigoroso o medidas gubernamentales efectivas. Los problemas
ambientales, lo mismo que todos aquellos que son objeto de las políticas
públicas, atraviesan por un proceso de construcción social más amplio, lo que
les permite transitar de su condición de "problemas físicos reales" a
problemas objetos de la atención por parte de la agenda gubernamental (Crenson,
1972; Adams, 1994; Portney, 1992). Es preciso el tránsito, para poner el
ejemplo que me interesa destacar, del estado físico de la contaminación del
aire, a su estado social (analítico, ideológico y político), para que sea
susceptible de una demanda reivindicativa o de una política pública específica.
Lo anterior supone la
incorporación de lo ambiental, y en este caso específico del problema del aire,
en el paquete cultural comprendido por las llamadas condiciones de
bienestar de una comunidad concreta, para que ésta lo integre en su sistema de
valores; hace falta también su incorporación en el paquete de las
reivindicaciones sociales para que tal comunidad esté dispuesta a negociar
su inclusión en las demandas ciudadanas o sociales en general, y hace falta su
inclusión en el paquete de las demandas para que sea integrado en la
agenda gubernamental como elemento de gobernabilidad y legitimidad.
Se requiere analizar este
proceso de construcción social de los problemas para poder dar cuenta,
analíticamente, de la incorporación de una problemática específica (como es el
caso de la del aire) en la agenda gubernamental. Esta finalmente refleja la
forma y el grado en el que la comunidad ha integrado la problemática ambiental
en su sistema de valores y en sus expectativas de bienestar. Una vez como parte
integrante de las condiciones de bienestar, las comunidades están en la
posibilidad de plantearse los niveles aceptables y el precio que quieren o
pueden pagar por cada uno de estos elementos de que se forma el paquete
de sus condiciones de bienestar social. Es esto lo que está detrás del sistema
de preferencias sociales mediante el cual los grupos sociales jerarquizan
sus problemas, y es lo que le asigna su lugar a problemas como el del medio
ambiente en relación con problemas considerados como objetos de preocupación,
como son los casos del empleo, la seguridad, la educación, la vivienda,
etcétera. Es sólo en este contexto que puede explicarse la incorporación de la
problemática del aire en la agenda gubernamental, y el grado de compromiso en
la búsqueda de soluciones, tanto por parte de la comunidad como del gobierno.
La forma misma en la que la sociedad construye el problema ambiental tiene un
efecto directo en su construcción en la agenda gubernamental, particularmente
en cuanto a los diagnósticos y estrategias establecidos en los programas
oficiales.
La calidad del medio
ambiente es, en distinto grado, un elemento de bienestar para muchas
comunidades; la diferencia entre unas y otras es el grado en el que su
deterioro es aceptado. En algunas naciones desarrolladas el grado de tolerancia
social es menor que el que existe en otras. Esto ocurre así por diversos
motivos. Algunos autores sostienen que las diferencias existentes entre el
mayor interés o preocupación en las naciones desarrolladas por lo ambiental, deriva
del hecho de que éstas pueden dirigir su atención a una necesidad regularmente
considerada como secundaria, como es el caso de la calidad del medio
ambiente, una vez que las necesidades primarias han sido cubiertas. En
este orden de argumentación, el menor interés que existe en los países pobres
por el deterioro ambiental, sería explicable porque ahí no han sido satisfechas
las necesidades más elementales de la población. Estas argumentaciones
desconocen ese proceso social de construcción de unas y otras necesidades al
que vengo haciendo referencia. En este sentido podemos hablar también de
proceso ideológico y político de construcción de ese paquete de elementos que
integran la calidad de vida y el bienestar en unos y otros países, de tal
suerte que en algunas sociedades podamos hablar de ocultamiento de un conjunto
de problemas, que únicamente emergen a la conciencia mediante la generación de
un conocimiento crítico y socialmente comprometido, o bien cuando los problemas
ambientales revisten formas catastróficas o cuando sus magnitudes lo hacen
emerger con toda obviedad. La inclusión de nuevos componentes en el paquete de
las condiciones del bienestar es también de naturaleza ideológica y política;
esto significa que lo ambiental es incluido o excluido del paquete del
bienestar de acuerdo con el juego de fuerzas desplegado en torno a los recursos
económicos y políticos de una comunidad.
En países como México el
medio ambiente sufrió un proceso de deterioro severo desde los inicios de la
etapa industrializadora que arrancó en los años cuarenta. El aire, en especial
(aunque no únicamente), se vio sometido a una drástica disminución de su
calidad en los principales centros de actividad industrial, siendo esto más
agudo en las tres principales zonas metropolitanas del país. No obstante, esto
no se tradujo directa ni proporcionalmente en el surgimiento de una conciencia
ambiental más activa que incluyera su calidad como un elemento básico del
bienestar y de reivindicación ciudadana.
A principios de los años
setenta la cuestión ambiental emerge como bandera ideológica gubernamental en
el contexto de un movimiento ambientalista internacional que había llevado a
las Naciones Unidas a organizar la llamada "Cumbre de la Tierra" en
Estocolmo, en 1972. Lo ambiental nace en México como bandera ideológica del
partido oficial, no como una demanda ciudadana. Esto no significa que los
problemas ambientales no fueran importantes en el país, pero da cuenta de un
horizonte de posibilidades reivindicativas atado a las necesidades
gubernamentales y partidistas de legitimidad. Estas eran limitadas a su
utilidad como bandera de campaña política y como forma de legitimidad de la
acción gubernamental en el ámbito internacional y en algunos sectores de la
sociedad nacional. Dicha incorporación desde arriba de lo ambiental en
la agenda gubernamental, explica la escasa efectividad de las acciones
emprendidas, así como la pobre construcción de la problemática en los programas
de gobierno. La definición del problema ambiental y su incorporación en la
agenda oficial como producto único de ese monopolio que ejerce el gobierno en
el planteamiento de las políticas, ha dado resultados muy pobres en términos
del mejoramiento de la calidad del medio ambiente porque los problemas así construidos
son ajenos a los que la comunidad percibe y vive, o al menos a aquellos por los
cuales se comprometería en mayor medida.
Mediciones de la
contaminación atmosférica (1989-1996)
El análisis de la
contaminación y la práctica de la planeación atmosférica en el valle de México
se hicieron más rigurosos con la elaboración del Inventario de Emisiones de
1989, el cual constituyó la principal herramienta para realizar el Programa
Integral Contra la Contaminación Atmosférica de 1990 (PICCA), que inicia una etapa
de mayor profesionalización en los programas para abatir el problema de la
contaminación atmosférica en el valle de México. La construcción de un segundo
inventario con datos para 1994 representó un esfuerzo de gran significado para
el estudio del problema del aire, y una herramienta básica para el Programa
para Mejorar la Calidad del Aire del Valle de México en 1996.
De acuerdo con el inventario
de 1989, el valle de México recibía anualmente 4, 356,391 toneladas de
sustancias contaminantes al año, las cuales se debían en un 76.7% al
transporte, en un 8.4% a industria y servicios (incluyendo sector energía), y
en un 15% a la degradación ecológica. Los datos del Inventario de Emisiones de
1994 dan cuenta de un volumen total de contaminantes vertidos en la atmósfera
de 4, 009,629 toneladas anuales. De acuerdo con este último inventario, el
transporte es responsable de 75% de ese total, la industria y servicios
ocasionan 13%; y vegetación y suelos, 12%.
No obstante, la
participación de los sectores mencionados es diferencial según el tipo de
contaminante. Así, por ejemplo, en 1989 el sector industrial y de servicios
aportaba 78.2% de todo el bióxido de azufre (S02) lanzado a la atmósfera, correspondiendo solamente
35.5% a PEMEX y a las termoeléctricas; mientras que el sector transporte
aportaba 21.7% de este contaminante. En 1994 el inventario le atribuye 73% del
S02, al sector industria y
servicios, con la diferencia de que la participación del sector PEMEX y
generación de energía eléctrica prácticamente desaparece al ser sólo de 0.2%;
el sector transporte contribuía con 26.8%. Es importante destacar que entre el
inventario de 1989 y el de 1994, el S02, disminuyó 78%. En lo referente a los óxidos de nitrógenos (NOx), en el
inventario de 1989 el principal responsable de éstos era el sector transporte,
con 75.4%, mientras que el sector industria y servicios generaba 24%; según el
inventario de 1994 estas proporciones fueron de 71.3% para el sector
transporte, y de 28.6% para industria y servicios. En el inventario de 1994
este contaminante registra un volumen 27% menor respecto al de 1989; no
obstante, en 1994 el subsector energía aparece con un incremento de 82% en sus
emisiones de NOx respecto a 1989. En el caso de los hidrocarburos (HC), 12.5%
de las emisiones en 1989 del sector industria y servicios, 52.5% del transporte
y 35%'de causas naturales. Según el inventario de 1994 estas proporciones se
presentaron de la siguiente manera: 42% de las emisiones de HC fueron producto
de las actividades industriales y de servicios, 54% del sector transporte, y 4%
tuvo causas naturales. Separando al sector energía tenemos una drástica
reducción entre 1989 y 1994 de acuerdo con los dos inventarios, al pasar de
5.5% a una proporción de 0.2%. No obstante, este contaminante presenta serios
problemas. Si pudiéramos comparar (lo cual, según nos advierten los autores, no
es del todo posible) el inventario de 1989 con el de 1994, obtendríamos que en
el subsector energía los HC habrían disminuido 99%, mientras que en el de industria
y servicios (excepto energía) habría aumentado 975%; en el transporte el
aumento entre uno y otro inventario sería de 88%, y las fuentes naturales
habrían disminuido 81 por ciento.
