Comportamiento logístico de las empresas de manufactura
en Querétaro, México
Ovidio
González-Gómez*
Rossana
Nieto-López**
Resumen
Esta
investigación examina la relación entre tipo de procesos productivos y
prácticas logísticas en un área mexicana de reciente industrialización: el
corredor industrial San Juan del Río en el estado de Querétaro. Se considera
que el alcance de las relaciones comerciales define, junto con las formas de
organización de la producción, el tipo de práctica logística asumida por las
plantas industriales.
Palabras clave:
Querétaro, logística, manufactura, procesos productivos, industrialización.
Abstract
This
paper examines the relationship between production processes and logistic
practices in an area of recent industrialisation in
Mexico: the San Juan del Río industrial corridor in Queretaro State. It is
considered that the reach of commercial relationships together with the
different forms of production organisation, define
the kind of logistic practice adopted by different industrial plants.
Keywords: Queretaro, logistics, manufacture, production
processes, industrialisation.
*
Facultad de Ingeniería de la Universidad Autónoma de Querétaro, México.
Correo-e: ovidio@uaq.mx.
** Profesora en El Colegio de
Bachilleres del estado de Querétaro, México. Correo-e: ronielo@hotmail.com.
Introducción[1]
El proceso
globalizador, como quiera que se le defina, ha cambiado gran parte de los
comportamientos productivos y comerciales en la mayoría de las actividades
económicas, y el transporte no es la excepción. Actividades manufactureras
líderes, como las industrias automotriz y microelectrónica, muestran hoy en día
redes casi mundiales que permiten la reconstitución de un sinnúmero de
fragmentos productivos, muy vinculados funcionalmente, pero disgregados en el
territorio mundializado. Esta tendencia difundida en el mundo ejerce presión
sobre el traslado y distribución física de la mercancía.
Los cambios en
el tipo de organización de la producción (del fordismo
a la especialización flexible), la homogeneización de los patrones de consumo y
la relocalización de los procesos productivos que ocurrieron a lo largo de las
tres últimas décadas, llevaron al surgimiento de la logística, no sólo como un
campo de estudio sino, sobre todo, como una práctica socialmente aceptada y
como una actividad económica dentro de la organización de los procesos
productivos cuya importancia en términos económicos es indiscutible, pues
engloba la serie de actividades que reconstituyen el proceso productivo y que
convierten de forma competitiva el producto en mercancía en el mercado mundial,
y, además, en cuya ausencia no se cerraría el ciclo de rotación de capital a
escala mundial.
La mayoría de
los enfoques sobre el concepto de logística lo definen en relación con el
último eslabón de la cadena entre producción y consumo; siguiendo la definición
del Consejo de Administración Logística de Estados Unidos (clm, por sus siglas en inglés):
“Logística es el proceso de planeación, implementación y control eficiente y
eficaz de flujos y almacenamiento de bienes, servicios e información
relacionada, desde el punto de origen al punto de consumo” (Bowersox
y Closs, 1996).
En la práctica,
sin embargo, a lo largo de las últimas tres décadas los comercios intrafirma e intraindustria han
crecido de forma sostenida como resultado de la fragmentación de los procesos
productivos y de la relocalización de partes de la cadena productiva (Fröbel et al., 1977; Piore
y Sabel, 1984), ya sea hacia otros países centrales
industrializados o hacia países periféricos (Wallerstein,
1979). Así, la mayor parte de la mercancía en tránsito pertenece a los
eslabones productivos intermedios y, por lo tanto, la logística se encuentra
más en el ámbito de la administración del proceso productivo, en términos estrictos
(Tixier et al., 1988). Si bien los costos del
traslado de la mercancía se han incrementado en términos absolutos, su
participación relativa en los precios del producto final ha decrecido
notablemente, y, sobre todo, la posibilidad de utilizar mano de obra barata en
prácticamente cualquier parte del mundo, modifica las estrategias productivas
hacia un análisis de la estructura de costos del proceso productivo en su
totalidad y no atendiendo a, por ejemplo, los diferenciales en los fletes
exclusivamente.
El análisis
sobre el concepto de logística, o incluso la conveniencia del concepto centrado
en la demanda final (el consumo), o en la organización industrial relacionada
con la esfera de la producción, quedan fuera del alcance de este artículo. Pero
se considera importante aquí explorar algunos de los comportamientos reales
relacionados con las plantas manufactureras en lo que corresponde a la manera
en que estos actores económicos resuelven el posicionamiento espacio-temporal
de la mercancía, bien sea de consumo final o productivo.
Como resultado
del surgimiento de la logística, han aparecido nuevos actores que resuelven las
necesidades de esas redes productivas y comerciales de escala casi mundial.
Agentes de carga nacionales internacionales y multimodales, expertos logísticos
y otros más han ganado lugar en el movimiento de la mercancía en tiempo y
espacio.
Mientras que la
estructura industrial en México ha sido estudiada en forma concienzuda, existen
sólo algunos estudios empíricos relacionados con las prácticas de
transportación y logísticas de las firmas manufactureras (Antún,
1995). La decisión de las firmas manufactureras sobre la forma de
transportación es parte de las prácticas logísticas que, a su vez, se
consideran en esta investigación como parte de la estrategia logística de la
empresa.
El enfoque aquí
seguido se basa en la premisa de que la estrategia logística se expresa
claramente en la contratación de las empresas de transporte de acuerdo con un
conjunto de atributos considerados decisivos, y esos requerimientos se reflejan
en la forma en que la oferta de transporte responde a ellos. La integración
logística del transporte dentro de las cadenas de suministro y distribución
puede asumirse como una estrategia competitiva de las empresas de manufactura.
La investigación
sobre el tema ha puesto atención en las actividades más dinámicas que acaparan
los principales flujos mundiales de comercio: las industrias automotriz y
microelectrónica. Además, existe una considerable bibliografía sobre prácticas
logísticas dentro de los países centrales, Estados Unidos y Europa
principalmente, pero muy poca investigación se ha desarrollado sobre países
periféricos.
