Impacto económico
por el pago de pasajeros de cruceros para la conservación de recursos
naturales: el caso de Bahías de Huatulco, México
Economic impact of
cruise passengers payments on the conservation of natural resources: the case
of Huatulco Bays, Mexico
María Teresa Kido-Cruz *
Manuel Cuéllar-Río**
Abstract
Huatulco Bays, Mexico, is a relatively new tourist destination with
great appeal due to its scenic beauty; however it is threatened by the yearly
influx of cruise passengers. It is therefore important the creation of economic
instruments and the implementation of policies to minimize the damage to
natural resources in the area. In this study we apply the Travel Cost Method
and a binomial probit model using panel data to analyze the economic impact of
cruise tourists and their willingness to pay for the conservation of natural
resources. The main results show a consumer surplus of 48 usd per person, but
also indicate that 30% of passengers would not be willing to pay an increased
fee to enter the port.
Keywords: surplus, panel, travel cost,
willingness to pay.
Resumen
Bahías de Huatulco,
México, es un destino turístico relativamente joven y con gran atractivo por su
belleza escénica, pero se ve amenazado por la llegada masiva de pasajeros de
cruceros cada año, por lo que resulta primordial crear instrumentos económicos
e implementar políticas que minimicen el daño a los recursos naturales de la
zona. En este estudio se utiliza el método del costo de viaje y un modelo probit
binomial que utiliza datos de panel para analizar el impacto económico
causado por el turista de cruceros, así como su disposición a pagar por la
conservación de los recursos naturales. Los resultados principales muestran un
excedente del consumidor de 48 dólares por persona, pero también indican que
30% de los pasajeros no estaría dispuesto a pagar un incremento en la cuota de
entrada al puerto.
Palabras clave: excedente, probit binomial, panel, costo de viaje, disposición a pagar.
* Universidad del Papaloapan, Oaxaca, México. Correo-e: tkido@unpa.edu.mx.
** Universidad
del Mar, Huatulco, México. Correo-e: mcuellar@huatulco.umar.mx.
Introducción
Aunque existe diversa y variada literatura sobre oportunidades de desarrollo del turismo en general, se ha producido muy poca información sobre turismo de cruceros y su efecto económico en México. El turismo de cruceros representa una actividad incipiente pero que cada día cobra mayor importancia. Este tipo de turismo se ha señalado como una oportunidad de desarrollo desde la perspectiva de las comunidades portuarias. Su mayor atractivo lo representan el gasto que este tipo de turistas tienen en las comunidades portuarias y el impacto económico vía el efecto multiplicador de dicho gasto. Bahías de Huatulco es una de las comunidades en México que le apostó a la industria de cruceros como detonante económico. En noviembre de 2001, el gobierno federal, por medio del Fondo Nacional de Fomento al Turismo (Fonatur), comenzó la construcción de un muelle para cruceros planeado para atender simultáneamente a dos embarcaciones de 3,350 pasajeros cada una. Con una inversión de 50 millones de pesos, se esperaba que Huatulco se posicionara en la ruta de la riviera mexicana tradicional y la ruta Transcanal (Fonatur, 2001). El gasto de los cerca de 7,000 visitantes por día representaba un gran atractivo, especialmente para los tour operadores, así como para los vendedores de artesanías y alimentos. No obstante, desde el punto de vista ambiental, la construcción del muelle representa una alteración de la circulación litoral que provoca contaminación y modificación de las características naturales de los ecosistemas. Además, la llegada masiva de turistas de cruceros puede causar serios desequilibrios ecológicos si no se implementan las medidas preventivas necesarias.
