Indicadores
sintéticos: una revisión de los métodos de agregación
Synthetic indicators: a revision of aggregation
methods
José Mondéjar-Jiménez
Manuel
Vargas-Vargas*
Abstract
An
adequate way to objectively monitor the current economical situation consists
on applying statistical/econometric models. Several difficulties may arise from
the available indicators used; however these can be avoided by using synthetic
indicators. In order to do so, it is necessary to select basic economic
indicators, extract from them relevant information and aggregate them in a
convenient way to obtain a synthetic indicator that summarises
their common characteristics. In this paper we analyse
several procedures and techniques to create traditional synthetic indicators;
we also include new formulations based on indicator
aggregation in the state space.
Keywords: synthetic indicators, economical analysis,
aggregation methods.
Resumen
Una vía
adecuada para objetivar el seguimiento económico coyuntural consiste en
recurrir a los modelos estadístico-econométricos. Sin embargo, a través de los
indicadores disponibles dicho seguimiento presenta diversas dificultades que se
pueden evitar si se recurre a la elaboración de un indicador sintético. Para
ello es necesario elegir los indicadores económicos básicos, extraer su
información relevante y agregarlos convenientemente para elaborar un indicador
sintético que resuma las características comunes a todos ellos. En el presente
trabajo se analizan diversos procedimientos y técnicas para la elaboración de
indicadores sintéticos tradicionales, así como la incorporación de nuevas
formulaciones basadas en la agregación de indicadores en espacio de estados.
Palabras clave:
indicadores sintéticos, análisis económico y métodos de agregación.
*
Universidad de Castilla-La Mancha, España. Correos-e: Jose.Mondejar@uclm.es,
Manuel.Vargas@uclm.es.
Introducción[1]
La medición del
desarrollo económico y la definición de los factores condicionantes del
crecimiento son dos de las cuestiones de mayor interés en las últimas décadas;
por ello, han centrado el interés de los científicos en general y de los
economistas en particular. Dentro de este nivel de estudio nos centraremos en
el análisis coyuntural de las macromagnitudes
económicas.
En la actualidad,
en el análisis coyuntural regional se pueden distinguir tres niveles de
actuación para valorar e interpretar correctamente los datos estadísticos con
el fin último de estudiar la evolución de la actividad económica.
1. Análisis a través de indicadores simples.
2. Análisis a través de indicadores sintéticos o
complejos.
3. Estimación de la contabilidad trimestral
regional.
Un esquema del
proceso desarrollado en este trabajo y que corresponde con la construcción de
indicadores sintéticos de actividad puede resultar como sigue:
·
Selección
de indicadores parciales.
·
Tratamiento
estadístico previo.
·
Extracción
de señal ciclo-tendencia y desestacionalización.
·
Agregación
de indicadores parciales.
·
Indicador
sintético.
Aquí podemos
observar los distintos pasos previos a la agregación de los indicadores
parciales. Aunque el objetivo de este trabajo es exponer los diferentes métodos
de agregación (desarrollados en el apartado 1), realizaremos un breve repaso de
las fases anteriores.
El primer paso
de este proceso consiste en hacer una selección de las series de indicadores
que se van a tomar en consideración. Sólo incluimos los indicadores
cualitativos porque son los más recomendados para el seguimiento de la
coyuntura económica. La selección de estas series se debe hacer de acuerdo con
ciertos criterios formales como la disponibilidad de los datos, su significado
económico, el tipo de frecuencia, etcétera.
Una vez que se
seleccionaron los indicadores simples, es necesario –en la etapa preliminar–
realizar un tratamiento previo de las series que consiste en tomar en cuenta
aspectos estadísticos y económicos que requieren un tratamiento elemental, como
deflactar el indicador simple, eliminar el efecto calendario, datos atípicos (outliers),
fechado (siempre que sea posible) y estructura del retardo temporal.
Además, existe
la necesidad de trabajar con series ajustadas de estacionalidad y componentes
irregulares, es decir, se trata de obtener indicadores que no contengan ruido.
Para ello es preciso tratar estadísticamente y filtrar las series con el fin de
extraer la señal ciclo-tendencia. Este proceso de filtrado imposibilita el
trabajo con indicadores cualitativos, aunque si bien éstos también podrían
utilizarse con los diferentes métodos de agregación que se proponen a
continuación, por lo que no deben mezclarse con los indicadores cuantitativos.