Como resultado
de ese sesgo en la investigación, ocurre fácilmente un error interpretativo cuando
se observa el traslape de los flujos internacionales y domésticos en un país
periférico, en el sentido de que pareciera que se observa una transición de lo
tradicional (prácticas correspondientes al fordismo:
sin recurrir a la organización logística) hacia lo globalizado (posfordista: con avanzada organización logística de la
producción). El error es similar, e incluso se deriva de la interpretación sin
crítica de los seguidores de los llamados “regulacionistas”
(Aglietta, 1976, principalmente) en América Latina (Gatto, 1990), a los que el modelo fordista
les parece total y tajantemente superado y desplazado por los tipos de
organización de la producción llamados por ellos “posfordistas”.
Así, para el
caso del transporte en México, por ejemplo, la introducción de tecnología de
punta en el seguimiento de la carga, el surgimiento de empresas logísticas, la
mejora selectiva de la infraestructura carretera y de los ferrocarriles, así
como la introducción de prácticas logísticas altamente sofisticadas en algunas
empresas, pueden aparecer como señales promisorias de un proceso armónico de
modernización que coadyuvan al desarrollo económico, asumiéndose que estas
mejoras incrementan las ventajas competitivas de la mayoría de las empresas
instaladas en México, en un mundo en feroz competencia.
Otras señales
económicas impiden, sin embargo, que esta conclusión valga para el caso
mexicano. Ante todo, la mayor parte de la actividad manufacturera –y sobre todo
la orientada a la exportación– parece que se dirigiera a la subcontratación de
muchos grupos transnacionales, tendencia que ha dado como resultado en México
un sistema productivo ampliamente desconectado. Y, segundo, luego de la
apertura económica en México (eliminación de las barreras a la importación,
liberalización de la inversión extranjera y el Tratado de Libre Comercio de
América del Norte, tlcan),
se rompieron las cadenas productivas desarrolladas a lo largo de los 40 años
proteccionistas previos y que incorporaban en circuitos, en gran medida
endógenos, a las empresas de diferente tamaño.
Por tanto, y
ésta es la premisa de la que aquí se parte, es más certera la observación de
los cambios en las actividades económicas en México como un traslape de varios
tipos de procesos productivos, algunos de ellos muy avanzados en términos
tecnológicos (de acuerdo con los mercados mundializados), mientras otros
parecen constreñidos a los marcos organizativos tradicionales, sin mejorar su
tecnología, pues sus fracciones de mercado se reducen. No se trata, sin
embargo, de la coexistencia separada de varias formas de organización de la
producción, ni de maneras separadas de trasladar la mercancía, sino de su
combinación necesaria para la readecuación del modelo de acumulación de
capital.
Ese desigual
desarrollo del sistema productivo en México impide que se generalicen los
beneficios de la administración logística, que supuestamente afectarían de
manera positiva a todo el sistema económico.
1. Objetivos
En el marco de un
proyecto de investigación más amplio que persigue explicar la relación entre
accesibilidad y prácticas logísticas, por un lado, y la localización
industrial, por otro, en el estado de Querétaro, este artículo ofrece analizar
los comportamientos logísticos de las plantas manufactureras en esa entidad.
Se eligió
Querétaro por varias razones: la principal reconoce el surgimiento en los
últimos 15 años de un proceso de industrialización cuya espacialidad recae en
algunas de las ciudades medias y otras pequeñas (Ramírez y Arias, 2002), lo que
cuestiona las interpretaciones tradicionales sobre el proceso de
industrialización, sus hábitos de localización y sus comportamientos de
interrelación con otros lugares. Así, en este estudio, los rasgos geográficos
de esa región y su dinámica industrial exógena son las principales
consideraciones.
No ha escapado a
la literatura sobre desarrollo regional y urbano (Delgado, 1998; González y
Osorio, 2000 y 2001, entre otros), así como a la referida al transporte de
mercancías (González y González, 1990 y 1992), la importancia y peculiaridad de
Querétaro en el mapa nacional, lo que explica su dinámica industrial acelerada
y en parte correspondiente a las cadenas mundializadas de producción.
Por tanto, el
objetivo es doble: por un lado, construir una tipología de firmas
manufactureras que pueda dar cuenta de las diferencias en procesos productivos,
y, por otro, probar que esa tipología es adecuada para estudiar las prácticas
logísticas en el caso específico de las industrias en Querétaro.
Al indagar sobre
la forma en que las empresas manufactureras seleccionan las empresas que
movilizan su mercancía y el control que tienen de su programación, se pretende
tener un conocimiento menos ideologizado sobre los comportamientos logísticos
en la mundialización que los que se pueden derivar del enfoque regulacionista. Adicionalmente, la indagación sobre la
percepción de las empresas manufactureras en relación con las de transporte debe mostrar los resultados de
la “externalización” de los requerimientos de la producción mundializada en la
esfera de la circulación de mercancías.
Lo anterior se
pretende lograr mediante, primero, la construcción de tipos ideales weberianos en los comportamientos logísticos de las
empresas cuyas diferencias en tipos de organización de producción deben verse
reflejadas en los distintos agrupamientos por rama, tamaño y alcance de
mercado.[2]
Posteriormente se contrastan esos tipos ideales con los resultados de una
encuesta no estratificada en torno a los comportamientos logísticos. Por último
se reinterpretan y reconstruyen los tipos ideales.
2. Comportamientos
logísticos de la manufactura en Querétaro de Arteaga
El gobierno
federal mexicano llevó a cabo una estrategia de desconcentración industrial que
perseguía el decremento de la localización industrial de las ciudades más
pobladas (principalmente la Ciudad de México), e impulsó la localización
industrial en las llamadas ciudades medias, como Santiago de Querétaro.
