Comparación de la eficiencia técnica de los sistemas de
salud en países pertenecientes a la oms
Armando Nevárez-Sida
Patricia
Constantino-Casas
Fernando
García-Contreras*
Resumen
Con base en
información de insumos y productos de la Organización Mundial de la Salud (oms) de 2002, se estimó y comparó (con
un método determinístico no paramétrico: Data Envelopment Analysis, técnica dea) la eficiencia técnica de 191 países con respecto a los
resultados en salud y su relación con la distribución del ingreso y el ingreso per
cápita. Se
propusieron dos modelos con diferentes variables dependientes. Los países se
clasificaron por ingreso per cápita en cuatro categorías y se compararon
respecto de su eficiencia técnica. Se encontró correlación negativa entre el nivel
de eficiencia técnica e ingreso per cápita. Las comparaciones mostraron que los
países con menor ingreso tuvieron mayor eficiencia técnica.
Palabras clave:
eficiencia técnica, sistemas de salud, producción de salud, dea.
Abstract
Based on
information from the World Health Organisation about
supplies and products in 2002, we estimated and compared the technical
efficiency of 191 countries (using a non-parametric deterministic method: the
Data Envelopment Analysis (dea)
technique) taking into consideration the results on health and its relationship
with income distribution and per capita income. We have proposed two models
with different dependent variables. The countries were classified by their per
capita income into four categories and they were compared with respect to the
technical efficiency obtained. We found a negative correlation between the
level of technical efficiency and the per capita income. The comparisons showed
that those countries with a lower income obtained a grater technical efficiency.
Keywords: technical efficiency, health systems, health
production, dea.
*
Todos los autores están adscritos al Instituto Mexicano del Seguro Social,
México. Correo-e de contacto: armando.nevarez@
imss.gob.mx.
Introducción
Todos los países
invierten parte de sus recursos en los sistemas de salud de acuerdo con sus
prioridades y políticas. En 2001, los países afiliados a la Organización
Mundial de la Salud (oms)
gastaron, en promedio, 5.8% de su producto interno bruto (pib) en salud (who, 2002). La magnitud per cápita de esas inversiones se
relaciona de manera directa con el grado de riqueza de cada país, su población
y la agenda de políticas nacionales de salud. Sin embargo, independientemente
de la magnitud de inversión en salud existe interés por conocer si los recursos
empleados se utilizan de la mejor forma.
Algunos estudios
estiman la eficiencia de los sistemas de salud con diferentes metodologías en
distintos grupos de países. David Evans y colaboradores (2001) midieron la
eficiencia estimando la relación entre los niveles de salud de la población
(esperanza de vida saludable) y los insumos utilizados para producirla (gasto
en salud per cápita y promedio de años de escolaridad de la población adulta).
Estos autores emplearon métodos econométricos en una muestra de 191 países con
información de 1993 a 1997. La conclusión fue que el incremento en los recursos
de salud en países pobres y la utilización más eficiente de los recursos en
países ricos, son las mejores alternativas para mejorar los resultados de salud
en cada caso.
Hugh Gravelle y
colaboradores (2002) utilizaron distintas definiciones de eficiencia y métodos
de estimación para corroborar los resultados obtenidos por Evans y
colaboradores (2001) sobre la eficiencia de los sistemas nacionales de salud.
Informaron que el ordenamiento de países y la magnitud de eficiencia fueron
sensibles a la forma como ésta es definida y a los modelos de análisis.
Donna Retzlaff
Roberts y colaboradores (2004) emplearon la metodología propuesta en el presente
estudio para calcular la eficiencia técnica de los países de la Organización
para la Cooperación y el Desarrollo Económico (ocde). Concluyeron, entre otras
cosas, que Estados Unidos podría disminuir los insumos que emplea sin afectar
su esperanza de vida.
De manera
sistemática se ha encontrado una relación entre ingreso, distribución del
ingreso y variables de salud. Jennifer Mellor y
Jeffrey Milyo (2001), analizando países
desarrollados, encontraron una correlación positiva entre el coeficiente de Gini y la mortalidad infantil, y una correlación negativa
entre la esperanza de vida y el coeficiente de Gini.
En relación con el gasto en salud y su impacto en la mortalidad infantil, Deon Filmer y Lan
Pritchett (1999) comentaron que éste no es un
determinante poderoso, sino que existen otros factores como ingreso per capita, desigualdad en la distribución del ingreso,
educación femenina, nivel de fragmentación étnica y religión predominante.
Richard Wilkinson y Kate Pickett
(2006) revisaron 155 artículos sobre la relación de ingreso y resultados en
salud, y en 70% de ellos se describe que los niveles menores de salud se
asocian con los mayores niveles de desigualdad en el ingreso.
A pesar de la
relación que existe entre el ingreso, su distribución y los resultados en
salud, no está suficientemente documentada la relación entre el ingreso, o las
medidas de distribución del ingreso, y el desempeño de los sistemas de salud.