Los programas
gubernamentales para el combate a la contaminación (1979-1996)
En el periodo que va de 1979
a 1996 el gobierno puso en marcha tres programas para enfrentar el problema de
la contaminación del aire en el valle de México: 1) "Programa Coordinado
para Mejorar la Calidad del Aire en el Valle de México 1979-1982" (PCMCA)
de 1979; 2) "Programa Integral contra la Contaminación Atmosférica de la
Zona Metropolitana de la Ciudad de México" (PICCA) de 1990; y 3)
"Programa para Mejorar la Calidad del Aire en el Valle de México,
1995-2000" (PROAIRE) de 1996. Durante los años ochenta se establecieron
diversas medidas, algunas con fuerte impacto en términos de la calidad del aire
de la región. No obstante, aquí éstas sólo serán mencionadas marginalmente,
concentrándonos en el análisis de los tres programas más importantes, en la
medida en que ellos constituyen estrategias de política de mayor alcance que
las poseídas por programas más específicos.
Entre la fecha de
publicación del primer programa y la del último, ocurren cambios fundamentales,
tanto en la problemática ambiental del valle de México, como en las condiciones
económicas y sociopolíticas en las que aquélla tiene lugar. En el primer caso,
la composición de las sustancias emitidas a la atmósfera sufrió importantes
modificaciones, las cuales provenían de los cambios en los combustibles
utilizados por las diversas actividades productivas y de consumo, de las
transformaciones en las tecnologías utilizadas en las mismas y de los cambios
operados en la composición del producto. La conceptuación de estas
modificaciones es fundamental para la elaboración de las políticas del aire. No
obstante, los diagnósticos de los programas gubernamentales no dan cuenta de
esta situación cambiante, por lo que las propuestas de acción se rezagan
respecto a la evolución de los fenómenos. Todo el sistema de programación
ambiental de 1979 a 1996 muestra una insensibilidad especial a la dinámica real
del problema ambiental, por lo que mientras éste se ve sujeto a un intenso
proceso de cambio, las propuestas de política se obstinan en repetir un proyecto
analítico y programático que nace con el programa de 1979 y que se caracteriza
por plantear una noción de los problemas atmosféricos y un conjunto de
propuestas de acción al margen del contexto económico, social y político en el
que se sitúan estos problemas sobre los que se desea intervenir.
La construcción del problema
ambiental por parte del sector gubernamental ha padecido de un estancamiento
analítico, lo cual se refleja en la incapacidad de los programas oficiales para
trascender esa visión estrecha de lo ambiental y de la contaminación del aire
que se hace oficial con el programa de 1979. Mediante ella se acota el ámbito
de análisis y de intervención gubernamental al plano de la existencia
físico-técnica de los problemas, dejándose intactos los planos de lo económico,
de lo social y de lo político, en los que se sitúan estos problemas objetos de
la acción del gobierno. La causa del estancamiento se explica, en parte, por la
práctica de un sistema de planificación monopólica tanto en la etapa de
formulación de políticas, como en la de su puesta en operación. Los hallazgos
de la comunidad científica no llegan a las oficinas de gobierno, y cuando lo
hacen es sólo en la medida en que convalidan la visión gubernamental; las
instancias institucionales creadas para hacer intervenir a los distintos
sectores de la comunidad, sólo son convocadas para validar diagnósticos ya
elaborados y decisiones ya tomadas; la participación ciudadana en los distintos
momentos de la planeación no existe, practicándose sólo una versión
manipuladora de ella que pretende involucrar a la ciudadanía en la visión
gubernamental del problema y en la versión oficial de las soluciones. Lo
ambiental aparece como una construcción unilateral, y particularmente dirigida
a satisfacer las necesidades de legitimación de la acción pública.
Las diferencias entre unos y
otros programas son más de forma que de fondo. La concepción general formulada
por el PCMCA (de 1979) sigue sosteniéndose aún en el programa más reciente. El
plan analítico y programático planteado por el PCMCA se ha convertido en una
especie de techo analítico infranqueable para el sistema de programación
posterior. Las únicas diferencias contenidas en el PICCA (1990) y en PROAIRE
(1996) consisten en llevar hasta sus últimas consecuencias el programa
original, y en hacer más amplio y detallado el desglose de las metas y las
acciones concretas. Más allá de estas diferencias operativas, los últimos
programas revalidan aquella concepción que
privilegia y aísla la dimensión físico-química y técnica, demostrándose
una especial incapacidad para ascender al plano de lo social y lo político.
En el último programa
(PROAIRE, 1996) la forma discursiva se independiza de todo contenido. El
propósito es adecuar la acción planificadora gubernamental al discurso
ambientalista internacional y a las emergentes aspiraciones de una ciudadanía
cada vez más informada y más consciente del deterioro de su calidad de vida por
obra de la disminución de la calidad del aire. Los cambios en las características
de la contaminación y en el contexto social ya mencionado, que la agenda
gubernamental no logra asimilar, en esencia tienen que ver también con la mejor
calidad de los conocimientos generados y con la internalización de la
problemática ambiental en el esquema de preferencias de la sociedad
mexicana. La política del aire se hizo más agresiva porque también la
ciudadanía devino más consciente de la severidad de un daño ambiental que
repercute cada vez más en la salud, la economía y la vida cotidiana de diversos
sectores de la población. No obstante, una ciudadanía más consciente y activa
junto con una política del aire más agresiva, no derivan automáticamente en una
mayor efectividad de los programas gubernamentales. A lo sumo, crean las
condiciones para una mayor presencia, vigilancia y presión por parte de la
sociedad en la aplicación de la estrategia escogida. Que esta estrategia sea la
correcta no depende de la voluntad ciudadana, ni del activismo discursivo
gubernamental, sino de una construcción adecuada de los problemas atmosféricos,
de una voluntad social y gubernamental de llevar las metas ambientales
adelante, y de la existencia o capacidad para crear condiciones sociales y
políticas, por parte de los distintos agentes sociales, para poner en operación
programas que implican una redistribución de los costos y beneficios públicos y
privados asociados al combate de la contaminación.
El PCMCA de 1979 nace en un
contexto socia poco favorable para lograr el tránsito de la contaminación
física −indudablemente existente en
esa época− a la contaminación bajo su
dimensión social. No bastaban, como ya se ha mencionado, los 4 millones de
toneladas de contaminantes venidos en la atmósfera para hacer emerger lo
ambiental como problemática social y como objeto de atención de las políticas
públicas. No bastaba esta presencia porque no existía de manera paralela un
movimiento ambientalista con presencia amplia; los hallazgos de la comunidad
científica aún no eran suficientes para analizar las causas o los efectos de la
contaminación; el problema del plomo en la atmósfera había sido suficientemente
documentado y difundido; y los estudios de las consecuencias en la salud no
habían llegado al punto de despertar la conciencia colectiva. En síntesis, no
existía −o al menos no de manera
significativa− el tránsito de la condición
de riesgo físico a riesgo social; este último, al resultar de su incorporación
a una tabla de valores sociales, propicia su inclusión en el paquete de
necesidades y reivindicaciones básicas de la comunidad.
El manejo de la cuestión
ambiental por la Secretaría de Salubridad, no sólo da cuenta del enfoque de
salud pública del problema, sino también de la baja capacidad de maniobra de
quienes deciden la implantación de los programas. En este sentido destacan el
reducido margen de maniobra, los escasos recursos financieros y profesionales,
y un enfoque con el sesgo de la medicina tradicional. No existe, en el programa
de 1979, un intento por construir lo ambiental con legalidad propia, sino únicamente
como aquella rama de la medicina que tiene que ver con la salud pública. No
existe la vinculación de las propuestas ambientales con las de carácter
económico, ni intento alguno de cuestionamiento de los modelos de desarrollo y
su relación con la degradación ambiental.
Si consideramos el problema
de la contaminación atmosférica tal y como es pensada y combatida en el PICCA,
y lo comparamos con el PCMCA, suponiendo que ambos correspondan a las
condiciones generales de su época, podemos afirmar que los once años
transcurridos entre uno y otro programas dan cuenta de cambios sustantivos en
la problemática de la contaminación atmosférica del valle de México, lo cual se
traduce en una lectura diferente (más científica, más política y también más
ideológica) por parte de los distintos sectores de la sociedad involucrados en
ella, y da cuenta del minucioso proceso de construcción social de la
problemática ambiental. En este proceso fue fundamental, desde luego, tanto el
aumento del volumen y la composición de la contaminación atmosférica, como los
progresos logrados en el conocimiento y el papel de los medios.
Existe en este sentido una
mayor y más amplia medición y caracterización de algunos de los contaminantes,
particularmente de aquellos clasificados por la comunidad internacional como
los contaminantes criterio, y la acumulación de un número significativo
de estudios de caso sobre la relación contaminación-morbilidad. Por otra parte,
la problemática ambiental se ha convertido en bandera de reivindicación de grupos
ecologistas y diversos sectores de la sociedad, al mismo tiempo que este
discurso ha ingresado al lenguaje oficial de la planificación. En 1985 tiene
lugar un devastador terremoto en la ciudad de México y se produce, a
consecuencia de sus efectos y de la inacción gubernamental, una gran
movilización social. El medio ambiente aparece con una fuerza que no había
poseído anteriormente en el plano de la conciencia colectiva, destacando, sobre
todo, el nacimiento de diversas organizaciones ecologistas. Desde el punto de
vista ideológico, los temas de la sustentabilidad y del medio ambiente poco a
poco han ido penetrando el esquema de los valores sociales, interviniendo
paulatinamente como elemento de calidad de vida. Los medios de comunicación, y
en parte el sistema educativo, llevan el tema ambiental al escenario público,
haciendo emerger una opinión pública cada vez más interesada en el medio
ambiente, ya sea porque es afectada por su degradación o porque es conmovida
por la información cada vez más amplia que se divulga acerca de los distintos
peligros a los que se enfrenta a consecuencia del manejo irresponsable de los
recursos naturales.