Adicionalmente,
las nuevas plantas manufactureras que querían instalarse en el país buscaron
lugares donde los salarios fuesen bajos y el sindicalismo débil, y con
infraestructura y servicios de transporte adecuados, y donde la congestión
urbana y las demoras fueran mínimas, alejándose así de las grandes
conglomeraciones urbanas.
Sobre todo como
resultado de estas dos tendencias concurrentes, la actividad industrial creció
rápidamente en Querétaro durante las últimas dos décadas (González-Gómez y Martner-Peyrelongue, 1990).
La posición
geográfica de ese estado y su posición relativa dentro de las principales redes
de transporte terrestre, otorgan a esa región una ventaja competitiva
(González-Gómez 1994; González-Gómez y González, 1992) tanto en términos del
mercado interno, aún atractivo pero en decremento, como en términos de los
flujos comerciales internacionales desde el corazón económico de México hacia
Estados Unidos. Esta característica imprime un perfil dual a esa región: como
un territorio dedicado a producir partes de la fábrica mundial, bastante
similar a las regiones fronterizas mexicanas del norte (González, 2005), y, al
mismo tiempo, como un territorio de procesos productivos de alcance doméstico,
cercano al comportamiento de las ciudades industriales mexicanas tradicionales.
Finalmente, la
actividad industrial del estado se concentra no sólo en su capital, Santiago de
Querétaro, sino también a lo largo del corredor industrial que sigue la
carretera federal 57, que conecta a la Ciudad de México con la ciudad
fronteriza de Nuevo Laredo. Este patrón de localización industrial en corredor
está creciendo; su inicio coincidió con
la apertura económica del país, desde la segunda mitad de la década de los años
ochenta, y fue reforzada después de la puesta en marcha del tlcan.
Después del tlcan en 1994,
las actividades económicas relacionadas con las cadenas productivas
internacionales recibieron un notable impulso. México se convirtió en un lugar
muy adecuado para la localización de fragmentos de empresas transnacionales, ya
fuera de capital de Norteamérica o de países fuera del subcontinente. Querétaro
en particular, ha sido desde entonces también receptor de ese tipo de plantas
industriales.
La estrategia
industrial del gobierno para atraer capital con el fin de externalizar algunas
de sus actividades productivas a países periféricos, ha sido cuestionada desde
diferentes perspectivas. Uno de esos cuestionamientos es la duda sobre si la
oferta de transporte puede responder eficientemente a las expectativas de
calidad de servicio.
Para develar las
prácticas logísticas en Querétaro de Arteaga, se consideró necesario analizar
las empresas industriales. El gobierno estatal realiza un inventario de las
empresas manufactureras. Ese registro abarca todas las unidades económicas que
llevan a cabo cualquier tipo de actividad de manufactura. Se estratifica el
tamaño de la planta, de acuerdo con el Instituto Nacional de Estadística
Geografía e Informática (inegi), en empresas micro, pequeña, mediana y
grande (en el territorio queretano no hay las plantas macro). Se realizó una
muestra estratificada por tamaño y rama de las 2,388 empresas detectadas en el
registro.[3]
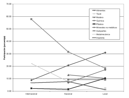
Por rama, la
estructura muestra una fuerte presencia de la industria de autopartes, aun sin
que existan plantas ensambladoras finales de la industria automotriz en el
estado o cerca de él. Una de cada tres plantas ubicadas en Querétaro se dedica
a esa industria mundializada. La otra presencia fuerte es alimentos, bebidas y
tabaco, que puede ser considerada, en términos generales, de alcance local,
cuando el tamaño es micro o pequeña y nacional, si es mediana o grande.
La primera
preconcepción, que las empresas mundializadas muestran relaciones comerciales
de alcance internacional, se valida cuando se observa la respuesta en torno a
los flujos internacionales. Alrededor de 58% de los movimientos internacionales
tienen origen o destino en la industria de autopartes (cuadro 1), muy por
encima de su participación en la estructura industrial, 29.55%. Asimismo, esta
industria muestra una participación en embarques nacionales que también es
mayor que su participación en la estructura industrial, mientras que su
participación en embarques locales es algo menor. Lo anterior evidencia no
solamente la orientación internacional de la industria de autopartes, sino
también una densidad de embarques por empresa mayor que el promedio. Se observa
un patrón similar para la metalmecánica, cuya participación en embarques
internacionales llega a ser 10 veces mayor que su presencia en términos de
número de plantas, y no registra embarques locales. En el caso de Querétaro,
estas dos industrias muestran una clara tendencia hacia el alcance
internacional (gráfica i)
Cuadro 1
Distribución de
plantas manufactureras y flujos de mercancías en el estado de Querétaro de
Arteaga por rama, 1999 (Porcentajes)
|
Número de plantas |
Embarques |
|||
|
Internacional |
Nacional |
Local |
||
|
Alimentos, bebidas y
tabaco |
27.27 |
8.89 |
20.77 |
31.03 |
|
Textil y del vestido |
4.55 |
2.22 |
0.77 |
2.3 |
|
Madera |
11.36 |
13.08 |
10.34 |
|
|
Química |
9.09 |
9.23 |
9.2 |
|
|
Hule y plásticos |
4.55 |
2.22 |
1.54 |
10.34 |
|
Minerales no metálicos |
9.09 |
6.92 |
17.24 |
|
|
Autopartes |
29.55 |
57.78 |
31.54 |
18.39 |
|
Metalmecánica |
2.27 |
22.22 |
7.69 |
|
|
Imprenta y edición |
2.27 |
6.67 |
7.69 |
1.15 |
|
Total |
100 |
100 |
100 |
100 |
Fuente: Elaboración propia con base en encuesta original.
Gráfica i
Alcance de
embarques por rama (porcentaje)

Fuente: Elaboración propia.