Un filtro ideal
es aquél que está diseñado para permitir el paso de información en una banda de
frecuencias y eliminar o inhibir la información contenida en otras bandas
consideradas no deseables. Se trata de analizar qué tipo de frecuencia deja
pasar cada filtro y cuáles de ellas son eliminadas, así como la eficacia
relativa de cada filtro respecto de las frecuencias filtradas. Cualquier filtro
tiene un coste informativo que se traduce en las observaciones que se pierden
en el tramo final e inicial. Los métodos más importantes y usuales son filtros autorregresivos (ar), los filtros aditivos o de medias móviles (ma), el filtro
bayesiano en espacio de estados, la extracción de la señal relevante con Seats
(Maravall, 1989), entre otros.
1. Métodos de
agregación
Una vez concluida
la fase de filtrado, pasamos a la agregación de los indicadores parciales para
obtener el indicador sintético. Se denomina indicador
sintético a cualquier
combinación de indicadores individuales, a los cuales nos referimos como
indicadores componentes (Cabrer et
al. 2001). Los
indicadores sintéticos están sujetos a diversas críticas. La principal es que
constituyen una aproximación puramente empírica al problema de la medición del
nivel y el ritmo de la actividad económica. Entre sus ventajas destaca su
sencillez, la cual en términos de complejidad teórica y de información
necesaria permite realizar estimaciones y predicciones, además de la prontitud
con la que se obtienen los resultados en comparación con otros métodos
alternativos.
La mayor
dificultad –y requisito imprescindible para la construcción de un indicador
sintético regional de coyuntura– es la necesidad de disponer de una amplia base
de datos de índole regional y de periodicidad mensual o trimestral (indicadores
parciales) que permitan captar las fluctuaciones periódicas de corto plazo de
la economía objeto de análisis. A continuación exponemos los métodos de
agregación tradicionales.
1.1 Métodos simples
Un
indicador compuesto de actividad se obtiene mediante la suma ponderada de los
cambios en las series económicas individuales
![]()
donde
ICAt es el indicador compuesto en el
periodo t, es el valor del indicador i
en el periodo t, n es el número de indicadores
utilizados y wi es la ponderación asignada a cada uno
de los indicadores parciales que, como es lógico, se debe cumplir
![]()
Un indicador
sintético consiste, por tanto, en una serie indexada que engloba y agrega la
información contenida en un conjunto de indicadores parciales representativos
de los diferentes sectores de la economía analizada. El principal problema que
se presenta es el de la definición de los coeficientes de ponderación y la
heterogeneidad en las unidades de los indicadores parciales.
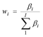
El primer
criterio que se utiliza para asignar una ponderación a las diferentes series
que forman el indicador compuesto es otorgar a cada una de ellas el mismo peso,
es decir, en este caso todas las series tienen la misma importancia en la
construcción del indicador compuesto. Si se seleccionan n indicadores para su construcción, la
agregación de cada uno de ellos en la elaboración del
indicador
compuestos será
![]()
Un segundo
criterio para seleccionar el peso de cada uno de los indicadores parciales se
basa en un criterio ad-hoc, el investigador fija a
priori la importancia
que tiene cada uno de los indicadores para la elaboración del indicador
compuesto, en función de la importancia que tengan las distintas ramas o
sectores en relación con el indicador de referencia. El conocimiento de la
actividad económica por parte del analista juega aquí un papel quizá más
importante, si cabe, puesto que una mala asignación a
priori de las
ponderaciones puede conllevar un incremento del nivel de error cometido. No
obstante, este método se puede perfeccionar teniendo en cuenta la volatilidad
de cada uno de los indicadores parciales que forman parte del indicador
compuesto, para ello debemos calcular la desviación estándar de cada uno de los
indicadores parciales, así como su inversa.
De este modo, el
índice compuesto se calcula a partir de la siguiente expresión:
![]()
donde wi
y xit tienen el mismo significado que en la
fórmula considerada en el apartado anterior y Si* es la inversa de la
desviación estándar de cada uno de los indicadores parciales. Por último,
obtendremos el peso de cada uno de los indicadores simples como el producto de
los pesos individuales por la inversa de la desviación estándar, y haciendo que
la suma de los mismos sea unitaria (Pons, 1995).
Un tercer
criterio para seleccionar los pesos de cada uno de los indicadores se basa en
el análisis de la correlación entre cada uno de éstos y una variable que
registra la evolución del conjunto de la actividad económica, como puede ser,
por ejemplo, el valor añadido bruto (vab) o el producto interno bruto (pib), ya sea trimestral o anual.
Si es el coeficiente de correlación
entre el indicador i y la variable de referencia, el peso
de cada uno de los indicadores en la definición del índice compuesto será

donde n será el número de indicadores
utilizados.