En 1979, cuando se elabora
el PCMCA, el volumen de contaminantes parece similar al registrado en 1994.
Desde luego que los 4 millones de toneladas de 1994 corresponden a una medición
más precisa, mientras que los de 1979 resulta sólo una estimación muy ligera.
También es cierto que la composición en uno y otro inventario es muy distinta.
En 1994 el plomo de la atmósfera es significativamente menor. No podemos decir,
sin embargo, que el resto de los contaminantes en términos de efectos en la
salud y de variedad de sustancias tóxicas sea más favorable en uno u otro de
los cortes temporales establecidos. No obstante, la conciencia gubernamental y
ciudadana de la magnitud del problema no existía en 1979 con la fuerza que
posee en 1996. El componente social de la contaminación, en el caso del último
programa del aire, le ha dado legitimidad a su componente físico, algo que no ocurría
en el programa de 1979 y para años anteriores.
Entre 1979 y 1996 ocurren
cambios significativos en el país y en el valle de México en los distintos
niveles de que se integra la cuestión ambiental en general y la problemática
del aire en particular. La población de la zona metropolitana aumenta de manera
importante; el número de industrias y establecimientos de servicios también se
incrementa; la composición del producto sufre transformaciones; los insumos se
modifican; los combustibles son sometidos a un intenso proceso de
reformulación; los agentes económicos sufren reacomodos importantes, y los
agentes políticos enfrentan situaciones nuevas y cambiantes que los lleva a
nuevas formas de consenso social. Es este también un periodo de nacimiento de todo
un aparato institucional en el que lo ambiental entra de lleno en el discurso
oficial, y la práctica de la planificación y gestión ambiental se oficializa.
El gobierno de la ciudad de México, que inicia los dos ochenta sin contar con
un organismo directamente establecido para el manejo de la cuestión ambiental,
crea primero una dirección de ecología y, después, una secretaría del medio
ambiente; instituciones éstas que surgen al abrigo de otras de carácter
nacional, movidas también por la misma necesidad de enfrentar los diversos
problemas ambientales nacionales. Pero son estos también años de cambios en el
plano de la conciencia ciudadana hacia lo ambiental, de una generación de
conocimientos sin precedentes en todos los aspectos que lo integran y, particularmente,
de un deterioro de las condiciones materiales y sociales en la calidad de vida
de muchos sectores de la población.
PROAIRE nace en 1996 en un
contexto más favorable. La medición misma de la contaminación atmosférica es
más precisa, de lo cual dan cuenta los inventarios de emisiones de 1989 y de
1994. La posibilidad de profundizar en el análisis se debe tanto a la vasta
cantidad de información generada en los últimos años, como a la gran producción
de conocimientos de los cuatro o cinco años anteriores a PROAIRE y a su
Inventario de Emisiones (1994), con el cual se precisan las mediciones y se
podría apuntar hacia una evaluación de las estrategias del PICCA; se avanza en
el conocimiento de los factores meteorológicos; se plantean nuevas normas; y se
alcanzan, en 1992, niveles históricos de contaminación en algunas sustancias
como el ozono (además de vivirse el ambiente ecologista internacional que rodea
a la Cumbre de Rio). Ocurre también un acontecimiento con importantes
repercusiones en las emisiones de contaminantes: el cierre de la refinería 18
de Marzo en Azcapotzalco, medida política no prevista y ni siquiera insinuada
en el PICCA, realizada en el contexto de las negociaciones del TLCAN.
Crítica a la construcción
gubernamental de la contaminación ambiental
A continuación analizo la
construcción de la problemática del aire, y las estrategias diseñadas para su
tratamiento programático en el valle de México, tal y como es realizada por los
tres programas que sucesivamente se han puesto en práctica entre 1979 y 1996.
Parto del supuesto de que en esta construcción llevada a cabo por la autoridad
gubernamental y para los fines de la misma, de alguna manera se refleja el
balance de las visiones, construcciones y valoraciones, mediante las cuales la
sociedad vive y asume sus problemas ambientales. Los programas reflejan de
alguna manera las condiciones en las que se construyen socialmente los
problemas en su momento.
Primero enumero los factores
que cada uno de los programas considera como los más relevantes para explicar
la contaminación atmosférica. Procedo a una clasificación de estos factores en
dos grupos: unos que corresponderían a un nivel de análisis, que incluye los de
orden físico-químico-técnico; otro grupo de factores correspondería a un
segundo nivel de análisis, que incluye a los de orden sociopolítico. Parto del
principio metodológico de que estos niveles poseen por sí mismos un grado
específico de eficacia explicativa, pero que ubicados en el plano de las
políticas públicas, el nivel correspondiente a lo social posee una eficacia
mayor en la medida en que las relaciones más relevantes a ser explicadas y
modificadas para la puesta en práctica de las políticas, son de naturaleza
social y política. Este ordenamiento analítico no le resta importancia al
primer nivel, lo que hace es relacionar ambos niveles y quitarle el carácter
autorreferencial a cualquiera de ellos, asignándoles grados relativos y no
absolutos de casualidad. Un factor es clasificado en el nivel 1 cuando alude a
elementos de contaminación de naturaleza físico-química, o cuando su ámbito
explicativo se limita a elementos técnicos, sin buscar relaciones más allá de
este nivel de existencia. Otro factor lo califico como de nivel 2 cuando hace
intervenir elementos que trascienden el nivel uno, proponiendo los vínculos
causales entre condiciones de existencia de orden físico-químico-técnico con
determinaciones sociales o en sus vínculos con fuerzas políticas; en cierta
medida, a este nivel corresponden las personificaciones en el plano social y
político de los factores expresados en el nivel 1. Es necesario aclarar en este
contexto que no basta con que un programa señale la incorporación de elementos
socioeconómicos para que sean incluidos en el nivel 2; es necesario que
establezca relaciones precisas con relaciones sociales y fuerzas políticas
específicas, o que dé cuenta de la personificación de los factores de nivel 1
en el plano de las relaciones sociales. Estos agentes deben ser ubicados en el
contexto de aquello que los convierte en tales agentes, esto es, como
portadores de recursos que influyen o deciden la forma específica que asume
algún fenómeno ligado a la contaminación del aire. En muchas ocasiones los
programas hablan de factores socioeconómicos, pero se limitan a sus expresiones
técnicas físicas. Por ejemplo, tiende a tomarse como elemento socioeconómico la
concentración industrial, poblacional, etcétera. Es decir, la consecuencia de
una relación es tomada como la relación misma, y a ello se, le atribuyen las
virtudes de lo socioeconómico. No está por demás decir que los límites entre
los niveles 1 y 2 son arbitrarios y únicamente deben ser considerados como
herramientas de análisis. En la realidad tales fronteras no existen o son muy
difíciles de establecer.
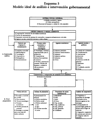
Se trata de analizar el
procedimiento analítico mediante el cual cada programa ordena y jerarquiza los
factores causales que hace intervenir para explicar la contaminación del aire.
A continuación analizo las estrategias programáticas y su relación y
congruencia con la construcción del problema ambiental. El paso siguiente es la
comparación que realizo con un modelo o esquema ideal en el que incluyo
aquellos elementos que considero deberían hacerse intervenir en la construcción
del problema y en una propuesta de política más objetiva y con mayor grado de
efectividad. Clasifico los tres programas en la medida en la que se acerquen o
se alejen de este modelo. No afirmo que éste sea aplicable a la realidad, de
allí también su carácter ideal. Para ello se requerirían condiciones técnicas y
sociopolíticas que no existen. Señalo, eso sí, que una política congruente con
una noción social de lo ambiental podría ser calificada como más o menos adecuada
en la medida en la que se acerque o se aleje de este modelo.
De todas maneras, el recurso
a este modelo tiene sólo una finalidad analítica, cuyo propósito es ordenar y
evaluar la objetividad, la lógica, la congruencia y la viabilidad de los
diagnósticos y de las propuestas programáticas de los tres programas aquí
analizados.
a) Programa Coordinado para
Mejorar la Calidad del Aire en el Valle de México, 1979 (PCMCA)
En 1979 el gobierno de la
ciudad de México publicó el PCMCA, en el cual, en términos generales, se
recogían las recomendaciones del grupo internacional de expertos convocado por
el gobierno de la ciudad de México en noviembre de 1978 para analizar el
problema de la contaminación del aire en esta región del país. Este programa,
que no incluye el diagnóstico sobre el que se sustenta su estrategia
programática, hace intervenir como factores explicativos de la contaminación
atmosférica del valle de México elementos de orden natural y geográfico, a los
cuales sobrepone como elemento de causalidad adicional el carácter concentrador
de las diversas actividades humanas que tienen lugar en la zona. En este
sentido se enumeran, como causas de la contaminación, las concentraciones
demográfica, industrial y de automotores.
El problema de la
contaminación atmosférica es construido particularmente en el nivel de análisis
1 de acuerdo con el esquema propuesto, incluyendo consideraciones
correspondientes al nivel 2 pero sin asignárseles a éstas una relevancia
explicativa. En este sentido, las características físico-químicas-técnicas de
la contaminación explican por sí mismas el problema atmosférico del valle. Por
ello los problemas del aire aparecen como resultado de una inmensa
concentración de sustancias contaminantes emitidas en un ámbito geográfico y climatológico,
coincidentes con un tipo de suelos, propicio a la degradación y emisión de
polvos. Bajo estas condiciones, y ante la ausencia de factores naturales
dispersantes, las sustancias emitidas no sólo se concentran en la atmósfera del
valle sino que originan procesos y reacciones químicas que, combinados con
otras características físico-químicas, precipitan las situaciones de
contingencia ambiental.