Sobre las mismas
bases se valida la segunda preconcepción; esto es, que las empresas no
mundializadas tienen relaciones comerciales principalmente a escala local.
Aunque 27.27% del total de las empresas pertenece a la rama de alimentos,
bebidas y tabaco, sólo 8.89% de los embarques internacionales corresponden a
estas industrias. Se observa que el alcance de mercado de éstas es claramente
local. Alcance similar se observa en el caso de minerales no metálicos.
Se derivan
cuatro patrones de alcance del análisis de la actividad industrial. El primero,
de orientación internacional, muestra una participación en los embarques de
carga mayor en el alcance internacional que en el nacional, y éste, en turno,
mayor que el local. Este patrón abarca autopartes y metalmecánica.
El segundo
patrón muestra el comportamiento opuesto, centrado en movimientos locales
principalmente. Este patrón comprende alimentos, bebidas, tabaco y minerales no
metálicos. El primero de ellos pertenece, obviamente, al último eslabón de la
distribución final, y el segundo está relacionado estrechamente con la
industria de la construcción, de alcance local. El tercer patrón, cuyos flujos
pertenecen al mercado doméstico (nacional y local), se conforma por madera y
química. Y, finalmente, el cuarto no muestra una orientación clara en alcance
de mercado, y agrupa las ramas textil y del vestido, hule y plástico, e
imprenta y edición.
Cualquier
negocio con algún proceso de manufactura está tomado en cuenta en la fuente de
información utilizada, y se incluye, por tanto, a muchas empresas cuyas
actividades de transporte difícilmente se considerarían de naturaleza logística
en la literatura: carpinterías, talleres, tortillerías, panaderías e imprentas.
Por esta razón, 75% de las empresas son micro (cuadro 2) y aproximadamente 15%
son pequeñas; mientras que medianas y grandes son 5%, cada una.
Cuadro 2
Distribución de
empresas manufactureras y flujos de mercancía en Querétaro de Arteaga por
tamaño, 1999 (porcentajes)
|
Empresas |
Embarques |
|||
|
Internacional |
Nacional |
Local |
||
|
Micro |
75.41 |
13.33 |
26.92 |
45.98 |
|
Pequeña |
14.39 |
8.89 |
33.08 |
39.08 |
|
Mediana |
4.57 |
33.33 |
13.08 |
5.75 |
|
Grande |
5.62 |
44.44 |
26.92 |
9.2 |
|
Total |
100 |
100 |
100 |
100 |
Fuente: Elaboración propia con base en encuesta original.
Se detectan dos
comportamientos diferenciados en el análisis de las empresas por tamaño. Las
empresas micro y pequeñas, tal como sería de esperarse en una región no
desarrollada tecnológicamente como Querétaro, hacen negocios principalmente a
escala local (gráfica ii), como lo
detecta Emilio Zeballos (2003: 55-57) al analizar las
empresas pequeñas y medianas en el ámbito de América Latina. Sin embargo, en
Querétaro las empresas medianas tienen comportamientos más cercanos a las
grandes, pues están conectadas sobre todo con mercados internacionales.
Gráfica 2
Alcance de
embarques por tamaño de planta (porcentaje)

Fuente: Elaboración propia con base en encuesta original.
Al combinar las
dos características analizadas, resulta una matriz conceptual de cuatro
renglones por alcance (principalmente internacional, indiferenciada,
principalmente nacional y principalmente local) y dos columnas por tamaño
(grandes y medianas, y pequeñas y micro) (cuadro 3). Por el momento, no existen
empresas en el estado que pertenezcan a dos de las celdas de esta matriz.
Cuadro 3
Tipología de
comportamiento logístico
|
Tamaño de empresa |
|||
|
Grandes y medianas |
Pequeñas y micro |
||
|
Principalmente internacionales
Indiferenciadas |
· Autopartes · Metalmecánica · Textil · Imprenta · Plásticos |
A C (vacías) |
B D |
|
Principalmente nacionales |
·
Madera ·
Química |
E (vacías) |
F |
|
Principalmente locales |
·
Alimentos ·
Minerales no metálicos |
G |
H |
Fuente: Elaboración propia.
Con el
desarrollo de las prácticas logísticas, las actividades de transporte han sido
progresivamente separadas del ámbito directo de la producción. Ello no quiere
decir que las empresas manufactureras pierdan el control sobre el transporte.
Precisamente ha ocurrido lo contrario. Una empresa mundializada exitosa puede
externalizar sus requerimientos y seleccionar sólo a aquellas empresas de
transporte o de servicio logístico que garanticen la calidad necesaria.
Con esto en
mente, se pueden construir los comportamientos ideales esperados de los dos
extremos de esta tipología. Por un lado, se espera que las empresas grandes y
medianas de autopartes y metalmecánica, tipo A, externalicen sus requerimientos
de transporte contratando agentes de carga o empresas de transporte de alta
tecnología, y prácticamente ninguna actividad de transporte se espera que sea
llevada a cabo por la empresa manufacturera.
Por otro lado,
se espera que aquellas empresas pequeñas y micro de la industria de alimentos,
bebidas y tabaco, o de minerales no metálicos, tipo H, realicen por cuenta
propia su transportación o contraten empresas de transporte, pero sin
externalizar sus requerimientos, así como se ha llevado a cabo esta actividad
tradicionalmente.