El último método
para asignar pesos se basa en el análisis de regresión entre la variable de
referencia y los indicadores parciales, utilizando los coeficientes de
regresión como la contribución de cada indicador parcial. Este método constaría
de los siguientes pasos: en primer lugar se obtendría el coeficiente de
correlación (ri) entre la señal extraída del indicador
parcial seleccionado y la magnitud de referencia (lógicamente, deben tener la
misma frecuencia, mensual, trimestral o anual). En segundo lugar, la obtención
de las ponderaciones para cada uno de los indicadores como

Por último,
obtendríamos los valores del indicador sintético en cada momento de tiempo t,
![]()
Basados en el
análisis de la regresión también existen procedimientos conocidos como
combinación de datos de alta y baja frecuencia porque –como ventaja
fundamental– permiten la combinación de datos de baja frecuencia (que suele ser
la que caracteriza a los indicadores de referencia) con información de alta
frecuencia (que son los datos que habitualmente ofrecen los indicadores
parciales), siempre bajo el supuesto de que la relación estimada con bajas
frecuencias se mantiene cuando se utilizan altas frecuencias. El inconveniente
de este método aparece por la habitual existencia de multicolinealidad
en la regresión anual, introduciendo elementos de duda en la influencia de cada
una de las señales anualizadas (estadísticos t no significativos), que aunque
en teoría no invalidan el modelo a efectos predictivos, en la práctica sí es
necesario rechazar el modelo por la habitual presencia de signos equivocados o
valores poco probables en los coeficientes. Además, la consecución de nuevos
datos suele provocar grandes oscilaciones en la estimación de los parámetros.
Dentro de este
último método se encuadran los procedimientos de selección automática. La
problemática es similar al caso anterior: se dispone de las señales como
variables independientes y una macromagnitud como variable
dependiente. No obstante, ahora se trata de elegir la mejor regresión que se
pueda realizar utilizando sólo algunas señales como variables independientes
(aquéllas que manifiestan una influencia significativa sobre el regresando y
que son seleccionadas por el proceso).
Este método
sirve para seleccionar los regresores de forma automática (en el sentido de que sólo se atiende
a criterios estadístico-econométricos). El uso de este tipo de procedimientos
tiene la ventaja de que no es necesario estimar todas las ecuaciones posibles,
el mismo nos proporciona la que considera la mejor regresión; por otro lado,
facilitan un instrumento que es un buen predictor de
una variable dependiente. Entre los inconvenientes destacan, además de los ya
mencionados, el uso de data mining para la selección de indicadores
parciales, de manera que sólo tenemos en cuenta criterios
estadístico-econométricos en la selección y no incluye ninguna información de
tipo económico.
1.2 Metodología del National Bureau of Economic Research y del Bureau of Economic
Analisis
El Bureau of Economic Analysis (bea),
dependiente del Departamento de Comercio de los Estados Unidos, publica
mensualmente en el Survey
of Current Business un sistema de indicadores de la economía estadounidense
y presenta un procedimiento para la elaboración de un índice. La metodología
utilizada por estas dos instituciones es similar (aunque a continuación
describimos el método usado por el bea y señalamos las diferencias) y se compone de las
siguientes fases (Green y Beckman, 1992).
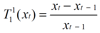
1) Cálculo
del cambio porcentual simétrico de cada indicador,
![]()
donde xi es el i-ésimo
indicador parcial.
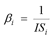
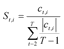
2) Estandarización
de las series obtenidas en la etapa anterior para impedir que las oscilaciones
de un indicador parcial dominen a las variaciones de los demás, es decir, se
define Si como la media absoluta del porcentaje de cambios mensuales
antes obtenido
![]()
3)
Asignación de ponderaciones a cada indicador parcial (Wi),
![]()
donde I es el número de indicadores
parciales. Para garantizar que la suma de las ponderaciones sea unitaria se
transforma en

4)
El porcentaje de cambio en un periodo del índice se define como
![]()
siendo TR un factor de ajuste tendencial.
5)
Por último, se calcula el índice sintético coincidente como
![]()
donde se suele
asignar un valor inicial de IS0 = 100.
El método del National Bureau of Economic Research (nber)
difiere en la forma de estandarizar las oscilaciones en la etapa 2 y en cómo se
asignan las ponderaciones. Además, el ajuste de la tendencia se produce una vez
obtenido el índice mediante una media móvil de 75 términos denominada Phase Average Trend. Es importante señalar que estos
indicadores no pretenden medir el ritmo de variación económica sino detectar
los puntos de giro con la máxima rapidez y eficacia, ésta es la principal
diferencia con respecto a los métodos basados en el análisis de la regresión.