Por un lado aparecen las
características técnicas de la flota vehicular y de la planta industrial y de
servicios; por otro, el tipo y calidad de combustibles utilizados; éstos se
ubican en el nivel 1 porque, en conjunción con los factores de orden
físico-químico y naturales en general, constituyen por sí mismos los
principales elementos que explican, de acuerdo con este programa, la
contaminación atmosférica de la región. El PCMCA hace intervenir algunos
elementos que podrían ser incluidos en el nivel 2; tales son los casos de la
mención de la concentración de actividades socioeconómicas y elementos de consumo,
como por ejemplo el uso inmoderado del automóvil. No obstante, esta inclusión
en el PCMCA de factores sociales y económicos no posee una capacidad
explicativa similar o mayor a las del nivel 1. El consumo y la concentración de
actividades, factores que bajo otro marco interpretativo aparecer como de
naturaleza social y cualitativa, se reducen a un agregado más, con la lógica de
añadir factores y no con la de explicar fenómenos.
La limitación de esta
construcción del problema ambiental es que no logra establecer ningún orden
analítico jerárquico que permita establecer causalidades y definir grados de
eficacia explicativa entre los dos niveles. Una noción de lo social que excluye
agentes, distribución de recursos y relaciones de poder, no cumple los requisitos
de análisis mínimos para servir de sustento al proceso de diseño de una
política pública. Estas políticas reasignan costos, por lo tanto redistribuyen
recursos y, al hacerlo, repercuten en las relaciones entre agentes; es decir,
modifican relaciones de poder. Las consideraciones de orden socioeconómico que
incluye este programa aparecen como un añadido más; como recurso discursivo, no
como elemento analítico.
El PCMCA plantea de manera
pragmática sus objetivos y metas. Éstas se acotan a la manifestación sensorial
más directa del problema atmosférico: a) instrumentar un plan de emergencias en
el corto plazo para enfrentar los momentos de crisis atmosférica; y b)
instrumentar acciones que tiendan a evitar las condiciones de "mala
calidad" del aire, y que reduzcan en 10% las "condiciones no
satisfactorias". Las estrategias, como puede verse en el esquema (l), son
en términos generales las que han persistido en los últimos programas. Las
diferencias de los programas más recientes se centran, sobre todo, en sus
intentos por tener un mayor control del cumplimiento de estas medidas,
enfatizando la obligatoriedad y reafirmando su carácter coactivo. Quizá la
diferencia esencial en el orden de prioridades del PCMCA respecto a los
programas posteriores, es que éste pone un énfasis extraordinario en las
acciones inmediatistas asociadas con las situaciones de emergencia; su
finalidad es encarar los problemas que demandan inmediata solución y que
preocupan baja la lógica de lo sensorial a la opinión pública. Fuera de esta
diferencia, la estrategia de 1979 establece ya con claridad la estructura
programática que habrá de conducir los esfuerzos de ese programa y los de años
posteriores:
1) Una política dirigida a prevenir y controlar la contaminación
por vehículos automotores basada en la reformulación de los combustibles,
dirigida a ejercer coacción absoluta sobre los consumidores de bienes y
servicios (automovilistas), a plantear soluciones técnicas al problema del
transporte, sobre todo dirigida a incrementar el número de unidades y a la
apertura de nuevas rutas, y a evitar costos excesivos a los sectores
productivos, en este caso a la industria automotriz o a los concesionarios del
servicio de transporte.
2) Una política de control de la contaminación industrial
sustentada también en una reformulación de los combustibles, lo cual se deja a
la iniciativa del monopolio gubernamental representado por PEMEX, y una
voluntad de mantener a la planta industrial al margen de costos excesivos. Las
medidas de control se plantean hasta el punto en que no afecten la
rentabilidad.
3) Medidas de control hacia fuentes naturales, las cuales no
plantean ningún elemento realista de contención al crecimiento urbano, que no
ofrece opciones de desarrollo agrícola para la región o que no percibe las
diferencias de propuestas de reforestación y recuperación lacustre con los
programas de pavimentación.
4) Medidas de apoyo en las que todas las propuestas que tienen
que ver con la investigación, la educación o la participación ciudadana, se
ligan a una percepción instrumental para los fines de legitimación de la acción
gubernamental. (Por ejemplo, la participación ciudadana consiste en la apertura
de una ventanilla de recepción de quejas.)
Ahora bien, como puede verse
en el esquema, el marco institucional en el que se presenta este programa no
puede ser más sintomático de su carácter voluntarista y de la superficialidad
con la que se manejan las propuestas. Por un lado, las autoridades de la ciudad
de México no contaban con una oficina para tratar los problemas ambientales, y
la mayoría de los aspectos vinculados con la política del aire eran manejados
por las autoridades sanitarias con jurisdicción nacional. Por otra parte, el
PCMGA propone un arreglo institucional en el cual la política del aire aparece
dictada y operada por una comisión intersecretarial con una amplia influencia
formal en los distintos sectores de la administración pública vinculados al
medio ambiente. No obstante, esta propuesta no deriva de una conceptuación de
la contaminación y de lo ambiental que rescate su naturaleza compleja y que
destaque las interrelaciones causales que la originan. El programa acierta al
establecer, clasificar y distribuir acciones sectoriales concretas en tiempos
definidos, aunque deja en suspenso el fundamento analítico de su propuesta
institucional. En el plano operativo, no tiene control sobre sus propuestas de
acción, tanto porque no les da obligatoriedad a sus medidas, como por no contar
con mecanismos reales de vigilancia, de administración y de sanción. El arreglo
institucional al que recurre el PCMCA no ha sido retomado en los programas
posteriores, aun cuando en el diagnóstico de -estos últimos, los problemas
ambientales son conceptuados en su carácter multicausal y con estrategias de
acción que exigirían una estrategia multisectorial.
El PCMCA es indudablemente
la apoteosis del voluntarismo, pero en ello sólo se distingue de los últimos
programas por el grado extremo en el que esto se lleva a cabo: 1) no posee un
diagnóstico que permita entender con claridad el tipo de construcción del
problema ambiental que lleva a cabo; 2) no existe una explicación de los
mecanismos lógicos y operativos que permita el paso del diagnóstico a las
metas, y de éstas a las estrategias; 3) las metas en el corto, mediano y largo
plazos no poseen relación lógica y operativa; 4) el arreglo institucional
propuesto, como ya se mencionó, no corresponde al problema construido en el
nivel del diagnóstico (no hay, por ejemplo, una calificación interdisciplinaria
de lo ambiental que justifique el enfoque multisectorial con el que se pretende
asignar tareas y emprender acciones en el plano programático); 5) no existe
relación de congruencia entre elementos de diagnóstico, como es el caso de la
evaluación del papel del problema del transporte y el tipo de medidas que se
proponen para enfrentarlo (el transporte es calificado como un problema
esencial en las emisiones de contaminantes, pero las medidas propuestas no se
traducen en una restructuración del transporte de acuerdo con lo que exige el
diagnóstico). Estos diversos problemas presentes en el programa le dan ese
carácter voluntarista al que hago referencia.
Si midiéramos los éxitos o
fracasos de un programa de esta naturaleza por el logro estricto de sus
objetivos y metas, podríamos decir que el PCMCA resultó un completo fracaso.
Primero, porque la contaminación atmosférica aumentó significativamente en los
años posteriores a su implantación, llegando en 1987 a cerca de 5 millones de
toneladas de emisiones anuales. Segundo, por la aparición o detección de altas
concentraciones de ozono que, sistemáticamente, empezaron a violar los
estándares. Y tercero, por la alta concentración de plomo, que apenas empieza a
ser enfrentada con reformulaciones a las gasolinas a partir de 1986.
b) Programa Integral Contra
la Contaminación Atmosférica, 1990 (PICCA)
El PICCA, presentado en
1990, constituye el primer esfuerzo sistemático para enfrentar el problema de
la contaminación atmosférica en el valle de México. La diferencia fundamental
respecto al anterior programa consiste en el mayor grado de conocimiento que
muestra sobre la contaminación del aire, y en la calidad de la información en
la que se sustentan sus propuestas. El PICCA responde a un momento distinto y a
ello debe en parte la mayor seriedad con la que aborda el problema. Tiene como
antecedente la crisis ambiental que se expresa en los años ochenta bajo la
forma de inversiones térmicas, el disparó del problema del ozono, la irrupción
en la escena pública del plomo venido a la atmósfera por las gasolinas (dado a
conocer públicamente por los trabajos de investigación al respecto), el inicio
sistemático de la medición y divulgación de los contaminantes criterios, así
como la percepción de un agravamiento del problema atmosférico. Un conocimiento
más completo de la problemática ambiental del valle de México por parte de la
comunidad científica y el nacimiento de una conciencia ciudadana más interesada
y preocupada por el deterioro ambiental, son elementos que combinados explican
el empuje con el que la agenda gubernamental enfrenta el problema atmosférico
ya desde mediados de los ochenta.
El PICCA refleja, de manera
directa o indirecta, toda esta experiencia, llevando a cabo un diagnóstico más
profesional, el cual se vale de la realización del primer inventario completo
de emisiones para los llamados contaminantes criterio, en el cual se registran
los volúmenes de sustancias emitidas a la atmósfera por parte de las
actividades industriales y de servicios, del sector transporte y de fuentes
naturales. Este programa recoge también algunas de las aportaciones de la
comunidad científica sobre las causas y consecuencias de la contaminación del
aire, con lo que se alcanza a percibir la gravedad del daño ambiental −sobre todo en términos de salud− para los habitantes del valle de México.