Se espera que
los otros comportamientos logísticos estén entre estos dos extremos. Cuando el
alcance de mercado se reduce, el comportamiento logístico debe alejarse del
comportamiento logístico idealmente mundializado y acercarse al comportamiento
tradicional. Se espera que las empresas pequeñas y micro, ceteris paribus,
tengan un comportamiento tradicional. Se consideran excepcionales, por
supuesto, aquellas empresas pequeñas (incluso micro) asociadas con procesos
productivos mundializados. Cabe mencionar que esta diferenciación se aborda
poco en la bibliografía reciente sobre las pequeñas y medianas empresas (Pymes)
pues la mayor parte de los autores ven el tamaño directamente asociado con el
alcance de mercado y, en ese sentido, las Pymes son consideradas como
pertenecientes a los procesos endógenos e incluso locales (Zeballos,
2003: 54)
3. Selección de
empresas transportistas
Se preguntó a los
administradores encuestados no sólo acerca de las características geográficas
de los flujos de mercancía, sino también sobre el actor específico que maneja
la carga o es responsable del embarque. Se clasificó a los actores por tipo
(agentes de carga, transportistas y otros no transportistas) y, en el caso de
las empresas de transporte, también por nacionalidad y tamaño.
Los datos
recabados parecen validar la tipología anterior. Las empresas tipo A,
internacionales en orientación de mercado y relativamente grandes, para
resolver sus servicios internacionales recurren en lo fundamental a un agente
de carga o a una empresa transportista de alta calidad de servicio, 90.64%
(cuadro 4), y ninguno de los embarques lo realiza la propia empresa de
manufactura.
Cuadro 4
Decisión sobre
el porteador, por comportamiento logístico y alcance del embarque (porcentaje)
|
Tipo de porteador (porcentaje) |
||||||||||||
|
Agente de
carga |
De EUA |
Mexicana grande |
Mexicana mediana |
Mexicana pequeña |
Paquetería |
Proveedor |
Cliente |
Por la empresa |
No hay datos |
Total |
||
|
A |
Int |
28.13 |
18.75 |
40.63 |
3.13 |
6.25 |
3.13 |
100 |
||||
|
Nal |
4.88 |
26.83 |
56.1 |
4.88 |
2.44 |
2.44 |
2.44 |
100 |
||||
|
Loc |
30 |
20 |
30 |
10 |
10 |
100 |
||||||
|
B |
Int |
50 |
25 |
25 |
100 |
|||||||
|
Nal |
30 |
10 |
10 |
10 |
40 |
100 |
||||||
|
Loc |
7.69 |
61.54 |
30.77 |
100 |
||||||||
|
D |
Int |
20 |
20 |
20 |
20 |
20 |
100 |
|||||
|
Nal |
15.38 |
69.23 |
7.69 |
7.69 |
100 |
|||||||
|
Loc |
100 |
100 |
||||||||||
|
F |
Int |
|||||||||||
|
Nal |
13.79 |
27.59 |
3.45 |
3.45 |
44.83 |
6.9 |
100 |
|||||
|
Loc |
5.88 |
11.76 |
82.35 |
100 |
||||||||
|
G |
Int |
66.67 |
33.33 |
100 |
||||||||
|
Nal |
9.09 |
9.09 |
36.36 |
9.09 |
36.36 |
100 |
||||||
|
Loc |
66.67 |
33.33 |
100 |
|||||||||
|
H |
Int |
100 |
100 |
|||||||||
|
Nal |
15.38 |
11.54 |
3.85 |
42.31 |
26.92 |
100 |
||||||
|
Loc |
10.26 |
30.77 |
58.97 |
100 |
||||||||
|
Int |
26.67 |
13.33 |
37.78 |
4.44 |
6.67 |
4.44 |
2.22 |
4.44 |
100 |
|||
|
Nal |
12.31 |
11.54 |
19.23 |
15.38 |
13.85 |
3.08 |
20 |
4.62 |
100 |
|||
|
Loc |
8.05 |
18.39 |
5.75 |
60.92 |
6.9 |
100 |
||||||
Fuente: Elaboración propia con base en encuesta original.
Deben resaltarse
dos características más de ese comportamiento. Los embarques de alcance
nacional no los hacen principalmente empresas grandes y, por tanto,
tecnológicamente avanzadas, como sería de esperarse, sino pequeñas empresas
mexicanas. La explicación para esta aparente discrepancia reside en las
características del mercado doméstico de transporte en México, dominado en
precio y condiciones claramente por los consumidores de este servicio desde la
desregulación de 1989, a partir de la cual las tarifas no están controladas ni
se otorgan concesiones de exclusividad por ruta, lo que ha llevado a una aguda
competencia entre empresas transportistas y a un mercado dominado por los
clientes. Uno de los gerentes entrevistados afirma que prefiere para este tipo
de viajes a las empresas de tamaño mediano porque, aunque sus características
tecnológicas no sean las óptimas, proveen un alto nivel de servicio ante el
riesgo de perder los contratos subsiguientes, y el precio con ellas puede ser
negociado en condiciones ventajosas.
La otra
característica notable aquí es la presencia de la organización de la producción
de tipo cliente-proveedor, también a partir del proceso de mundialización. Clientes
o proveedores fueron reportados por los encuestados como responsables de una
parte no trivial de los embarques internacionales (6.25%), una pequeña parte de
los nacionales (4.88%) y una relativamente grande parte de los embarques
locales (50%). Esto no quiere decir que clientes o proveedores por sí mismos
realicen esta actividad; con seguridad contratan empresas transportistas para
ello. Pero el punto es que ellos son responsables del control sobre esta
actividad y el entrevistado no está al tanto de su resolución. Este hecho
muestra una de las características del esquema cliente-proveedor, donde cada
planta es responsable de sólo una parte muy claramente definida del proceso
productivo en su conjunto.
Las empresas
pequeñas y medianas de autopartes y metalmecánicas, tipo B, muestran un
comportamiento polarizado. Confían básicamente en empresas transportistas
grandes para sus embarques internacionales, mientras realizan por sí mismas
todos los embarques nacionales y locales. La presión que ejerce la industria
automotriz en estas empresas las obliga a estar muy al pendiente de la
oportunidad en la entrega. Sin embargo, por su tamaño, y para no perder el
control sobre los estándares de entrega, contratan empresas de alta tecnología
o llevan a cabo por sí mismas el transporte.