1.3 Análisis multivariante
El análisis de
componentes principales y el análisis factorial son los métodos más usados en
la construcción de indicadores sintéticos. Ambos son procedimientos diseñados
para el tratamiento de grandes masas de datos, transformando las variables
originales –indicadores parciales– en otras –componentes principales– que no
están correlacionadas entre sí. De este modo se puede proceder a la selección
de información, eliminando las componentes que no proporcionan información
significativa. Se trata de aplicar la técnica de los componentes principales a
los crecimientos interanuales tipificados de las señales, es decir, se toman diferencias
estacionales del logaritmo del indicador para a continuación estandarizar el
valor de la serie.
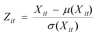
Sea Yit
=
4 1n Xit
para datos trimestrales
![]()
A continuación
se especifica el modelo unifactorial,
Zt = ᴦƒt
+ Ɛt, donde Zt es el vector de observaciones de los
indicadores (I) que van a formar el indicador sintético, G es el vector de
cargas y ƒ es el factor común no observable. El vector et recoge los
factores específicos de cada indicador. Lo que se pretende es obtener una
estimación del factor ƒ no observable
que está describiendo el comportamiento conjunto de las series, considerando
las hipótesis de,
* Normalidad tipificada del factor común, ƒt
~ N (O,1).
* Los factores específicos son heterocedásticos, E(Ɛt) = 0, E (Ɛt Ɛt´) = Ω diagonal.
* Los factores comunes y los específicos son
ortogonales, E(
ft ´Ɛt) = 0.
Con estos
supuestos podemos estimar ƒt por mínimos
cuadrados generalizados para obtener
![]()
Es decir, fes una
combinación lineal de los indicadores parciales. Se suelen presentar los pesos
normalizados a suma uno,
![]()
Las componentes
se ponderan en función del porcentaje de varianza que explican, obteniéndose el
indicador sintético como suma de dichos componentes ponderados (u). La principal ventaja del análisis multivariante para la elaboración de índices sintéticos de
actividad económica es que al tratarse de una técnica de reducción de la
dimensión, permite resumir en un número reducido de factores o dimensiones la
información contenida en un conjunto elevado de indicadores parciales.
1.4 Procedimiento
simple de Niemira y Klein (niem)
El índice
sintético de Niemira y Klein (1994) se obtiene con la
suma de los crecimientos de la señal de cada indicador parcial, pero teniendo
en cuenta la importancia y volatilidad de cada uno de esos indicadores. En
definitiva, se trata de aplicar la fórmula
![]()
donde denota la tasa de crecimiento en tantos
porcentuales del indicador i-ésimo,
siendo i
= 1,..., n
el número de indicadores parciales, wi
es el peso o ponderación
que se aplica a cada indicador parcial, si es el elemento de ajuste de la volatilidad del indicador
parcial, una amplitud estandarizada para todos los indicadores parciales con el
fin de minimizar la influencia de un indi-cador
individual muy volátil sobre el indicador sintético. El indicador se elabora
del siguiente modo:
1. Determinación
de las ponderaciones.
2. Determinación
de la volatilidad.
3. Determinación
del peso de los indicadores parciales.
4. Cálculo del
índice compuesto,
![]()
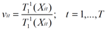
1.5 Procedimiento
basado en Fernández (1991)
Este
procedimiento es una adaptación del esquema de agregación seguido por el nber. A
continuación explicamos este procedimiento atendiendo a la exposición recogida
en Fernández (1991), pero adecuado a la construcción de un indicador sintético
de crecimiento de la actividad económica.
a) Se calculan las tasas de variación
trimestrales de cada señal de ciclo tendencia,
![]()
b) Se estandarizan las tasas de
crecimiento de las señales de ciclo-tendencia [T11 (Xit)]para que tengan una amplitud común, es
decir, dividir cada una de ellas entre la media aritmética de sus valores
absolutos,
![]()
donde
![]()
c) Se obtiene la serie suma de las series
estandarizadas,
![]()
d) Se obtiene un indicador que permitirá
llevar a cabo el seguimiento del crecimiento interanual del vab trimestral,
![]()
Para lo cual se
procede del siguiente modo:
![]()
1.6 Procedimiento
basado en la distancia P2
La aplicación
original del indicador con base en la distancia P2 va dirigida al
campo de la medición del bienestar social. A continuación se presenta de manera
resumida el indicador Zarzosa (1992). Sea el vector de estado de las señales de
ciclo tendencia extraídas de los indicadores parciales del momento de tiempo t = 1,..., T, Xt
= (xt1, x t2,...,
x tn), de manera que xti
(i
= 1,..., n)
es el valor que toma la señal de ciclo-tendencia del indicador parcial en el
momento de tiempo t (en adelante se denota como señal i).