Este último representado por una medida de eficiencia que relaciona uno o más
resultados en salud con algunos de los insumos requeridos para su producción.
Es fundamental
conocer si las inversiones en salud proporcionan los mejores resultados; es
decir, si los recursos se emplean de manera eficiente. El objetivo del presente
estudio es estimar y comparar la eficiencia técnica de 191 países
pertenecientes a la oms
respecto de sus resultados en salud y su relación con la distribución del
ingreso y el ingreso per cápita en la muestra de países analizada por la oms (who, 2000).
Material y métodos
La eficiencia
técnica en salud, definida como la relación entre insumos y productos en el
área de la salud (Palmer y Torgerson, 1999), se
estimó en cada país con un método determinístico no paramétrico que utiliza
técnicas de programación lineal, conocido como dea (Data
Envelopment Analysis) (Cooper et
al., 2000).
Mediante esta
técnica se definió la frontera de mejor práctica, también denominada tecnología
de referencia o frontera de producción. Esta frontera se construyó mediante la
identificación de aquellos países que producen una cantidad determinada de
productos con el menor número de insumos. Cuanto más cercana se situó una
observación de la frontera, más próximo se encontró ese país de alcanzar la
eficiencia. Si se localizó una observación en la frontera, entonces ese país se
consideró eficiente.
La técnica dea permite
construir una frontera de producción con cualquier número de insumos y de
productos. En la figura i se
ilustra cómo se construye la frontera de mejor práctica en el caso de un solo
insumo y un solo producto (Fare et
al., 1994). La línea
recta que surge desde el origen representa la tecnología bajo rendimientos
constantes a escala (rce).
En el mismo diagrama se observa la frontera de referencia para rendimientos no
crecientes a escala (rnce)
que va de 0 a AB y la línea horizontal a partir de B. En el caso de la
tecnología con rendimientos variables a escala (rve), la frontera de referencia
se inicia en el punto cuya abscisa es xt,
de ahí continúa a AB y al segmento horizontal desde B (figura i).
Figura i
Construcción de
la tecnología de referencia

Fuente: Elaborada con base en Fare
et al.
(1994).
Un procedimiento
es técnicamente eficiente (Bitran y Block, 1992) si
los insumos de producción se combinan de forma que se alcance el máximo producto.
La eficiencia económica extiende el concepto de eficiencia técnica para tomar
en cuenta los precios relativos de los insumos de producción. Así, un
procedimiento es económicamente eficiente si, y sólo si, los insumos son
combinados para producir un nivel dado de producto al costo mínimo, por lo que
no todas las combinaciones técnicamente eficientes lo serán también desde el
punto de vista económico.
Ambos tipos de
eficiencia se pueden determinar mediante la técnica dea. Sin embargo, en el presente
artículo solamente se calculó la eficiencia técnica debido a la disponibilidad
de información. Para fines de simplificación, la eficiencia técnica se denomina
eficiencia, y se entiende como la proporción en la que los insumos pueden ser
reducidos para obtener el mismo producto.
El escenario
base asumió fuerte disposición de insumos; es decir, si se incrementan los
insumos, el producto no puede decrecer, por lo que no tiene congestión (no se
produce con una cantidad excesiva de insumos). También se asumieron
rendimientos no crecientes a escala, por lo que un incremento proporcional en
los insumos implicó un aumento en el producto en la misma o menor proporción.
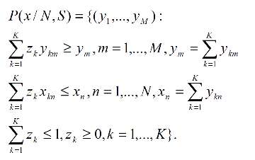
El problema a
resolver consistió en optimizar el producto sujeto a restricciones, para el
caso de rendimientos no crecientes (N) y fuerte disposición de insumos (S). Se
asume que hay k=1,..., K países que usan n=1,..., N insumos . Los insumos se
emplean para producir m=1,..., M productos . La frontera de referencia se
construyó como:

Donde zk, k=1,…, K son variables de intensidad. Si la
segunda restricción se convierte en igualdad, se modela una disposición débil
de insumos. Para modelar rendimientos variables, se incluyó una igualdad en la
tercera restricción; es decir, la sumatoria de las variables de intensidad para
cada país debe ser igual a uno.
Con fines de
simplificación, se definieron las categorías de eficiencia alta, media y baja
(ineficiencia). Los países con alta eficiencia fueron aquéllos que se
encontraron en la frontera de mejor práctica. Las dos categorías restantes
correspondieron a países con eficiencia media e ineficiencia. El punto de corte
fue el promedio de eficiencia de todos los países en cada uno de los modelos.
Para realizar el
análisis de sensibilidad se efectuaron algunos cambios en los supuestos del
modelo base. Uno de estos cambios fue asumir una disposición débil de insumos
haciendo posible una reducción de insumos sin que esto implique necesariamente
una reducción en el producto.