Para adecuarse a
estos requerimientos de calidad y a las expectativas de entrega, dentro de las
limitantes de presupuesto de estas empresas, el único porteador disponible para
ellas es el servicio de paquetería.
En Querétaro,
las empresas pequeñas y micro de las ramas textil, imprenta y plásticos
muestran una tendencia de integración al proceso de mundialización. Por esta
razón, estas empresas, tipo D, tienen un comportamiento logístico bastante
similar al de las tipo B.
Consideramos aquí
que esto es sólo una tendencia, pues existen diferencias significativas con las
empresas tipo B. Los embarques internacionales se distribuyen equitativamente
entre los diferentes tipos de porteadores, los servicios de paquetería son los
principales porteadores de los embarques nacionales, y los movimientos locales
los hace la propia empresa.
Las empresas
grandes y medianas de las ramas alimentos y minerales no metálicos, agrupadas
en el tipo G, parecen tener ya asumidos los modernos procedimientos logísticos,
recurriendo fuertemente al esquema cliente-proveedor para los embarques
nacionales y a las empresas de alta tecnología para los internacionales. Al
mismo tiempo, sin embargo, la mayoría de los embarques locales los realiza la
propia empresa.
Finalmente, las
empresas pequeñas y micro de las ramas anteriores, tipo H, no muestran el mismo
comportamiento logístico descrito antes. A pesar de que una proporción muy
grande de los embarques locales (los más recurrentes en este grupo) los hace la
misma empresa, algunos pocos internacionales se resuelven contratando un agente
de carga. Adicionalmente, los proveedores son responsables de la mayor parte de
los viajes de alcance nacional. El primer rasgo observado concuerda con un
comportamiento “tradicional”, mientras lo otros dos
concuerdan más con una administración logística “moderna”.
4. Percepción de la
industria sobre el desempeño de los proveedores de transporte
La competencia en
el mercado de transporte, surgida a partir de las profundas transformaciones en
el marco regulatorio mexicano después de 1989, produjo una diferenciación en la
calidad de servicio que ha segmentado la oferta.
El cambio
tecnológico hacia la modernización del equipo y hacia la mejora en técnicas de
rastreo de los embarques, de ruteo y de programación de entregas no ha
alcanzado, sin embargo, todo el abanico de la oferta de servicios de transporte
en México. De hecho, sólo una pequeña proporción de las empresas de transporte
puede ser considerada con estándares internacionales de calidad.
De esta forma,
los varios segmentos de la oferta de transporte se dedican a atender los
diversos requerimientos de la demanda. Sin embargo, las expectativas en calidad
de servicio por parte de la demanda de traslado de la mercancía han alcanzado
la mayor parte de los segmentos de demanda.
Por otro lado,
las empresas de manufactura de carácter mundial contratan no sólo empresas de
transporte de alta tecnología; para sus múltiples embarques nacionales o
locales contratan las empresas disponibles en el mercado.
La carencia de
empresas de transporte con alta calidad de servicio en el ámbito local y la
persistencia de empresas de manufactura de alcances local y nacional que no
tienen altos requerimientos tecnológicos para sus traslados, desde el punto de
vista económico, pero que están conscientes de las diferencias en las
características de calidad en el servicio, resultan de la hipótesis de que las
empresas tipo A debieran estar satisfechas con el desempeño de la oferta de
alcance internacional, pero insatisfechas con la respuesta de la oferta de
transporte local e incluso nacional. En el otro extremo de la tipología, las
empresas tipo H no estarían atentas al desempeño de las empresas de transporte
de alcance internacional y debieran estar satisfechas con la respuesta local.
Esta hipótesis
no se confirma en las calificaciones que dieron los gerentes de las empresas de
manufactura (de 0 a 10) sobre diferentes atributos del desempeño real de la
oferta de transporte utilizada (cuadro 5). En general, las calificaciones son
bastante altas, lo que expresaría un desempeño satisfactorio, con la única
excepción de las calificaciones otorgadas por las empresas tipo D.
Cuadro 5
Promedio de
calificaciones sobre los atributos del embarque, por rama de actividad
|
A |
B |
D |
F |
G |
H |
Total |
||
|
Costo |
Int |
8.33 |
8 |
6 |
8 |
9 |
7.92 |
|
|
Nal |
8.33 |
10 |
6.75 |
9.6 |
8 |
8.5 |
8.48 |
|
|
Loc |
9.67 |
10 |
4.5 |
9.5 |
8 |
9.4 |
8.96 |
|
|
Tiempo |
Int |
7.83 |
8.67 |
7 |
9 |
10 |
8.07 |
|
|
Nal |
7.83 |
9 |
6.25 |
8.75 |
9 |
7.33 |
7.79 |
|
|
Loc |
8.33 |
9 |
4 |
8.67 |
9.5 |
9.1 |
8.5 |
|
|
Disponibilidad |
Int |
9.17 |
7 |
8.33 |
8 |
9 |
8.54 |
|
|
Nal |
9.33 |
10 |
8.25 |
9.75 |
9.5 |
8.5 |
9.08 |
|
|
Loc |
9 |
9 |
6 |
9 |
9.5 |
9.3 |
8.91 |
|
|
Confiabilidad |
Int |
8.17 |
8.33 |
7.67 |
8 |
10 |
8.21 |
|
|
Nal |
8 |
10 |
7.75 |
8.5 |
8.5 |
9.33 |
8.58 |
|
|
Loc |
8.67 |
4.5 |
7 |
8 |
9.5 |
8.4 |
8 |
|
|
Seguimiento de la |
Int |
8.17 |
8.5 |
7.33 |
9 |
8 |
8.08 |
|
|
carga |
Nal |
8.17 |
5 |
7.25 |
7.25 |
7 |
5.67 |
6.87 |
|
Loc |
8 |
4 |
6 |
6.67 |
10 |
4.33 |
5.65 |
|
|
Tamaño de la |
Int |
7.33 |
10 |
8.5 |
10 |
5 |
7.82 |
|
|
empresa de |
Nal |
7.5 |
5 |
6.5 |
6 |
5.5 |
4 |
5.83 |
|
transporte |
Loc |
8 |
4 |
3 |
6.67 |
7.5 |
3.6 |
5.05 |
|
Condiciones físicas |
Int |
9 |
6.5 |
8.67 |
8 |
8 |
8.38 |
|
|
del equipo |
Nal |
9.17 |
4 |
7 |
7.25 |
9 |
6.67 |
7.42 |
|
Loc |
9.33 |
4 |
6.5 |
7.33 |
9.5 |
7.1 |
7.32 |
Fuente: Elaboración
propia con base en encuesta original.