Este vector de
estados se quiere comparar con un vector de frecuencia. Sea X. el vector base
de referencia, donde
X.
= (x.1, x.2,..., x.T). De esta forma, x.t
es el estado base de referencia en el momento t, un estado ideal para las señales extraídas de cada
uno de los indicadores parciales de referencia con respecto al cual se realiza
la comparación. En este caso, la base de referencia está constituida por el
vector que toma para cada momento t el valor mínimo de cada una de las
señales cuya información se pretende agregar.
De esta forma,
el indicador sintético de distancia P2 se define para cada momento
como (Zarzosa, 1992),
Las condiciones
o propiedades exigibles por la función matemática que genera al indicador
sintético son las siguientes: existencia y determinación, monotonía, unicidad,
homogeneidad, transitividad, exhaustividad, aditividad
e invarianza respecto de la base de referencia
(Zarzosa, 1992).
1.7 Construcción de
indicadores en espacios de estados
Como ya se
expuso, la obtención de un indicador sintético como media ponderada de
indicadores parciales se basa, además de en la selección de éstos, en la
determinación de los pesos relativos que tiene cada uno de ellos. Si la
selección está bien realizada, es de esperar que los indicadores parciales no
presenten un comportamiento independiente, sino que estén influidos por la
evolución general de la macromagnitud estudiada. La
estimación de este factor de evolución general es el objetivo de los indicadores
sintéticos, abordando ésta mediante la combinación lineal ponderada de los
indicadores parciales.
Por ello, se
puede interpretar un indicador sintético como un factor
común al
comportamiento del conjunto de indicadores parciales, cuya evolución
condiciona, con cierta intensidad, la de estos últimos. Dentro de este marco
conceptual es donde presenta gran interés la modelización conjunta de los
indicadores en espacio de estados. Recordando la expresión de la representación
innovacional de una serie múltiple centrada (Mondéjar, 2007),
![]()
donde Y es el vector de indicadores parciales
y ¼
es su vector de medias, la estructura básica del modelo supone la existencia de
un vector de estado, Xt, que actúa en cada instante como
estadístico suficiente para la dinámica del sistema, por lo que puede
identificarse como el factor de evolución general o indicador sintético cuya estimación
se pretende.
Tabla 1
Indicador
sintético sectorial: industria
|
Indicador |
Frecuencia |
|
Activos en industria |
Trimestral |
|
Ocupados en industria |
Trimestral |
|
Paro registrado en industria |
Mensual |
|
Producción bruta de electricidad |
Mensual |
|
Índice de producción industrial |
Mensual |
|
Consumo de energía industria |
Mensual |
|
Consumo de energía para uso industrial |
Mensual |
|
Matriculación de vehículos
industriales |
Mensual |
Fuente: Elaboración propia.
En este caso, la
metodología de espacio de estados permite una estimación eficiente de dicho
indicador,[2]
sin necesidad de recurrir a una media ponderada de los indicadores parciales,
sino modelizando la correlación entre el indicador
sintético y cada uno de los parciales, reflejada en la matriz H. Además,
presenta otras ventajas.
·
Como
señala la ecuación de transición, el indicador sintético presenta una evolución
markoviana corregida por el efecto de las
innovaciones de los indicadores parciales a través de la matriz G.
·
El
estado, identificado con el indicador sintético, refleja la evolución
subyacente del conjunto de indicadores parciales, ya que la mejor predicción
del vector de observaciones para el siguiente instante temporal sería
![]()
Por ello, el estado podría
interpretarse como la componente tendencial[3]
del conjunto de indicadores parciales.
·
La
estructura de la ecuación de observación permite extraer la componente innovacional de cada indicador parcial. Ésta se introduce
en la evolución del indicador sintético a través de la matriz G, lo que permite
que éste responda rápidamente a novedades en los indicadores parciales y,
además, cuantificar la intensidad relativa con la que cada uno de estos últimos
modifica la evolución del indicador sintético.
·
La
representación en espacio de estados permite obtener rápidamente la función de
impulso-respuesta mediante las matrices del modelo como
![]()
que permite valorar el efecto de cada
indicador parcial sobre el sintético.
Gráfica i
Indicadores de industria

Fuente: Elaboración propia.
Por todo ello,
la utilización de la metodología de espacio de estados puede ser una
alternativa fructífera para obtener un indicador sintético.