Se relajó
también el supuesto de rendimientos no crecientes a escala para permitir
rendimientos variables a escala. Si se supone que el gasto en salud se
incrementa de manera constante año tras año, ello no implica que los niveles de
salud de la población se incrementen también en forma constante, dado que
existen otras variables involucradas y un nivel máximo de salud alcanzable, y a
partir de este punto cualquier incremento en los insumos implicará un mayor
gasto y una reducción en la eficiencia.
Para alcanzar un
determinado nivel de salud, ya sea individual o para una región o país, los
factores que intervienen son muchos. Uno de los más relevantes serían las
acciones del sistema de salud en su conjunto; sin embargo, si se careciera de
él, el nivel de salud no sería cero (Murray y Frenk,
1999), por lo que su importancia es relativa. El nivel de salud bajo el
supuesto de que no existe sistema de salud fue calculado por Evans y
colaboradores (2001) utilizando observaciones de 25 países para 1908 (en
promedio) y extrapolando esas relaciones para 1997. Aunque desde el punto de
vista teórico sería deseable contar con la estimación del nivel de salud de
cada país sin su sistema de salud para corregir el cálculo de eficiencia,
consideramos que no es posible obtener esa información, y que (como piensan otros
autores, como Gravelle et
al., 2002) resulta
irrelevante sustraer el nivel de salud sin sistema (salud
mínima), ya que ello
impacta tanto en el numerador como en el denominador sin modificar el cálculo
de la eficiencia.
Por otro lado,
el producto teórico, nivel de salud, no es fácil de determinar pues presenta
numerosos indicadores con diferentes grados de agregación y no es fácilmente
observable, por lo que se utilizaron medidas indirectas de ese producto.
Para tener una
aproximación más apropiada de la variable dependiente se utilizaron los
siguientes indicadores de producto:
·
Esperanza de vida al nacer (ev): se definió como el número de
años que una persona espera vivir al nacer si los niveles de mortalidad
permanecen constantes en un lugar y tiempo específicos.
·
Mortalidad infantil (mi):
es el número de muertes en niños menores de un año de edad ocurridas durante un
periodo de un año expresado por 1,000 nacidos vivos.
·
Esperanza de vida saludable: este indicador se calcula con base en
la esperanza de vida al nacer, pero incluye un ajuste por el tiempo estimado en
el que se tiene una salud pobre; es decir, equivale al número de años con salud
completa (Mathers et al., 2000).
Las dos primeras
variables (ev
y mi) son de importancia en cuanto
a indicadores de desempeño nacional e internacional. Sin embargo, como lo
deseable es vivir el mayor número de años con una buena salud, se incluyó la
esperanza de vida saludable. En función de las tres variables de producto
definidas previamente se desarrollaron dos modelos: en el primero, los productos que
explican el desempeño de un sistema de salud son la esperanza de vida y la
mortalidad infantil, mientras que en el segundo la variable de producto fue la
esperanza de vida saludable al nacer. La ventaja del primer modelo es que los
indicadores no se agrupan en un índice por la subjetividad para la elección de
ponderadores apropiados (Smith, 2002).
Por el lado de
los insumos, idealmente se deberían incluir todos aquellos factores que inciden
en la obtención de un determinado estado de salud. Sin embargo, debido a que
intervienen múltiples factores y muchos de ellos no son fácilmente
cuantificables, se consideraron solamente dos: uno ligado de manera directa con
el desempeño del sistema de salud (gasto en salud per cápita), y el segundo,
más relacionado con las características socioeconómicas de la población de un
país (pib
per cápita), como educación, vivienda y alimentación. Estos dos indicadores se
definieron de la siguiente forma:
·
Gasto
en salud per cápita (gsp):
es el gasto total en salud de cada país entre su población. Para hacer estos
datos comparables se expresaron en dólares ajustados por paridad del poder de
compra (ppp).
·
Producto
interno bruto per cápita (pibp):
conjunto de todos los bienes y servicios producidos en el interior de un país,
ya sea por nacionales o extranjeros, expresado en términos monetarios y
dividido por la población del país; datos también expresados en dólares
ajustados por ppp.
Todas estas
variables se obtuvieron directamente de los informes que proporciona la oms sobre los
países miembros (Whosis,
2005). A diferencia de Evans y colaboradores (2001), que no incluyeron el pib per cápita
por presentar problemas de correlación tanto con el gasto en salud per cápita
como con la educación, la utilización de la técnica dea permite eliminar problemas de
multicolinealidad, por lo que en el presente estudio
se incluyó dicha variable.
Para fines de la
presentación de los datos e interpretación de los resultados, se clasificaron
los países con base en su ingreso per cápita en cuatro grupos tomando como
límites los percentiles 25, 50 y 75: con ingreso bajo, medio bajo, medio y alto
(véase Anexo).
Resultados
Se obtuvieron
cuatro indicadores de eficiencia para cada uno de los 191 países, dos por cada
uno de los modelos y, dentro de éstos, uno corresponde a rendimientos no
crecientes a escala y fuerte disposición de insumos, y el otro a rendimientos
variables a escala y disposición débil de insumos.