Sin embargo, un
análisis más profundo de los resultados parece apoyar una diferencia más
compleja en la percepción sobre el desempeño de la oferta.
No debe
considerarse el costo como un atributo de la oferta –más adecuadamente es la
expresión económica de la manera en que se resuelve el mercado–. Ciertamente,
las empresas que asumen tener un sistema logístico valoran los sistemas de
transporte más en términos de sus atributos que de su costo. Buscan un oferente
que provea no sólo servicios específicos, sino también que cumpla sus
requerimientos en tiempo, frecuencia y disponibilidad.
El costo de los
embarques internacionales lo califican como adecuado las empresas tipo A, B, G
y H. Muy probablemente, la calificación promedio está sesgada por los valores
de las industrias más representativas: de autopartes y de alimentos y bebidas,
que ya han adquirido suficiente experiencia y poder en la negociación de los
embarques internacionales, independientemente del tamaño de la empresa. Otras
ramas en Querétaro, incluidas en las de tipo D y G, no hacen uso de embarques
internacionales o lo consideran muy costoso.
En general, los
otros dos alcances de embarques, nacionales y locales, recibieron buenas
calificaciones en costo. Se puede notar, también, que las empresas dentro de
los tipos B
y H otorgaron mejores calificaciones que las de los tipos A y G, que
comprenden, respectivamente, las mismas ramas, lo que muestra la mayor
preocupación de las grandes y medianas por sus estructuras de costo.
Se mantiene la
misma conclusión para las empresas tipo F. La única excepción notable, de
nuevo, es el tipo D. No se puede construir una explicación para esta diferencia
con los datos recabados, y se requeriría mayor investigación en este tema
específico.
Los atributos
relevantes del desempeño considerados aquí son tiempo, disponibilidad, confiabilidad, seguimiento
de la carga y condición
física del equipo.
Se observa un
patrón en las calificaciones para seguimiento de la carga y condición
física del equipo, en
el cual las empresas tipos A y G otorgaron mayores calificaciones a ambos
atributos, mientras que las tipo B y H –micro y pequeñas– las califican entre
regular y pobre. Esto sugiere que algunas compañías de transporte han logrado
condiciones adecuadas en estos atributos para cumplir con los requerimientos
mundializados de las empresas grandes, mientras que el servicio ofrecido por
las compañías de alcances nacional y local se maneja todavía en una forma tradicional,
con pobre desempeño.
No se puede
detectar un comportamiento consistente para las calificaciones sobre tiempo, que es una característica en gran
medida fuera del control del desempeño de las empresas de transporte y depende
más de la infraestructura para el transporte. Tampoco pueden delinearse
diferencias entre las calificaciones para disponibilidad, confiabilidad y tamaño de la
firma.
Conclusiones
Parece haber
suficiente evidencia para apoyar la hipótesis de que la introducción de las
prácticas mundializadas en la manufactura localizada en Querétaro de Arteaga ha
conducido al desarrollo de varios requerimientos logísticos diferentes que
muestran comportamientos logísticos diversos. Esta conclusión apoya, entonces,
una interpretación de yuxtaposición de diferentes formas de organización de la
producción en la planta manufacturera instalada en México, más que un recambio
a la manera de la interpretación regulacionista sobre
el “posfordismo”.
En este artículo
se muestran algunas características de tales comportamientos diversos. La
tipología propuesta parece ser útil para analizar prácticas logísticas y da
algunas pistas que indican cómo la oferta actual de transporte está segmentada,
no sólo en términos de precio sino también en cuanto a calidad de servicio.
La otra
conclusión importante es que la industria muestra comportamientos logísticos
diversos como resultado de la combinación de dos variables: tamaño de la
empresa y rama de actividad. Por tanto, la oferta se segmenta como respuesta a
esta diferenciación en la demanda.
Sin embargo, los
límites entre comportamientos logísticos no son nítidos. Así, los consumidores
de transporte, las empresas de manufactura, no contratan empresas sólo de su
segmento esperado, sino también de algunos otros.
Finalmente,
todavía es verdad (como énfasis) que las empresas grandes despliegan mayores
alcances de mercado en sus relaciones productivas, y que las pequeñas están más
orientadas hacia el mercado local. El alcance de las relaciones económicas
exhibe una coincidencia notable con las características tecnológicas de las
empresas de transporte, mientras más amplio es el alcance, mayor tecnología le
corresponde. Sin embargo, la aparición de empresas pequeñas, e inclusive micro,
que interactúan en las cadenas productivas mundiales distorsiona, hasta cierto
grado, esta simple dicotomía.
Bibliografía
Aglietta, Michel (1976), Regulación
y crisis del capitalismo,
Siglo xxi, México.
Alarcón, Cecilia
y Giovanni Stumpo (2001), “Políticas para pequeñas y
medianas empresas en Chile”, Revista de la cepal, Santiago de Chile, agosto, 74:
175-194.
Antún Callaba, Juan Pablo (1995), Logística:
una visión sistémica,
imt San Fandila, México.
Bowersox, Donald y
David Closs (1996), Logistical Management. The Integrated Supply Chain
Process, McGraw–Hill, Nueva York.