Los factores explicativos de
la contaminación atmosférica propuestos por el PICCA muestran algunos cambios
con respecto al programa de 1979, pero sobre todo destaca por la inclusión de
algunos elementos con mayor alcance explicativo, como son los casos de los
procesos industriales y sus sistemas de combustión, la importancia de las
tecnologías anticontaminantes en industrias, servicios y transporte, y los
efectos sinergéticos de los que participan las sustancias en la atmósfera, lo
cual complica el análisis y redimensiona las consecuencias de la contaminación.
El PICCA construye el
problema de la contaminación del aire asignando un peso significativo a
elementos correspondientes tanto al nivel de análisis 1, como a los del nivel
2. En lo referente al nivel 1, lo cual puede verse en el esquema 1, alude a la
contaminación como un problema derivado de las emisiones provenientes de
procesos industriales, de servicios, y del uso intensivo de una flota vehicular
con características muy específica. La contaminación se explica
fundamentalmente por la intensidad del consumo energético que tiene lugar en el
valle de México. Según este programa, aun cuando los factores naturales son
relevantes para explicar parte de la contaminación atmosférica, no son lo más
característico de la región.
El PICCA, no obstante, se
distingue sobre todo por la inclusión de factores explicativos que, en
apariencia, pertenecen al nivel 2 de nuestro esquema analítico. A este nivel
correspondería su explicación de la contaminación del aire como una
consecuencia de procesos económicos y sociales entre los que destacan la
intensidad en el uso de la energía en el transporte, la industria y los
servicios; y los usos inadecuados del suelo, que repercuten en q mayor
utilización del sistema de transporte al modificar tiempos y distancias de
recorridos. La contaminación también es vista como resultado del proceso de
industrialización y urbanización que arrancó a principios de los años cuarenta.
Además, es percibida como una consecuencia no deseada en la búsqueda y
obtención de mejores niveles de bienestar.
No obstante, esta noción de
lo socioeconómico no alude estrictamente a relaciones sociales, enfatizando
sobre todo los aspectos técnicos de la contaminación. Por ejemplo, la lógica
del número le gana a la de lo social. En este programa, lo decisivo para
explicar la contaminación es que la zona metropolitana de la ciudad de México
(ZMCM) concentra la quinta parte de la población nacional, que genera 36% del
producto interno bruto (PB) y que consume 17% de la energía producida. Destacan
también los 29.5 millones de viajes que allí tienen lugar, los 2.3 millones de
autos privados que circulan en su territorio, y los poco más de 40 mil
establecimientos industriales y de
servicios que allí se asientan. Al PICCA le importa sobre todo el fenómeno de
la concentración, ya sea de industrias, población o automotores. Le importan,
por otro lado, los volúmenes consumidos de combustibles, no tanto su calidad y
las características tecnológicas de los procesos de producción o consumo a los
que éstos se incorporan. La explicación sobre los usos del suelo, la
distribución de las actividades humanas y el aumento en los tiempos y
distancias recorridos por el sistema de transporte, constituyen ejemplos de una
incapacidad para asociar los aspectos estrictamente técnicos a los de naturaleza
social.
El crecimiento físico de la
ciudad obedece a una dinámica social y económica determinada, que tiene que ver
con el desarrollo de un tipo específico de actividades económicas y una
dinámica poblacional dada; no obstante el transporte como parte esencial del
proceso de circulación de personas y productos que hace posible la realización
de los sistemas de intercambios sociales, no puede ser considerado −en el ámbito de las políticas públicas− únicamente como número de unidades, volúmenes
combustibles consumidos, reparación de motores, etcétera, sino sobre todo como
una organización que presta un servicio para el cual deben combinarse de manera
adecuada das tipos de eficiencia, muchas veces contrapuestas: a) el traslado
masivo de pasajeros cumpliendo requisitos básicos de efectividad y
racionalidad, y b) realizar esta actividad manteniendo márgenes de rentabilidad
que hagan de la prestación de este servicio, algo atractivo para los
inversionistas. La estructura de modos de transporte representa la verdadera
fuerza a doblegar por el sistema de planeación, pero en muchos de sus aspectos
decisivos está fuera del control de los planificadores. Por ejemplo, la
relación entre la importancia del transporte público y el privado es decisiva
en toda política que pretenda corregir los problemas de vialidad,
contaminación, y transporte eficiente de personas; no obstante, esto obedece al
desarrollo de tendencias económicas y sociales ligadas a la esencia misma de la
sociedad industrial que se sale del margen de acción de los planificadores. Muy
vinculado a esas tendencias se encuentra la distribución de la estructura
modal: por ejemplo, el transporte eléctrico y el metro son opciones que parecen
ideales desde el punto de vista de la eficiencia en el servicio, aunque no
desde el punto de vista del beneficio económico. Pero al margen de estas
características y tendencias, el transporte público es uno de esos espacios de
actividad económica en los que el equilibrio entre la calidad y eficiencia del
servicio y la lógica de la rentabilidad económica, debe ser sometido a una
estricta regulación para que ninguno de sus dos componentes resulte afectado
por cualquiera de ellos. En la ciudad de México, por ejemplo, el diseño de las
rutas del servicio de transporte público ha sido primordialmente orientado por
la lógica de la rentabilidad. Esto es evidente al analizar la autorización de
rutas que obligan a los usuarios a tomar más líneas de transporte para llegar a
sus lugares de destino. Una explicación del sistema de transporte público que no
haga intervenir esta dimensión económica y que no la vincule a los agentes
sociales y políticos en los que se expresa en términos reales, no es una
explicación válida.
El PICCA cuenta con las
condiciones para trascender el nivel explicativo 1 y pasar al 2, pero no lo
lleva a cabo. El inventario de emisiones del PICCA es un instrumento que brinda
la posibilidad de asociar emisiones de sustancias con procesos y agentes
económicos, lo que eventualmente permitiría pasar a la identificación de
agentes sociales y políticos. Esto no lo lleva a cabo el PICCA en su
diagnóstico, por lo que no lo puede incluir en sus propuestas de política., Tal
procedimiento permitiría el paso del nivel explicativo 1 al 2. Este sólo en
apariencia es de orden social, puesto que para serlo de manera real tendría que
hacer intervenir a los agentes sociales mediante los cuales se transita,
analíticamente, del nivel de explicaciones de naturaleza técnica, al de las de
orden socioeconómico, y de allí al de las de tipo sociopolítico. Es esto lo que
explica la limitación tecnicista de sus propuestas de acción, las cuales
consisten en la introducción de filtros, convertidores, reformulación de
combustibles, y sistemas de monitoreo, mientras que se dejan de lado las ideas
de procesos y las condiciones de viabilidad económica y de factibilidad
política de las propuestas.
El objetivo fundamental del
PICCA es detener el crecimiento de la contaminación. Sus metas están claramente
definidas en lo referente a la disminución del plomo, SO2, NOx, HC y partículas, de tal manera que sea factible
disminuir en un plazo de cinco años los más de 4 millones de toneladas de
contaminantes vertidos anualmente a la atmósfera (tal y como lo registra el
inventario de 1989), a 2.8 millones de toneladas. Analizado a la luz del
inventario de 1994, este objetivo no se logró, aun cuando los volúmenes de
algunos contaminantes descendieron.
La estrategia del PICCA para
enfrentar el problema de la contaminación del aire es congruente con su
construcción analítica del problema. La parte más significativa del programa
está dirigida a la reformulación de los combustibles, a las medidas en materia
de transporte, a lo que llama modernización tecnológica-productiva (que en
términos reales no es sino el planteamiento de sustitución de combustibles en
industria y servicios y algunas medidas complementarias). Pero la injerencia
real y el verdadero margen de maniobra de los operadores de la política
ambiental parecen tener lugar por el lado de los combustibles. Esto ha ocurrido
así porque finalmente el monopolio de los combustibles en México está
controlado por el Estado. No obstante, esto no significa la subordinación de la
política energética a la política ambiental. En realidad en la práctica ocurre
lo contrario; ha sido la política energética la que ha marcado el paso y la que
ha tenido la capacidad de decidir el momento y el grado de su compromiso con la
política ambiental. Las dos medidas restantes (la racionalización del
transporte y la modernización de la tecnología productiva) son ámbitos en los
que la acción gubernamental no ha tenido mayor influencia. Esto representa uno
de los aspectos de la política ambiental en los que se expresan las
limitaciones del diagnóstico tecnicista en el que se basa este programa. La
restructuración del transporte es una restructuración de agentes. Esto adquiere
mayor peso al constatarse que un nuevo trazado de rutas y una restructuración
modal del transpone equivalen a medidas no sólo de naturaleza técnica, sino
también económicas y políticas. Estos son los componentes de los programas de
restructuración del sistema de transporte que los programas ambientales no han
podido afectar a fondo. En el caso de la modernización tecnológica se expresan
también estas fuerzas de naturaleza económica y política que resisten los
contenidos normativos de los programas ambientales. Las propuestas de
modernización no hacen referencia a ningún componente sustantivo en el plano de
los procesos productivos, en el plano de la organización del trabajo, y en el
de las relaciones insumo-producto que pudiera conducir a una modernización
productiva con repercusiones en el plano de las descargas de contaminantes en
la atmósfera. La estrategia en este rubro está concentrada en el control de
emisiones y en la inspección industrial, en la sustitución de combustóleo, y en
la proclamación de normas que prohíban la instalación de nuevas industrias
contaminantes.