Los resultados
de eficiencia del primer modelo se presentan en el cuadro 1. Los productos del
sistema de salud considerados son la esperanza de vida y la mortalidad
infantil.
Cuadro 1
Eficiencia por
tipo de país en el modelo 1 (porcentaje)
|
Tipo de
país |
Ineficiente |
Eficiencia media |
Eficiencia alta |
|
Rendimientos
no crecientes |
|||
|
Ingreso bajo |
43.75 |
43.75 |
12.5 |
|
Ingreso medio-bajo |
44.68 |
44.68 |
10.64 |
|
Ingreso medio |
87.76 |
10.2 |
2.04 |
|
Ingreso alto |
51.06 |
40.43 |
8.51 |
|
Rendimientos
variables |
|||
|
Ingreso bajo |
50 |
29.17 |
20.83 |
|
Ingreso medio-bajo |
42.55 |
42.55 |
14.89 |
|
Ingreso medio |
83.67 |
6.12 |
10.2 |
|
Ingreso alto |
51.06 |
31.91 |
17.02 |
Fuente: Cálculos propios con base en información de la oms.
El grupo de
países de bajos ingresos tuvo más integrantes con eficiencia alta en sus
sistemas de salud, mientras que los países con ingresos medios fueron los más
ineficientes. Se encontró, en general, que a mayor ingreso se obtiene menor
eficiencia, ya que la rho de Spearman
mostró una correlación negativa (rho = –0.27; p < 0.0001).
En relación con
la distribución de países por tipo de ingreso y eficiencia bajo rendimientos
variables a escala, en el cuadro 1 se observa que, de forma independiente al
grupo de ingreso, una mayor proporción de países se ubicó dentro de la frontera
de producción, por lo que, según la calificación, se les atribuye una
eficiencia alta.
Bajo
rendimientos variables y disposición débil de insumos, 30 países se ubicaron
sobre la frontera de mejor práctica. Lo anterior representó un número muy
superior a los 16 que se encontraban en esa situación bajo rendimientos no
crecientes a escala y disposición fuerte de insumos. La correlación entre el
nivel de ingreso y la eficiencia con rendimientos variables mostró un valor rho = –0.127 (p = 0.015).
El segundo
modelo difiere del
primero en que la variable de resultado del sistema de salud es la esperanza de
vida saludable. En este modelo se obtuvo un coeficiente de correlación rho de Spearman
entre el ingreso per cápita y la eficiencia bajo rendimientos no crecientes de –0.431 (p < 0.0001), mientras que con
rendimientos variables a escala el valor de rho fue de –0.32 (p < 0.0001). Estos datos muestran
que existe una correlación importante y negativa entre el nivel de ingreso per
cápita y la eficiencia de los sistemas de salud.
En el cuadro 2
se presenta el número de países que mejoraron o empeoraron su medida de
eficiencia por el cambio de modelo. Los países que permanecieron igual fueron,
en su mayoría, aquellos que se ubicaron en la frontera de mejor práctica de
forma independiente al tipo de rendimientos a escala y/o variable(s) de desempeño
(entre ellos Japón, Malta, Sri Lanka y Singapur).
Cuadro 2
Países que
cambiaron su desempeño en función del modelo
|
Tipo de
país |
Rendimientos no crecientes |
Rendimientos variables |
||||
|
Peor |
Igual |
Mejor |
Peor |
Igual |
Mejor |
|
|
Ingreso bajo |
32 |
6 |
10 |
30 |
11 |
7 |
|
Ingreso medio-bajo |
23 |
3 |
21 |
17 |
5 |
25 |
|
Ingreso medio |
21 |
2 |
26 |
17 |
6 |
26 |
|
Ingreso alto |
10 |
2 |
35 |
11 |
5 |
31 |
Fuente: Cálculos propios con base en información de la oms.
Los resultados
de eficiencia para cada uno de los países se modifican de acuerdo con las
especificaciones de los modelos, y estas diferencias son estadísticamente
significativas (prueba de Wilcoxon p < 0.0001). Los países que fueron
eficientes en el modelo 1 (con rendimientos no crecientes) son poco sensibles a
cambios en los modelos y supuestos de disposición de insumos y rendimientos.
Algunos países de América Latina cuya eficiencia fue poco sensible a los
cambios en los modelos fueron México, Brasil, República Dominicana, Costa Rica
y Panamá.
La eficiencia de
acuerdo con el grupo de países por tipo de ingreso en ambos modelos muestra
que, salvo el grupo de ingresos altos, a menor ingreso se tiene mayor
eficiencia. Como se puede observar en la figura ii,
el grupo de países con ingresos altos tiene un comportamiento diferente al
resto. El grupo que mostró la menor eficiencia fue el de ingresos medios.