2. Trabajo empírico
En el marco del
análisis económico regional, un foco de atención constante es el análisis
coyuntural, con el que se pretende conocer lo antes posible la situación y el
ritmo de crecimiento de la actividad de la región y sus posibles causas. La
utilización de los indicadores sintéticos para este fin no es reciente; la
publicación de un sistema de indicadores por el bea sirvió de base para la
construcción de indicadores sintéticos del nber. Desde entonces han
proliferado en este campo las aportaciones metodológicas y sus aplicaciones.
Gráfica ii
Indicadores de industria

Fuente: Elaboración propia.
La mayor
dificultad que podemos encontrar en este sentido y que constituye, a su vez,
requisito imprescindible para construir un indicador sintético regional de
coyuntura, es la necesidad de disponer de una amplia base de datos de índole
regional y de periodicidad mensual o trimestral (indicadores parciales) que
permitan captar las fluctuaciones periódicas de corto plazo de la economía
objeto de análisis.
En primer lugar,
en la tabla 1 enumeramos los indicadores parciales seleccionados por su
disponibilidad, periodicidad, desfase, calidad, etc., todos ellos referidos al
sector industrial dentro del ámbito regional de Castilla-La Mancha.
Una vez
seleccionados los indicadores parciales con base en criterios de
disponibilidad, frecuencia, volatilidad, significación económica, etc.,
procedemos a extraer la señal relevante de los mismos. Con ésta, hacemos la
agregación de los mismos, con base en alguno de los diferentes criterios
referidos en el apartado 1, con la excepción de la metodología propuesta por el
nber y
el procedimiento basado en Fernández, debido a que el objetivo de estos métodos
de agregación de indicadores es detectar los puntos de giro de la economía, en
lugar de realizar un seguimiento de la evolución de la misma.
Gráfica iii
Indicadores de industria

Fuente: Elaboración propia.
Una vez que se
obtuvieron los indicadores sintéticos, se debe proceder a seleccionar los
indicadores resultantes de cada método de agregación, para lo cual es necesario
tener en cuenta los siguientes criterios:
·
Volatilidad
de los indicadores sintéticos para evitar demasiadas fluctuaciones o que no
detecten los cambios existentes.
·
Adecuación
de las series disponibles. La longitud de las mismas y la frecuencia son dos de
los factores condicionantes a priori a la hora de elegir los métodos de
agregación.
·
Correlación
con las variables de referencia. Debemos medir el grado de correlación entre
los indicadores sintéticos y la variable de referencia.
·
Fechado
de los indicadores sintéticos. Es deseable que el indicador sintético sea
adelantado.
·
Estructura
del retardo. La estructura del mismo condiciona los resultados obtenidos.
·
Disponibilidad
de los datos. La rápida disponibilidad de los datos condiciona la utilización
de los indicadores sintéticos.
El análisis de
la correlación y el retardo temporal constituyen las dos opciones más
importantes en términos de validación, si bien el resto supone más bien
criterios de partida.
En las gráficas i, ii, y iii de indicadores de industria observamos
la aplicación de algunos de los criterios más extendidos a un caso real de
economía regional, concretamente el sector industrial de Castilla-La Mancha,
agrupados por criterios de selección de indicadores sintéticos. Así, la gráfica
i muestra los métodos de
agregación con resultados menos satisfactorios. La distancia P2,
concebida inicialmente como una medida de bienestar, presenta un alto grado de
volatilidad, con una relativa coincidencia cíclica con el valor añadido bruto (vab) y un
escaso grado de correlación contemporánea. Por su parte, el indicador obtenido
por el procedimiento de Niemira y Klein presenta
mayor grado de correlación y menor volatilidad; sin embargo, es un indicador
retrasado respecto de la variable objetivo; lo que invalida parcialmente que lo
utilicen los agentes económicos más interesados en anticipar las fluctuaciones
del sector.
En la gráfica ii se muestra
un conjunto de indicadores sintéticos con una mayor volatilidad que la variable
original, una evidente coincidencia cíclica y alto grado de correlación. Este
tipo de indicadores constituyen la alternativa más frecuente para analizar la
coyuntura económica tanto por su sencillez en el cálculo como por su alto grado
de correlación contemporánea. Sin embargo, su capacidad predictiva es limitada
ya que no anticipa el comportamiento cíclico de la variable original.
Por último, en
la gráfica iii
se representa el indicador sintético en espacio de estados (ee). Por varios motivos, el
mencionado indicador constituye una alternativa para los métodos tradicionales.