Delgado, Javier
(1998), Ciudad-región y transporte en el México central, un
largo camino de rupturas y continuidades (1998), Instituto de Geografía y Programa Universitario
de Estudios sobre la Ciudad, Universidad Nacional Autónoma de México, México.
Fröbel, Folker,
Jürgen Hienrichs y Otto Kreye
(1977), The New
International Division of Labor, Siglo
xxi, México.
Gatto, Francisco (1990), “Cambio
tecnológico neofordista y reorganización productiva.
Primeras reflexiones sobre sus implicaciones territoriales”, en Francisco
Alburquerque Llorens, Carlos A. de Matos y Ricardo Jordán Fuchs
(coords.), Revolución tecnológica y
reestructuración productiva: impactos y desafíos territoriales, ilpes/onu, Buenos Aires, pp. 55-102.
González Gómez
Carmen Imelda y Lorena Osorio (2000), Cien años de industria en
Querétaro, Universidad
Autónoma de Querétaro-Secretaría de Desarrollo Sustentable, Gobierno del
Estado, Querétaro.
González Gómez
Carmen Imelda y Lorena Osorio (2001), La industria en Querétaro,
polarización y desarrollo,
uaq-supauaq. México.
González-Gómez,
Ovidio (2005), Territorio de la producción
mundial, la Frontera Norte,
Universidad Autónoma de Querétaro, Querétaro, México.
González-Gómez,
Ovidio y Carlos Martner-Peyrelongue (1990),
“Querétaro, ciudades fragmentadas”, Ciudades, Red Nacional de Investigación
Urbana, México, abril-junio, 6: 23-30.
González-Gómez,
Ovidio y Carmen Imelda González Gómez (1990), Transporte
en Querétaro en el Siglo xix, Instituto Mexicano del Transporte-Gobierno
del Estado de Querétaro, México.
González-Gómez,
Ovidio y Carmen Imelda González Gómez (1992), Transporte
en Querétaro en el Siglo xx,
surgimiento y desarrollo del autotransporte, Instituto Mexicano del Transporte-Gobierno del Estado
de Querétaro, México.
González-Gómez,
Ovidio et al.,
(1994), Subsistema de ciudades en el estado de Querétaro, Consejo Estatal de Población,
Querétaro, México.
Piore, Michael y Charles Sabel (1984), The Second Industrial Divide: Possibilities for Prosperity,
Basic Books, Nueva York.
Ramírez, Blanca
y Patricia Arias (2002), “Hacia una nueva rusticidad”, Ciudades, Puebla, México, abril-junio, 54:
9-14.
Tixier, Daniel, Hervè
Mathe y Jacques Colin
(1988), La
logistique
au service de l’entreprise,
Dunod, París.
Wallerstein, Immanuel
(1979), The
Capitalist World Economy, Cambridge University Press, Cambridge.
Zevallos, Emilio
(2003), “Micro, pequeñas y medianas empresas en América Latina”, Revista
de la cepal, Santiago de Chile, abril, 79: 53-70.
Recibido: 24 de febrero de 2006.
Reenviado: 29 de mayo de 2006.
Reenviado: 28 de septiembre de 2006.
Aprobado: 9 de octubre de 2006.
Ovidio González Gómez es doctor en ciencias sociales por la Universidad de
Guadalajara, asimismo realizó sus estudios de Arquitectura en el Instituto
Politécnico Nacional y de maestría en Planeación Urbana y Regional en la
Universidad de Illinois. Actualmente es investigador nivel I en el Sistema
Nacional de Investigadores (sni)
y es el coordinador de la Maestría en Sistemas de Transporte y Distribución de
Carga de la Universidad Autónoma de Querétaro. Sus líneas de investigación
actuales son desarrollo regional y transporte y comercio internacional y
transporte. Entre sus publicaciones destacan: Frontera
México-Estados Unidos en la economía Mundo, Revista de La Economía Internacional, del Centro de Investigaciones en
Economía Internacional, Universidad de La Habana, marzo 2007, número 4;
“Mercados segmentados de transporte en la Región Centro-Norte, Quivera”, noviembre 2000, año 2, número
4, pp. 37-58 y “Territorio flexible en la semiperiferia.
La frontera norte mexicana”, Eure, número 74, 1999: Pontificia
Universidad Católica de Chile.
Rossana
Nieto López
es maestra en Sistemas de Transporte y Distribución de Carga por la Universidad
Autónoma de Querétaro (uaq),
asimismo realizó sus estudios de sociología en la propia uaq. Actualmente es profesora en
el Colegio de Bachilleres del Estado de Querétaro (cobaq).
[1] Este trabajo es un resultado parcial
de la investigación: Industrialización y mercados
segmentados de transporte en el estado de Querétaro, financiada por el Sistema de
Investigación Miguel Hidalgo (sihgo) y el Conacyt.
[2] Cabe
hacer notar que en la bibliografía es común encontrar una correspondencia entre
esas dimensiones clasificatorias de las empresas manufactureras. Es así, sobre
todo, en cuanto al tamaño y alcance de mercado, al presuponerse que las
empresas micro, pequeñas y medianas están asociadas a alcances locales (Alarcón
y Stumpo, 2001). En este documento se pretende dar
cabida a comportamientos no necesariamente correlacionados entre tamaño, rama y
alcance de mercado, al trabajar una matriz compleja de esas dimensiones.
[3] Un coeficiente de correlación Pearson de 0.857 permite definir la muestra como estadísticamente representativa del universo. En el cuestionario se preguntó por la descripción de todos los movimientos de mercancía –de abastecimiento de insumos y de distribución de productos–. Los movimientos se clasificaron de acuerdo con su alcance territorial: internacional cuando el movimiento cruza los límites territoriales de México; nacional cuando cruza los límites estatales, y local cuando ocurre dentro del territorio del estado de Querétaro de Arteaga.