Los rubros complementarios
de apoyo al PICCA, principalmente en cuanto a educación y participación
ciudadana, carecen de un efecto real en el medio ambiente, sobre todo por no
descansar en una estrategia vinculada a cada uno de los aspectos de la política
y, en el caso de la participación ciudadana, porque no propicia una
participación en los distintos momentos de la planeación, limitándose a la
recepción de quejas y recomendaciones de la ciudadanía.
El PICCA cuenta para su
operación con un aparato institucional del que no se disponía con anterioridad.
A diferencia del programa de 1979, ya existe una estructura institucional en el
gobierno de la ciudad de México ocupada directamente de los problemas
ambientales, además de una ley que rige toda la actividad pública y privada en
materia ambiental, llamada Ley General del Equilibrio y la Protección al
Ambiente, de 1988. En el ámbito federal existen dentro de la Secretaría de
Desarrollo Urbano y Ecología, el Instituto Nacional de Ecología {INE) y la
Procuraduría Federal de Protección al Ambiente (PROFEPA), encargándose el
primero de la normatividad ambiental, y la segunda, de la vigilancia del
cumplimiento de esa normatividad. Además hay comisiones de ecología en la
Cámara de Senadores, en la de Diputados y en la Asamblea de Representantes de
la ciudad de México. El PICCA mismo fue elaborado por un Secretariado Técnico
compuesto por diversas secretarías de Estado, el gobierno de la ciudad y el del
Estado de México.
El PICCA muestra una
congruencia entre la forma como define el problema y las estrategias que
propone; ambas están ancladas en el nivel 1 del esquema de análisis aquí
propuesto. Con todo, falla en tres aspectos cruciales: 1) No puede romper con
la limitación tecnicista de su diagnóstico para apuntar a una estrategia que
involucre la idea de procesos (productivos y sociales) y que haga intervenir
los agentes sociales y políticos reales sobre los que descansan la mayor parte
de las propuestas. 2) En la medida en que su diagnóstico se limita a una visión
tecnicista y unilateral, en la cual las medidas relacionadas con el ámbito del
consumo tienen mayor peso, no toma ventaja de la amplia estructura
institucional de que dispone; sus propuestas sectoriales únicamente aluden a
aquellos agentes directamente vinculados con algunos de los componentes
técnicos del problema (CFE, PEMEX, SEDUE, DDF, etcétera). 3) Vinculadas con las
anteriores fallas, ante la ausencia de una conceptuación comprensiva del
problema en la que intervinieran elementos de los niveles 1 y 2 jerarquizados
con una lógica analítica, se realiza una asignación de funciones y acciones a
la estructura institucional de los distintos niveles de gobierno involucrados,
que no da cuenta de la complejidad del problema ambiental y que no toma
provecho del carácter multisectorial de las instituciones formalmente
participantes en la política del aire.
No existe, por otra parte,
esfuerzo alguno por analizar y evaluar la viabilidad de la estructura
institucional, las prácticas reales −no las formales de estas instituciones−, los márgenes de maniobra de las oficinas del medio ambiente, los agentes
económicos, políticos y sociales comprometidos en la dinámica ambiental y su
respuesta potencial ante medidas que implican una redistribución general de los
costos sociales del deterioro ambiental.
Una propuesta de política
debe apoyarse en un principio de realidad básico para lograr el salto del
voluntarismo al manejo de factores y actores concretos. El PICCA, por ejemplo,
planteó entre sus medidas la urgencia de que 1,550 industrias, de acuerdo a
como lo "permitan sus recursos y posibilidades, pero no mayor a 36 meses a
partir del 15 de noviembre de 1990", sustituyeran procesos contaminantes o
instalaran equipos de control. En materia de transporte propuso fomentar el
colectivo por sobre el individual, sobre todo fortaleciendo al metro como eje
de esta propuesta. A la industria petrolera se le exigieron mejores
combustibles y control sobre sus emisiones.
No obstante, no brinda
elementos para evaluar la viabilidad de sus propuestas, esto es, las
condiciones bajo las cuales se pondrán en práctica estas medidas. ¿Cuál es la
capacidad real de las instituciones ambientales para imponer el interés
ambiental colectivo por sobre el de sus distintos agentes? ¿Es posible, sin
llegar al cierre de industrias, alcanzar estas metas? Esto significa no la
potencialidad de emprender medidas de cierre, sino la capacidad real para
mantener en funcionamiento la planta productiva, confrontar y negociar con
agentes en algunos casos con gran peso económico y político, y lograr metas
ambientales concretas.
En el caso de la industria
petrolera, ¿es posible controlar la calidad de los combustibles, e imponer una
medida restrictiva de fondo a esta industria?, ¿cuál es el mejor camino en el
caso de industrias con fuerte presencia económica y gran influencia política? y
¿cómo dosificar la coacción con la negociación y conciliación? Estos son los
casos de industrias tales como la metalmecánica, la química, la automotriz y la
cementera.
e) Programa para Mejorar la
Calidad del Aire en el Valle de México, 1995-2000 (PROAIRE)
Este programa, que fue
presentado públicamente en 1996, presenta un panorama más comprensivo sobre los
factores que provocan la contaminación del aire. El problema ya no se reduce
únicamente a los volúmenes de contaminantes vertidos en la atmósfera, ni a la
concentración de actividades económicas y humanas en general en el valle de
México, sino que se habla del comportamiento físico-químico de los
contaminantes, de la dinámica meteorológica, de la estructura y los procesos
urbanos, de pautas de consumo y agentes sociales. Sería muy difícil encontrar
faltantes en esta colección de factores intervinientes. Clasificando conforme a
nuestro esquema los distintos factores que PROAIRE hace intervenir, tendríamos
ubicados en el nivel 1 las emisiones en la atmósfera del valle de México
emitidas actualmente y en el pasado bajo las condiciones atmosféricas vigentes
en la región, el consumo energético, la calidad de los combustibles, la
tecnología existente para control de emisiones, la tecnología existente en
procesos productivos, de servicios y transporte; la estructura modal del
transporte, los tiempos y distancia recorridos, vialidad, etcétera. En el nivel
2 se ubica un número significativo de factores, como es el caso de la alusión a
procesos económicos, sociales y culturales. Los procesos que tienen lugar en la
ciudad son considerados como fundamentales para dar cuenta de los problemas
ambientales, particularmente para explicar el problema atmosférico.
No obstante, la inclusión de
una dimensión social en la construcción del problema ambiental por parte de
PROAIRE, o resulta útil para explicar los procesos dado que éstos sólo son
mencionados con fines discursivos, con el propósito de añadir factores, no de
explicar los fenómenos. Por ejemplo, la alusión a un enfoque sistémico
supondría una voluntad de vincular los factores de nivel 1 con los de nivel 2;
no obstante, tales factores únicamente aparecen sobrepuestos. Por otra parte,
se hace alusión a agentes sociales, pero éstos aparecen analizados desde la
óptica del consumo, por lo tanto, son presentados en lo que tienen en común,
esto es, usuarios de bienes y servicios, por lo tanto, como igualmente
culpables y responsables del deterioro ambiental; no se muestran en sus
diferencias, como portadores de recursos diferenciables, ubicados en una
estructura de relaciones jerárquicas y en el marco de relaciones de poder. La
ciudad de PROAIRE está despersonificada, con agentes socialmente
indiferenciados y políticamente neutros. La idea de lo socioeconómico que se
incluye funciona con la lógica de los grandes agregados; cuentan no como
agentes reales, sino como causa y consecuencias que derivan de grandes
agregados como la producción, el consumo, el transporte, la cultura, etcétera.
Pasando al aspecto
programático, destaca el hecho de que aun cuando el diagnóstico haga intervenir
un número considerable de factores, la estrategia es muy similar a las de los
programas de 1979 y 1990. Respecto a éstos únicamente se distingue por la
consideración, en el plano estratégico, de la idea de integración de políticas
de desarrollo urbano, transporte y medio ambiente, y una mayor especificación
en la estrategia de incentivos económicos. El resto de las medidas (mejores
tecnologías y energéticos en industria, servicios y automotores; mayor y mejor
oferta de transporte; vigilancia e inspección vehicular e industrial y de
servicios más estricta y más amplia; información, educación y participación
ciudadana) no hacen sino llevar a un grado de mayor profundidad las propuestas
ya incluidas en el programa de 1979.
El marco institucional de
PROAIRE se caracteriza por el hecho de que además de contar con la estructura
institucional del PICCA, cuenta con el gran paraguas formado por la Secretaría
del Medio Ambiente, Recursos Naturales y Pesca (SEMARNAP), de carácter federal,
y la Secretaría del Medio Ambiente del gobierno de la ciudad de México; ambas
creadas a fines de 1994, al inicio de la administración 1994-2000. Cuenta
también con dependencias ambientales en el Estado de México. Este programa
surge bajo una noción de la concertación de agentes sociales que pretende
establecer compromisos entre diversos agentes tanto gubernamentales como
académicos y no gubernamentales, con lo cual explora con un ámbito de las
políticas públicas novedoso en el contexto mexicano.
Estos son algunos de los
rasgos del diagnóstico y de las propuestas programáticas de PROAIRE; no
obstante, en el plano de la congruencia entre diagnósticos y estrategias
existen algunas inconsistencias que vale la pena destacar. No hay una
correspondencia entre el carácter sistémico con que se califica a los factores
que provocan los problemas atmosféricos y la estrategia de acción; no hay, por
ejemplo, una propuesta de paquetes de política que incluya, de manera
sistemática y de procesos, a los diversos sectores de la administración y a los
diversos agentes intervinientes. No hay una propuesta integral del problema del
aire ubicándolo en el contexto de los otros problemas ambientales. Los factores
se suman unos a otros; no existe un esfuerzo por encontrar secuencias
analíticas entre emisiones, procesos económicos y procesos urbanos. Las medidas
tomadas para tratar el predominio del auto privado y sus efectos en el medio
ambiente, se quedan cortas en relación con el diagnóstico que lo ubica como el
principal depredador urbano.