Figura ii
Gráfica
comparativa por ingresos

Debido a que las
mediciones de eficiencia del sistema de salud dependen de manera importante de
causas ajenas al mismo, como son la educación y la cultura de la población
(expresadas de manera indirecta por el ingreso per cápita), una medida de
distribución del ingreso estaría asociada de manera negativa con los resultados
en eficiencia alcanzados por los sistemas de salud (Tangcharoensathien
y Lertiendumrong, 2000). Es decir, los países con una
distribución del ingreso más homogénea tendrán mejores resultados en salud que
aquellos países que globalmente tengan mayores ingresos pero en donde la
distribución de éstos sea más desigual.
La correlación
entre la distribución del ingreso y la eficiencia de los sistemas de salud se
corroboró mediante el coeficiente de correlación rho de Spearman.
Se encontró, para el primer modelo, una correlación negativa de la eficiencia
con el coeficiente de Gini con un valor rho = –0.269 (p = 0.003) en rendimientos no
crecientes, mientras que con rendimientos variables fue de –0.246 (p = 0.006). En el segundo modelo la
eficiencia no mostró correlación estadística significativa con el coeficiente
de Gini. Los resultados anteriores se obtuvieron con
datos de 124 países, debido a que el resto no tenía la información necesaria
para realizar el análisis.
Conclusiones
Se encontró
correlación significativa entre el desempeño de los sistemas de salud y el
nivel de ingreso de los países estudiados. Aunque dicha correlación fue muy
baja, estos valores son compatibles con los datos obtenidos por Akira Babazono y Alan Hillman (1994) y por Deon Filmer y Lant Pritchett
(1999). En ambos modelos, e independientemente del nivel de ingreso de determinado
país, potencialmente siempre existirá un margen para obtener mejores resultados
de salud utilizando más eficientemente los recursos disponibles sin tener que
destinar necesariamente mayores recursos a ese sector. Esto extiende el
resultado obtenido por Howard Oxley y Maitland MacFarlan (1994) para
los países integrantes de la ocde.
Aunque la
eficiencia de los sistemas de salud se correlacionó de manera inversa con el
coeficiente de Gini, ya que los países con similares
inversiones en salud obtuvieron una calificación de su eficiencia mejor si
presentaban menor desigualdad en el ingreso, ello no es más que un resultado
preliminar y con limitaciones. En la literatura relacionada con el tema existe
controversia (Bartley, 2004), por lo que se requiere
invertir en la obtención de información de calidad y en el desarrollo de más
investigación al respecto.
De acuerdo con
lo desarrollado en el presente documento, más de 50% de los países que integran
la oms
tienen sistemas de salud ineficientes, por lo que las modificaciones orientadas
a incrementar su eficiencia derivarán en cambios positivos y sustanciales en
los resultados de salud (entre ellos, Guinea Ecuatorial, Sudáfrica, Botswana, Swazilandia y Liberia).
Cuarenta por ciento de los países que tienen una eficiencia media pueden
mejorar sus indicadores de resultados en salud de manera modesta con cambios
encaminados a la eficiencia. De acuerdo con los resultados obtenidos en los
distintos modelos, países como Estados Unidos o Suiza pueden disminuir en
cierto rango los insumos empleados sin afectar la esperanza de vida, la
mortalidad infantil y la esperanza de vida saludable.
Contrario a lo
obtenido por Evans y colaboradores (2001), en el presente estudio se encontró
que China tiene un buen desempeño en comparación con países con similares
niveles de desarrollo. Por su parte, Sri Lanka mostró un sistema de salud
comparativamente eficiente; estos resultados son consistentes con los de otros
autores (Halstead et al., 1985; Hsiao,
2000).
La ubicación de
19 países dentro de la frontera de mejor práctica no implica que su eficiencia
no se pueda incrementar de un periodo a otro. Es decir, en este periodo son
ellos los que utilizan de manera más eficiente sus combinaciones de insumos
para obtener el máximo producto, pero éste es solamente el máximo de un
periodo, no el máximo global que se podría alcanzar.
La calificación
de países según indicadores de eficiencia de sus sistemas de salud está
influida de manera directa por las variables que se utilicen para medir tanto
los productos como los insumos. Los países que tienen sistemas de salud
eficientes son poco sensibles a cambios en los modelos para determinar la
eficiencia. Para el resto de los países, un cambio en los modelos utilizados
para medir eficiencia podría colocarlos en un lugar por encima o por debajo de
su situación inicial.
Bajo
rendimientos variables a escala, es posible que aquellos países que no tienen
los mayores incrementos marginales en función de sus variables dependientes
puedan ser parte de la frontera de mejor práctica, hecho que no está permitido
bajo rendimientos no crecientes a escala. Sin embargo, el incremento en
eficiencia de la mayor parte de los países estaría dado por el relajamiento del
supuesto de disposición fuerte de insumos, por lo que este grupo de países
podría mantener sus resultados de salud disminuyendo los insumos que se emplean
para producirlos.