·
En
primer lugar, es el único indicador que adelanta los puntos de giro de la
producción industrial en Castilla-La Mancha. Esta característica es cada vez
más apreciada por los agentes económicos que necesitan la anticipación del
posible escenario económico para la planificación de sus decisiones de
financiamiento, producción e inversión.
·
También
presenta un mayor grado de volatilidad respecto de las alternativas de la
gráfica ii
y un grado de correlación contemporánea ligeramente inferior. Sin embargo, este
último hecho se debe sobre todo al retardo entre las dos variables. Así, si se
considera la correlación corregida por periodo se obtienen buenos resultados.
Otras
aplicaciones empíricas más profundas, con resultados similares, se pueden
consultar en Cabrer et al. (2001),
Mondéjar (2007), Mondéjar
y Alfaro (2002) y Pavía (2001).
3. Conclusiones
Por todos es
conocida la preocupación de los diferentes agentes económicos, especialmente
las entidades nacionales y supranacionales, por anticipar las posibles
fluctuaciones económicas que condicionan su toma de decisiones. Dentro del
análisis coyuntural, la aplicación de las diferentes técnicas nos lleva a
resultados más o menos costosos debido a su complejidad o la disponibilidad de
los datos. En el presente trabajo se pretendió desarrollar los diferentes
métodos de agregación para la construcción de indicadores sintéticos de
actividad regionales, con el fin de obtener resultados de forma rápida y
sencilla, pero con el mínimo error posible.
El crecimiento
del interés por el tema dentro del campo de la economía aplicada se pone de
manifiesto en la proliferación de trabajos en los últimos años con el único
objetivo de predecir los cambios regionales. En España resultan de especial
interés este tipo de estudios por la escasez de información estadística de
carácter coyuntural en el ámbito regional.
Los diversos
métodos de agregación de los indicadores parciales constituyen la parte más
importante del trabajo. Además de una exposición de éstos, se trata de mostrar
los métodos más utilizados en la predicción de macromagnitudes
regionales. La utilización de un único método de agregación y su aplicación al
ámbito regional puede ser bastante compleja, ya que éstos no son excluyentes
entre sí.
A los métodos de
agregación tradicionales se ha incluido uno nuevo. La metodología en espacio de
estados permite una estimación eficiente de dicho indicador, sin necesidad de
recurrir a una media ponderada de los indicadores parciales, sino modelizando la correlación entre el indicador sintético y
cada uno de los parciales, reflejada en la matriz H.
En la
metodología en espacio de estados, las propiedades de controlabilidad
y observabilidad garantizan, bajo supuestos poco
restrictivos, la minimalidad de la representación.
Esta propiedad presenta dos grandes ventajas: por un lado, si el algoritmo de
especificación de un modelo en espacio de estados proporciona la controlabilidad y observabilidad
del sistema, se tiene garantizada la menor dimensión para el vector de estados
que recoge la dinámica del proceso; por otro, si se trabaja con modelos varma se puede
obtener una representación canónica alternativa mediante la reexpresión del modelo estimado en espacio de estados. De
esta forma conseguimos ajustar el modelo con un número de parámetros
involucrados inferior a los necesarios en una modelización varma y, además, podemos afirmar
que esta representación cumple el requisito de minimalidad.
Es por ello que los indicadores en espacio de estados constituyen una
alternativa para los métodos tradicionales debido a que estos indicadores
sintéticos en espacio de estados registran y reproducen de manera inmediata
cualquier cambio en los indicadores parciales, mientras que los métodos
tradicionales no logran recoger rápidamente las alteraciones registradas en los
indicadores parciales. Por tanto, los mencionados indicadores pueden constituir
un indicador sintético adelantado, de vital importancia informativa para los
agentes económicos interesados.
Los métodos de
agregación basados en regresión o en
técnicas multivariantes destacan por su
sencillez de cálculo y buenos resultados de correlación, pero no son capaces de
adelantar las fluctuaciones de la variable de referencia. Actualmente, los
agentes económicos están cada vez más interesados en anticipar el
comportamiento de la economía real, por lo que existe un interés creciente por
utilizar técnicas que mitiguen esta carencia.
Bibliografía
Cabrer, Bernardí,
Javier de Castro y José Manuel Pavía (2001), “Indicadores económicos regionales
y su problemática: una visión de síntesis”, en Bernardí
Cabrer Borrás
(ed.),
Análisis regional. El proyecto Hispalink, Mundiprensa,
Madrid, España, pp. 259-277.
Fernández,
Francisco (1991), “Indicadores sintéticos de aceleraciones y desaceleraciones
en la actividad económica”, Revista Española de Economía, 8(1), Instituto de Estudios Fiscales,
Madrid, España, pp. 125-156.