No hay correspondencia entre
las interrelaciones establecidas en el diagnóstico y el plano de las
propuestas. Estas últimas se confinan a los aspectos más técnicos del nivel 1 y
no se consideran estrategias para el nivel 2. Visto en su conjunto, el
documento no logra construir un marco conceptual unitario; más bien presenta
una superposición de distintos discursos ambientalistas y ecológicos con fines
retóricos más que analíticos. No existe una articulación analítica entre los
componentes químicos, físicos, ecológicos, económicos, sociológicos y políticos
del marco conceptual. El carácter sistémico e interdisciplinario al que alude
el programa para pensar lo ambiental, es sólo un recurso discursivo, no un
elemento de reflexión. Cada uno de estos recortes analíticos aparece en su carácter
autosuficiente y auto explicativo.
Esto sucede en el caso del
marco conceptual, incluido en el capítulo VI, en el que la forma discursiva
aparece como un simple fluir del deseo:
En primer lugar, es
insoslayable la función de una multiplicidad de conceptos que actualmente se
encuentran dispersos, principalmente en los ámbitos de las ciencias ambientales
y de la economía. Ello requiere empezar por una actitud abierta al cambio, dejando
de lado prejuicios hoy día altamente generalizados respecto al tipo y al
alcance de las medidas aplicables. Sólo así se podrá tener éxito en la
introducción y en la aceptación del concepto básico de este nuevo enfoque: el
desarrollo urbano sustentable (DDF et al., 1996:117).
Puede decirse, primeramente,
que el desarrollo urbano sustentable así planteado es una frase vacía, puesto
que no alude a ningún contenido específico, recurriendo más bien a la
aceptación social lograda por un par de palabras: desarrollo y sustentabilidad.
En segundo lugar, no es función de una política promover la aceptación de
términos o conceptos, sino movilizar fuerzas sociales y políticas para obtener
resultados viables en aquellos sistemas de prácticas que se desea afectar. En
tercer lugar, olvidar prejuicios y la mencionada apertura hacia el cambio no
reflejan las condiciones reales requeridas para la viabilidad de una política;
esto únicamente da cuenta de un deseo o, a lo sumo, una voluntad.
En PROAIRE los procesos
urbanos y la política urbana son esenciales para llevar a cabo con éxito una
política ambiental. No obstante, la idea de ciudad de PROAIRE no sólo es
parcial e irrelevante para dar cuenta de los procesos que allí tienen lugar,
sino que retrocede en al menos 70 años en la interpretación de la dinámica
urbana. La escuela ecologista clásica de Chicago que analizó, en la década de
los veinte, los problemas urbanos recurriendo a un modelo ecológico de corte
biologicista, tenía finalmente una noción más realista que la que se maneja en
el documento que aquí se comenta. Para
dicha escuela de pensamiento, el orden urbano era la consecuencia de la lucha
competitiva de distintos agentes que se disputaban los recursos de la ciudad.
La ocupación del espacio −con el consecuente orden urbano así generado− venía a expresar el balance de estas fuerzas que se contraponían y que
daban lugar a un orden desigual procedente de la confrontación de fuerzas de
naturaleza opuesta.
La ciudad de PROAIRE no
conoce los antagonismos ni sospecha el conflicto: "La ciudad es hoy en día
la forma más compleja y acabada de organización humana. En ella podemos
convivir millones de seres vivos (incluidas la fauna y la flora urbana),
realizar simultáneamente un número incontable de actividades cotidianas, interactuar,
comunicarnos, producir y consumir bienes y servicios, todo sin que la ciudad se
colapse; el fenómeno urbano si bien complejo y multidimensional, es algo que
funciona" (DDF et al., 1996:120). Vista bajo esta perspectiva, la
ciudad aparece como un agregado de acciones y reacciones en las que
indiscriminadamente se mezclan hombres, territorios, seres vivos, y hechos, en
un contexto social neutro.
Es importante subrayar las
consecuencias en términos de planteamientos de política, de ese tono neutro, de
esa falta de agentes sociales y políticos reales, esa ausencia de conflicto y
la no mención al carácter desigual de la apropiación de los recursos urbanos y
del consumo, que constituyen la idea de ciudad de PROAIRE. Es por ello que
muchas de sus propuestas adquieren un carácter voluntarista, cuyo fundamento es
la manipulación de recursos tecnológicos y la constante alusión a lo
científico, todo ello descontextualizado de una organización socia real. El
esquema 1, en el cual se sintetiza la concepción del problema atmosférico, lo
mismo que el 4, en el cual se exponen resumidamente las metas y estrategias, no
logra situar el problema ambiental en el contexto social en el que tiene lugar.
Los factores de la
contaminación y las estrategias apuntan también al privilegio de soluciones
tecnológicas, al énfasis en el consumo por sobre la producción de los bienes y
servicios. El propósito es disminuir las emisiones contaminantes con el recurso
del convertidor catalítico y de la introducción de filtros, pero sin el
análisis de los procesos técnicos, organizativos y logísticos de la producción
y del consumo mismo. No hay un cuestionamiento a la lógica y racionalidad
productivas, pero sí una al patrón de consumo. En esto es similar al PCMCA y al
PICCA.
Así como el diagnóstico no
alude a agentes, instituciones, ni a procesos en los cuales toman forma o
personifican los problemas ambientales, las estrategias y propuestas de acción
abstraen a los agentes sociales a quienes van dirigidas las medidas,
desconociendo o desestimando sus acciones y reacciones en los ámbitos
económico, social y político. Esto constituye una política de naturaleza
voluntarista porque no alude al terreno real en el que sus actores viven,
actúan, negocian, acuerdan o se oponen respecto a las leyes, normas y mandatos
mediante los cuales se les asignan costos y se les pretende inducir a un nuevo
arreglo en materia de la distribución social de estos costos.
La ausencia de las variables
sociopolíticas fundamentales en todo proceso de elaboración e implantación de
las políticas públicas, conduce al olvido o desconocimiento de que la
aplicación de toda norma presupone: 1) una negociación sectorial previa a su
pr~mul~ación2); la constitución de un escenario real para su cumplimiento; 3)
la existencia, por parte del emisor y del receptor, de la norma de una voluntad
de cumplimiento; 4) una capacidad y voluntad de sanción por parte de la
autoridad; y 5) una capacidad real de las partes (emisor-receptor de la norma)
para negociar la aplicación de la norma.
Todos estos elementos dan
cuenta de las muchas mediaciones que existen entre la promulgación de la norma
y su impacto real y concreto en la disminución de la contaminación atmosférica.
La consideración o no de estos elementos decide el carácter voluntarista o
realista de las propuestas de políticas y programas en materia ambiental.
El programa PROAIRE plantea
la salida tecnológica como sustento esencial de la política del aire y hace
descansar toda propuesta de sustentabilidad urbana en la superación de la
condición de pobreza por la vía del incremento de la productividad: "[...] poco o nada se puede hacer en la indigencia o
ante los apremios, mientras que en la pobreza, las prioridades y las
expectativas sociales se vuelcan al corto plazo, prevaleciendo tasas de
descuento relativamente altas en la estructura de preferencias, lo que invalida
y descarta los proyectos a futuro como los de sustentabilidad ambiental"
(DDF et al., 1996:123). El supuesto de esta afirmación es que la
superación de la pobreza es posible con el aumento de la productividad. Esta
concepción oculta el papel central de la distribución de la riqueza en el
origen de la pobreza. Por el lado de la cuestión ambiental, esta tesis se
presenta de manera sutil en aquellas interpretaciones y propuestas que plantean
la no satisfacción de las necesidades humanas debido a la existencia de una
escasez natural de recursos que impide su reparto social equitativo. En este
caso también, el problema de la distribución desigual de los recursos es
esencial para entender la verdadera esencia de la escasez; se hablaría
entonces, más que de una escasez natural, de una de carácter social: la que
deriva de la desigual distribución de recursos.
La forma de construir el
problema ambiental es fundamental en el planteamiento de las propuestas de
política y en las estrategias de acción para enfrentar la contaminación. Si el
problema del aire, del agua y de la calidad general del medio ambiente, es
percibido como un problema de escasez o determinado por fuerzas naturales,
entonces las propuestas de política pondrán énfasis en las soluciones
tecnológicas, planteándose un análisis social en el que la sociedad aparezca
como resultado de la libre concurrencia de acciones y voluntades individuales
que, con una participación similar, crean resultados comunes o dan lugar a
resultados no siempre deseables.
Por el contrario, si los
problemas ambientales no son vistos únicamente bajo sus aspectos naturales,
entonces las propuestas y estrategias deberán de incorporar la dimensión social
y política. En este caso es necesario explicar las condiciones sociales de la
creación de la escasez, o las condiciones sociales que originan el deterioro
ambiental. Esto lleva al análisis de la vida social como producto de la
confrontación, del conflicto; de la búsqueda del consenso entre agentes que no
sólo no son funcionalmente iguales, sino que ocupan posiciones distintas en una
estructura social jerárquica. Las propuestas de política y las estrategias
deben considerar soluciones en el ámbito de lo ambiental, en el de lo
económico, en el de lo tecnológico y en el de lo sociopolítico. En este último,
el problema de la distribución de los costos de la reparación del daño
ambiental debe ser considerado como un elemento decisivo en una propuesta
objetiva y realista.