En los modelos
que consideraron rendimientos no crecientes y variables a escala se encontraron
países en los que, a pesar de tener altos ingresos, sus sistemas de salud
tienen resultados muy deficientes en la esperanza de vida y la mortalidad
infantil. La explicación a lo anterior se puede hipotetizar
por la existencia de un umbral por debajo del cual el gasto en salud y el
ingreso per cápita inciden de manera significativa sobre
estos indicadores de resultado. Sin embargo, una vez rebasado ese umbral, estos
indicadores sufren cambios no significativos y cada mejora tiene un costo que
no resulta eficiente. También se debe tomar en cuenta que altas inversiones en
salud inciden en otros indicadores no considerados como productos del sistema
de salud, como es el caso de las enfermedades características de los países
desarrollados (crónico-degenerativas).
Invertir una
mayor proporción del pib
en los sistemas de salud no garantiza obtener mejores resultados si no se
controla también la forma en que se invierten esos recursos. Se requiere hacer
más eficiente el sistema de salud mediante los incentivos o mecanismos de
regulación apropiados. Existe evidencia de que la cultura organizacional está
ligada en forma contingente al desempeño de los sistemas de salud (Mannion et al., 2003).
Es importante
continuar trabajando sobre el tema de la eficiencia y la calificación de los
sistemas de salud en diferentes aspectos para extender el conocimiento, ya que
la metodología utilizada por la oms no es concluyente debido, entre otros factores, a
la complejidad de la producción de salud y a la dificultad para la definición, operacionalización y medición de las variables involucradas
y la heterogeneidad entre las naciones (Greene, 2004;
Navarro, 2002). El presente artículo difiere de los mencionados con
anterioridad en algunos aspectos como son: variables de insumo y producto,
periodo de análisis, método de cálculo y supuestos. En este estudio, los
resultados de eficiencia fueron sensibles a las variables incluidas para medir
insumos y productos, así como a los supuestos del modelo.
Anexo
Clasificación de
países por nivel de ingresos
|
Ingreso bajo |
Ingreso medio-bajo |
|
Afganistán |
Albania |
|
Angola |
Argelia |
|
Bangladesh |
Armenia |
|
Benin |
Azerbaiyán |
|
Bután |
Bolivia |
|
Burkina Faso |
Bosnia y Herzegovina |
|
Burundi |
Cabo Verde |
|
Cambodia |
China |
|
Camerún |
Costa de Marfil |
|
Chad |
Cuba |
|
Comoras |
Ecuador |
|
Congo |
Egipto |
|
Djibouti |
El Salvador |
|
Eritrea |
Ex República Yugoslava de Macedonia |
|
Etiopía |
Georgia |
|
Gambia |
Guatemala |
|
Ghana |
Guyana |
|
Guinea |
Honduras |
|
Guinea-Bissau |
Indonesia |
|
Haití |
Irak |
|
India |
Islas Marshall |
|
Kenya |
Islas Salomón |
|
Kiribati |
Jamaica |
|
Madagascar |
Jordania |
|
Malawi |
Kirguistán |
|
Mali |
Lesotho |
|
Mauritania |
Liberia |
|
Mozambique |
Maldivas |
|
Myanmar |
Marruecos |
|
Nepal |
Micronesia (Estados Federados de) |
|
Níger |
Mongolia |
|
Nigeria |
Namibia |
|
República Centroafricana |
Nicaragua |
|
República Democrática del Congo |
Pakistán |
|
República Democrática Popular Lao |
Papua Nueva Guinea |
|
República Popular Democrática de Corea |
Paraguay |
|
República Unida de Tanzania |
Perú |
|
Ruanda |
República de Moldova |
|
Santo Tomé y Príncipe |
Samoa |
|
Senegal |
Sri Lanka |
|
Sierra Leona |
Suriname |
|
Somalia |
Tonga |
|
Sudán |
Ucrania |
|
Tayikistán |
Uzbekistán |
|
Togo |
Vanuatu |
|
Uganda |
Vietnam |
|
Yemen |
Zimbawe |
|
Zambia |
|
|
Ingreso medio |
Ingreso alto |
|
Antigua y Barbuda |
Alemania |
|
Argentina |
Andorra |
|
Belarús |
Arabia Saudita |
|
Belice |
Australia |
|
Botswana |
Austria |
|
Brasil |
Bahamas |
|
Bulgaria |
Bahrein |
|
Chile |
Barbados |
|
Chipre |
Bélgica |
|
Colombia |
Brunei Darussalam |
|
Costa Rica |
Canadá |
|
Croacia |
Dinamarca |
|
Dominica |
Eslovenia |
|
Estonia |
Emiratos Árabes Unidos |
|
Federación de Rusia |
Eslovaquia |
|
Fiji |
España |
|
Filipinas |
Estados Unidos de América |
|
Gabón |
Finlandia |
|
Granada |
Francia |
|
Guinea Ecuatorial |
Grecia |
|
Irán (República Islamica
del) |
Hungría |
|
Jamahiriya Árabe Libian |
Irlanda |
|
Kazajstán |
Islandia |
|
Letonia |
Islas Cook |
|
Líbano |
Israel |
|
Lituania |
Italia |
|
Malasia |
Japón |
|
Malta |
Kuwait |
|
Mauricio |
Luxemburgo |
|
México |
Mónaco |
|
Omán |
Nauru |
|
Palau |
Niue |
|
Panamá |
Noruega |
|
Polonia |
Nueva Zelanda |
|
República Àrabe Siria |
Países Bajos |
|
República Dominicana |
Portugal |
|
Rumania |
Qatar |
|
San Vicente y las Granadinas |
Reino Unido de Gran Bretaña e |
|
Santa Lucía |
Irlanda del Norte |
|
Serbia y Montenegro |
República Checa |
|
Sudáfrica |
República de Corea |
|
Swazilandia |
Saint Kitts y Nevis |
|
Tailandia |
San Marino |
|
Trinidad y Tobago |
Seychelles |
|
Túnez |
Singapur |
|
Turkmenistán |
Suecia |
|
Turquía |
Suiza |
|
Uruguay |
Tuvalu |
|
Venezuela |
Fuente:
Elaboración propia
con base en información de la oms (whosis, 2005).