Green, George B. y Barry A. Beckman (1992), “The
composite index of coincident indicators and alternative coincident indexes”, Survey of Current Business, 72,
Department of Commerce, Washington, d.c.,
pp. 42-45.
Kalman, Rudolf Emil (1960), “A New
Approach to Linear Filtering and Prediction Problems”, Journal of Basic Engineering, Transactions of asme,
82, Transactions of ASME, Nueva York, Estados Unidos, pp. 35-45.
Maravall, Agustín (1989), “La extracción de
señales y análisis de coyuntura”, Revista Española de Economía, 6(1-2), Instituto de Estudios
Fiscales, Madrid, España, pp. 7-56.
Mondéjar Jiménez, José (2007), “Análisis
cuantitativo de la coyuntura económica. Una aplicación de la representación en
espacio de estados de series temporales múltiples”, tesis doctoral, Universidad de
Castilla-La Mancha, España, 524 pp.
Mondéjar Jiménez, José y José Luis Alfaro
Navarro (2002), “Construcción de indicadores sintéticos de coyuntura económica.
El caso de Castilla-La Mancha”, xxviii Reunión de Estudios Regionales,
Universidad de
Murcia, España, 16 pp.
Niemira, Michael P. y Philip A. Klein (1994),
Foresting
Financial and Economic Cycle,
Nueva York, John Wiley & Sons,
Estados Unidos, 544 pp.
Pavía, José
Manuel (2001), “Una aproximación a la elaboración de indicadores sintéticos: el
caso de la Comunidad Valenciana”, en Bernardí Cabrer Borrás
(ed.),
Análisis regional. El proyecto Hispalink, Mundiprensa,
Madrid, España, pp. 291-301.
Pons-Novell,
Jordi (1995), “Un sistema d´indicadors cíclics per a l´economia
catalana, Un instrument per a l´anàlisi
conjuntural”, tesis doctoral, Universitat
de Barcelona, España, 227 pp.
Zarzosa-Espina,
Pilar (1992), “Aproximación a la medición del bienestar social, estudio de la
idoneidad del indicador sintético ‘Distancia P2’”, tesis doctoral, Universidad
de Valladolid, España, 248 pp.
Recibido:
9 de octubre de 2006.
Reenviado:
23 de enero de 2007.
Aceptado:
22 de mayo de 2007.
José Mondéjar Jiménez. Es doctor europeo en economía por la
Universidad de Castilla-La Mancha. Recibió el premio a la mejor tesis doctoral
“Castilla-La Mancha, Región de Europa” que otorga el Gobierno de Castilla-La
Mancha. Actualmente es profesor titular del área de estadística en el
Departamento de Economía Política y Hacienda Pública, Estadística Económica y
Empresarial y Política Económica de la Facultad de Ciencias Sociales de Cuenca
de la Universidad de Castilla-La Mancha. Sus principales líneas de
investigación son: indicadores sintéticos, herramientas estadísticas para el
análisis de la coyuntura económica, predicción de macromagnitudes,
desarrollo rural y turismo. Ha realizado estancias de investigación en otras
universidades españolas y europeas y participa en varios proyectos de
investigación. Es autor de diversas ponencias y comunicaciones aceptadas y
presentadas en congresos nacionales e internacionales, así como autor de
artículos publicados en revistas científicas, libros y capítulos en libros.
Manuel
Vargas Vargas. Es
doctor en
economía por la Universidad de Castilla-La Mancha. Actualmente es profesor
titular del área de estadística en el Departamento de Economía Política y
Hacienda Pública, Estadística Económica y Empresarial y Política Económica de
la Facultad de Ciencias Sociales de Cuenca de la Universidad de Castilla-La
Mancha. Sus principales líneas de investigación son: series temporales
múltiples, herramientas estadísticas para el análisis de la coyuntura
económica, predicción de macromagnitudes, espacio de
estados y desarrollo rural. Participa en diversos proyectos de investigación.
Es autor de diversas ponencias y comunicaciones aceptadas y presentadas en
congresos nacionales e internacionales, así como autor de artículos publicados
en revistas científicas y capítulos en libros.
[1] Los autores desean dejar constancia
de su agradecimiento a los evaluadores, cuyos comentarios y sugerencias
contribuyeron a mejorar sensiblemente este trabajo.
[2] Este hecho es resultado de que el
filtrado de Kalman (1960) no es más que la estimación
insesgada y de varianza mínima de los estados.
[3] En el sentido de que sería la evolución esperada si no hubiese innovaciones dentro de los indicadores parciales.