Una propuesta de política
pública, como es el caso de la del aire, debe prever las condiciones de
aplicación de sus propuestas, y tener claridad sobre los límites de la acción
reguladora. Estos límites están acotados por el modelo de desarrollo y su
capacidad de asimilación y cambio, por la voluntad social de llegar en materia
ambiental hasta el punto en que el valor del medio ambiente y su carácter de
parte integrante del paquete del bienestar, no se contrapongan o no devengan
menos esenciales con valores o necesidades concebidas por el grupo (social)
como de naturaleza más esencial. El otro límite decisivo es el que demarcan los
propios actores de acuerdo con la capacidad que poseen para manejar recursos
económicos, ideológicos y políticos, y los acuerdos y saldos derivados de la
confrontación de estas posiciones en un momento dado en el tiempo.
Refiriéndonos a estos
actores, debe incluirse en el análisis el poder de negociación muy elevado que
poseen algunos de ellos y su inclusión como elemento de viabilidad de las
propuestas. La política ambiental, lo mismo que toda política pública, tiene un
componente coercitivo y uno de búsqueda de consenso. La aplicación de una
política ambiental efectiva consiste en el manejo adecuado, oportuno y eficaz de
ambos componentes en un contexto en el que los componentes
físico-químico-meteorológicos que integran el problema ambiental en su
dimensión "física" (nivel l), sus componentes de procesos económicos
y tecnológicos y sus aspectos sociopolíticos (nivel 2), sean evaluados,
ponderados y ubicados en su justa dimensión. Hablo de una política pública
voluntarista o retórica, cuando estos elementos no son incluidos en sus marcos
conceptuales y en sus propuestas de acción. (Ver cuadros en el anexo).
Conclusiones: elementos para
un esquema ideal de construcción del problema atmosférico
Por último y sintetizando la
crítica a la construcción gubernamental de la contaminación atmosférica, quiero
comparar esta construcción con una de naturaleza ideal, en la cual la contaminación
del aire en términos de sus características y composición serían pensadas como
una consecuencia de fenómenos naturales, sociales y políticos de mayor alcance
explicativo, y con una jerarquización distinta a aquella expuesta por los
programas gubernamentales. Las implicaciones para la práctica de la
programación de una concepción de esta naturaleza, serían el planteamiento de
propuestas programáticas dirigidas hacia los distintos niveles de existencia de
los problemas ambientales, así como una jerarquización de las acciones que
permitiría enfrentar simultáneamente problemas coyunturales y estructurales,
estableciendo prioridades dentro de esa dinámica que surge del tratamiento de
problemas emergentes, por un lado, y de problemas de fondo, por otro (véase
esquema 5 en el anexo).
Los tres programas exploran,
con relativo éxito, ese nivel físico-químico-técnico (nivel 1) de la
contaminación. Los tres señalan la presencia de componentes sociales entre las
causas que originan los problemas (nivel 2). No obstante, para el primer y
segundo programas lo social se agota en el fenómeno de la concentración de
actividades económicas (industria, servicios, número de autos, etcétera) y de
población. El tercer programa incluye, como elemento de diagnóstico, un listado
de otros componentes más cualitativos, que intervienen como elementos
explicativos; tales son los casos de los factores culturales y la idea de
procesos urbanos. No obstante, estos elementos entran al marco conceptual más
como componentes decorativos que con una finalidad explicativa, puesto que no
se interrelacionan entre ellos y, por otra parte, no son incorporados en las
propuestas de acción. PROAIRE hace intervenir más variables y algunas de ellas
tendrían un alto poder explicativo, si bien no se hallan jerarquizadas en el
plano del diagnóstico y no forman parte de un marco interpretativo unitario. En
el plano de las propuestas de acción, no hay congruencia entre marco conceptual
y estrategias. La política del aire (tal y como la entiendo en el esquema que
presento) debe ser construida con base en dos componentes:
1) Una conceptuación que ubique el problema atmosférico en sus
distintos niveles de existencia: a) como parte de una problemática ambiental
con la que interactúa; b) como producto de características geográficas y
naturales; c) como consecuencia de una tecnología y de formas organizativas en
el plano de las actividades económicas; d) como resultado de juegos de fuerzas
económicas, sociales y políticas; y e) como fenómeno influido, en el plano
macro, por un orden urbano y un orden social, en el cual coinciden un sistema
de valores y un orden económico y político que le asigna sus verdaderos
contenidos a la sociedad en su conjunto.
2) El segundo componente en el que debe sustentarse la política
del aire tiene que ver con la estrategia específica de acción, lo cual incluye
los objetivos, metas, estrategias, y el marco institucional en el que se
desarrollará la propuesta. Lo central de este aspecto es la necesidad de
establecer congruencia entre la construcción del problema en términos del
diagnóstico y el tipo de propuestas concretas contenidas en los programas.
Deben tenerse en cuenta los
aspectos básicos de esta crítica. Uno de ellos atañe a la construcción del
problema de la contaminación atmosférica efectuada en los programas
gubernamentales, particularmente lo relacionado con su conceptuación. En este
caso mis observaciones van dirigidas a la capacidad o incapacidad de los
diagnósticos y de los marcos conceptuales para pensar un problema multicausal
en sus distintos niveles de existencia, jerarquizando éstos de acuerdo con los
propósitos de dichos diagnósticos. Cuando el propósito es el diseño de una
política pública, el marco conceptual debe hacer intervenir a los agentes en
los cuales se personifican los aspectos físicos, técnicos, tecnológicos,
económicos, etcétera, de los problemas ambientales; a las relaciones entre
productores y consumidores en un orden social determinado; al sistema de
valores en el cual norman sus vidas los agentes; y a los intercambios políticos
de que participan.
El otro aspecto básico de mi
crítica apunta hacia la necesaria congruencia que debe existir entre la
construcción del problema en el sector gubernamental, y la estrategia de acción
propuesta para enfrentar los problemas. En este sentido, resulta inconveniente
tanto un programa que define de manera simplista el problema de la
contaminación pero que plantea soluciones complejas, como aquel que define de
manera compleja el problema y plantea soluciones de manera simplista. El primer
caso se aplica al PCMCA y el segundo a PROAIRE.
Con el esquema que presento
se podría intervenir analítica y programáticamente en el problema de la
contaminación atmosférica. En el esquema, el problema del aire aparece visto
desde estas dos intervenciones. Así, desde el punto de vista analítico, la contaminación
aparece como un producto combinado de factores físico-técnicos, económicos,
sociales y culturales. Entre lo físico-técnico y lo socio-cultural existe un
mayor grado de eficacia explicativa en favor de este último en la medida en que
la organización social y la acción misma del hombre son elementos modificadores
esenciales del medio ambiente natural. En este mismo nivel analítico, el modelo
aquí presentado hace intervenir a los agentes económicos y políticos que se
derivan o que están involucrados en problemas ambientales como el de la
contaminación. Son estos agentes los receptores y las fuerzas reales que
participan de las políticas, y finalmente son ellos mismos quienes deciden, con
el control de recursos que ejercen y con sus acciones y reacciones en un
escenario signado por la disputa y la negociación, el tipo de política puesta
en práctica por la autoridad gubernamental.
Desde el punto de vista de
la segunda intervención en el problema de la contaminación, esto es, la
intervención programática, la política del aire aparece en el esquema
presentado requiriendo estrategias en los distintos niveles de existencia del
problema ambiental. A continuación, el esquema alude a la necesidad de diseñar
un sistema de planeación para los propósitos de la política del aire en el cual
se ubica a esta política de manera jerárquica, de acuerdo con su grado de
eficacia y sus márgenes de maniobra, en el contexto de otras políticas
sectoriales con las que compite por recursos y por costos. Conforme al esquema,
la política económica posee un mayor margen de maniobra y ejerce un control de
recursos más significativos, conteniendo por lo tanto a la ambiental y a la del
aire. No considerar esta jerarquía entre las distintas políticas públicas,
lleva a las autoridades ambientales a sobrevalorar o a subestimar el ámbito
específico y el alcance de la política ambiental. La propuesta de acción que
derivaría de una concepción del problema ambiental multicausal es una que
asigna, también diferencialmente, responsabilidades a los distintos sectores y
agentes involucrados. Es esto lo que se indica en el último cuadro del esquema,
en el que destaca la necesidad de: 1) congruencia entre diagnóstico y
estrategia; 2) la inclusión de los distintos agentes de acuerdo con su
importancia en el origen y solución de los problemas; 3) la jerarquización de
las acciones en relación con el grado de efectividad para encarar los problemas
y la dinámica entre problemas coyunturales y de fondo; y 4 identificación y, en
su caso, creación de márgenes de maniobra para la acción sectorial y de los
agentes.
ANEXO










Bibliografía
Adams, B.
(1994), "Sustainable Development and the Greening of Development
Theory", en F. J. Schuurman, Beyond the Impasse, Nueva York, Zed
Books.
Comisión Intersecretarial de
Saneamiento Ambiental (1979), Programa Coordinado para
Mejorar la Calidad del Aire (PCMCA), México, Comisión Intersecretarial de Saneamiento Ambiental.
Crenson,
M. (1972), The Un-Politics of Air P4llution. A study of Non-Decission Making
in the Cities, Baltimore, JHUP.
DDF (1990), Programa
Integral Contra la Contaminación Atmosférica (PICCA), México, DDF.
DDF et al. (1996), Programa
para Mejorar la Calidad del Aire en el Valle de México (PROAIRE), México,
DDF.
Lezama, J. L. (1996),
"La construcción ideológica y política de la contaminación del aire:
consideraciones para el caso de la ciudad de México", Estudios
Demográficos y Urbanos, vol. 11, núm. 1, enero-abril.
Portney,
K. (1992), Controversial Issues in Environmental Policy, Londres, Sage
Publications.