Bibliografía
Babazono, Akira y Alan
Hillman (1994), “A comparison of international health outcomes and health care
spending”, Int J
Technol. Assess. Health Care,10 (3): 376-381.
Bartley, Mel (2004), Health Inequality, Blackwell
Publishing, Oxford, Reino Unido.
Bitran, Ricardo y Steven Block (1992), Provider Incentives and Productive Efficiency in
Government Health Services, Research Paper 1, Health Financing and Sustainability
Project.
Cooper, William, Lawrence Seiford
y Kaoru Tone (2000), Data
Envelopment Analysis: A Comprehensive Text with Models, Applications, Reference
and dea-Solver
Software, Kluwer Academic Publishers, Países
Bajos.
Evans David, Ajay Tandon,
Murray Christopher, Lauer Jeremy (2001), “Comparative Efficiency of National
Health Systems: Cross National Econometric Analysis”, BMJ, 323: 307-310.
Fare, Rolf, Shawna Grosskopf,
Mary Norris y Zhongyang Shang (1994), “Productivity
Growth, Technical Progress, and Efficiency Change in Industrialized Countries”,
The American Economic Review,
84: 66-83.
Filmer, Deon y Lant
Pritchett (1999), “The Impact of Public Spending on Health: Does Money
matter?”, Social
Science and Medicine, 49 (10): 1309-1323.
Gravelle, Hugh, Rowena
Jacobs, Andrew Jones y Andrew Street (2002), Comparing the Eficiency of
National Health Systems. A Sensitivity Analysis of the who Approach, The University of York, Centre
for Health Economics.
Greene, William (2004), “Distinguishing between
Heterogeneity and Inefficiency: Stochastic Frontier Analysis of the World
Health Organization’s Panel Data on National Health Care Systems”, Health Economics, 13: 959-980.
Halstead, Scott, Julia Walsh y Kenneth Warren (eds.)
(1985), Good
Health at Low Cost, Rockefeller Foundation, Nueva York.
Hsiao, William (2000), What should Macroeconomists know about Health Care
Policy? A Primer, imf Working Paper, International Monetary
Fund, Washington, D.C.
Mannion, Russell, Huw Davies y Martin Marshall (2003), Evidence on the Relationships Between Organisational Culture and Organisational
performance in the nhs. che Draft 1, junio,
The University of York, Centre for Health Economics, Reino
Unido.
Mathers, Colin, Ritu Sadana, Joshua Salomón, Christopher
Murray y Alan López. (2000), Estimates of dale
for 191 Countries: Methods and Results, World Health
Organization, Ginebra.
Mellor, Jennifer y Jeffrey Milyo
(2001), “Re-examining the Evidence of an Ecological Association between Income
Inequality and Health”, Journal
of Health Politics, Policy, and Law, 26 (3):
487-522.
Murray, Christopher y Julio Frenk
(1999), A who Framework for Health System
Performance Assessment, World Health Organization, Ginebra.
Navarro, Vicente (2002), “Can Health Care Systems Be
Compared Using a Single Measure of Performance?”, American Journal of Public Health, 92
(1): 31-34.
Oxley, Howard y Maitland MacFarlan
(1994), Health
Care Reform: Controlling Spending and Increasing Efficiency,
Organization for Economic Co-Operation and Development, Economics Department,
Working Papers 149, París.
Palmer, Stephen y David Torgerson
(1999), “Definitions of efficiency”, British
Medical Journal, 318 (7187):1136, marzo, documento pdf disponible en
<http://www.bmj.com/cgi/reprint/318/7191/1136.pdf>.
Retzlaff-Roberts,
Donna Cyril, F. Chang y Rose M. Rubin (2004), “Technical Efficiency in the Use
of Health Care Resources: A Comparison of oecd Countries”, Health Policy, 69: 55-72.
Smith, Peter (2002), “Composite Indicators of Health
System Performance”, en Peter Smith (ed.), Measuring up: Improving Health Systems Performance in oecd Countries, oecd, París, pp.
295-316.
Tangcharoensathien,Viroj y Jongkol Lertiendumrong (2000),
“Health-System Performance”, The Lancet, 356 (supplement 1): S31.
who (World Health
Organization) (2000), World
Health Report. World Health, Ginebra.
who (World Health
Organization) (2002), World
Health Report, World Health, Ginebra.
whosis (who Statistical Information System)
(2005), Core
Health Indicators, documento
html disponible en
<http://www.who.int/whosis/database/core/core_select.cfm, [consulta: enero-2005].
Wilkinson, Richard G., y Kate E. Pickett (2006),
“Income Inequality and Population Health: A Review and Explanation of the
Evidence”, Social
Science and Medicine, 62: 1768-1784.
Recibido: 25 de noviembre de 2005.
Reenviado: 28 de septiembre de 2006.
Aprobado: 26 de octubre de 2006.
Armando Nevárez Sida es maestro en economía por el Centro
de Investigación y Docencia Económicas (cide). Actualmente se desempeña
como investigador asociado B en el Instituto Mexicano del Seguro Social. Sus
principales líneas de investigación son evaluación económica en salud,
crecimiento económico y evasión fiscal. Entres sus publicaciones destacan:
“¿Evadir o pagar impuestos? Una aproximación a los mecanismos sociales del
cumplimiento” (en coautoría con Marcelo Bergman), Política
y Gobierno, xii (1): 9-40 (2005); “Do Audits Enhance Compliance? An Empirical Assessment of vat Enforcement” (en coautoría con Marcelo Bergman), Nacional
Tax Journal, 2006 Dec.,
59 (4): 753-75; “Cost-effectiveness of Chronic Hepatitis c
Treatment with Thymosin Alpha-1” (en coautoría con Fernando M. García
Contreras, Patricia Constantino-Casas, Abud Bastida y
Juan Garduño Espinoza), Archives of Medical Research,
37(5): 663-673 (2006).
Patricia Constantino Casas es maestra en Economía de la Salud en
el Centro de Investigación y Docencia Económicas (cide) y MPhil
en Health Sciences and Clinical Evaluation en la
Universidad de York, Reino Unido. Actualmente se desempeña como investigadora
de la Unidad de Investigación en Economía de la Salud, imss, y es miembro de la International Society
for Pharmacoeconomics and Outcomes Research. Su línea de
investigación actual corresponde a evaluaciones económicas de tecnologías para
la salud, farmacoeconomía, determinantes y
característica de la oferta y demanda de atención médica (polifarmacia,
maltrato en el anciano, desigualdad y bajo peso al nacer, barreras de
accesibilidad-cita previa, incapacidad para el trabajo, continuidad y calidad
en la atención médica). Entre sus publicaciones como coautora destacan: Socioeconomic
factors and low birth weight in Mexico
(en coautoría con Laura P. Torres Arreola, Sergio Flores Hernández, Juan Pablo
Villa Barragán y Enrique Rendón Macías), bmc Public
Health,
5: 20, (2005), documento en html disponible en
<http://www.biomedcentral.com/1471-2458/5/20>; “Direct
Medical Costs for Partial Refractory Epilepsy in Mexico”, Archives of
Medical Research, 37 (3): 376-83, (2006); “Estudio de las necesidades de
salud en atención primaria a través del diagnóstico de salud de la familia”, Aten
Primaria, 38 (7): 383-388
(2006); “Prescripción de certificados de incapacidad temporal en el imss.
Perspectiva desde la economía de la salud”, Revista
Medica del Instituto Mexicano del Seguro Social, 45 (1): 89-96 (2007).
Fernando
García Contreras es
maestro y candidado a doctor en ciencias médicas.
Actualmente se desempeña como investigador en la Unidad de Investigación en
Economía de la Salud, Instituto Mexicano del Seguro Social y como profesor de farmacoeconomía, Universidad Autónoma del Estado de
Morelos. Su línea de investigación se centra en farmacoeconomía
y economía de la salud. Entre sus publicaciones destacan: “Cost-effectiveness
of chronic hepatitis c Treatment with
thymosin alpha-1” (en coautoría con Armando Nevárez Sida, Patricia Constantino Casas, Abud Bastida y Garduño Espinoza),
Archives of Medical Research, 37(5): 663-673 (2006); “Direct Medical Costs for Partial Refractory
Epilepsy in Mexico”
(en
coautoría con Patricia Constantino-Casas et
al., [Journal Article, Multicenter Study] Archives
of Medical Research, 37(3): 376-83 (2006).