El cuidado ambiental resulta de particular importancia para un destino que se ha esforzado por obtener la certificación de Green Globe. En 2005 Huatulco se convirtió en el primer destino turístico del continente americano y el tercero en todo el mundo en recibir dicho reconocimiento, lo que demuestra su compromiso con el turismo sustentable. Green Globe se describe como “un sistema de certificación internacional que responde directamente a los principales problemas ambientales que enfrenta el planeta, incluyendo el efecto invernadero, el abuso de recursos acuíferos, la destrucción de la biodiversidad y la producción de basura sólida y biológica, así como los temas sociales” (Green Globe, 2009: 1). Este reconocimiento garantiza al turista la visita a un destino que cumple con los estándares internacionales de manejo ambiental. Por tanto, si se quiere ser coherente con el discurso de sustentabilidad, es necesario que se impulsen actividades que además de detonar la actividad económica conserven los recursos. Para ello se requiere realizar estudios que sustenten las decisiones de política o bien que coadyuven al logro de objetivos. El presente estudio pretende identificar el efecto económico causado por el turista de cruceros en Huatulco, así como su disposición a pagar por conservar los recursos naturales mediante la utilización del método de costo del viaje (mcv), con el objeto de servir como instrumento de negociación. Comúnmente empleado para analizar la demanda por servicios turísticos, el mcv se basa en entrevistas en las cuales se obtiene el perfil de gasto de los visitantes, lo que hace posible calcular la sensibilidad del turista a cambios exógenos en el costo del viaje. Utilizando un modelo probit binomial con datos de panel, se ha podido además estimar el excedente del consumidor.
1. Características y estructura de la industria de cruceros
La industria de cruceros ha crecido significativamente en los últimos 50 años, no obstante, es hasta los años noventa que empieza su expansión y consolidación como un auténtico segmento turístico, a partir de la construcción de cruceros con mayor capacidad de transporte de pasajeros y de la mejora de la infraestructura portuaria. Además de este aumento de la capacidad, está teniendo lugar una concentración horizontal de las compañías, resultado de la fusión y compra de empresas navieras, lo que ha provocado la reorganización de las empresas operativas involucradas, obteniendo como resultado un menor número de empresas de mayor magnitud operando en áreas geográficamente más amplias (Figueira de Sousa, en McCarthy, 2003).
Lo anterior ha dado como resultado que el control de 64.3% del mercado recaiga en cuatro grupos armadores. En 2002, por ejemplo, Carnival Corporation alcanzó beneficios por 1.02 billones de dólares. Los ingresos obtenidos por Royal Caribean Cruise Line, durante el mismo año, fueron de 3.15 billones de dólares, lo que representó ganancias de 254 millones de dólares. La compañía Star Cruises, que incluye Star, Norweigan Cruises y Orient Cruise Line, obtuvo beneficios por 82 millones de dólares sobre ingresos de 1.57 billones y P&O Princess ocupó el cuarto lugar con beneficios por 301 millones sobre un ingreso de 2.45 billones para el mismo año (Business Research and Economic Advisors, 2004).
Esta alta concentración en la industria convierte la oferta de cruceros en una estructura oligopólica caracterizada por el dominio del mercado, fuerte influencia en el precio del producto y control en el nivel de producción. Al respecto, la Asociación de Estados del Caribe sostiene que “La estructura oligopólica tiene una ventaja clave en cuanto a la simplificación de los esfuerzos en materia de negociación empresarial. No obstante, si un destino tiene una disputa con una Línea, el impacto en el negocio puede entonces ser inmediato y significativo. La región se ha visto afectada ya por amenazas de retiros de barcos” (Asociación de Estados del Caribe, 2009: 1).
Cuadro 1
Principales armadores de cruceros en el mundo
(porcentajes)
|
Grupo |
Capacidad |
Ventas |
|
Carnival Corp. |
24.4 |
30.5 |
|
Royal
Caribbean International & Celebrity |
17.5 |
23.3 |
|
Star
Cruises plc. |
11.5 |
12 |
|
P&O
Princess Cruises plc. |
10.8 |
9.7 |
Fuente: Business Research and Economic
Advisors, 2004.
En lo que respecta a Bahías de Huatulco, el muelle comenzó a operar oficialmente el 29 de abril de 2003, día en que llegaron los cruceros Zaandam y Veendam; el primero con 1,125 pasajeros y 586 tripulantes, y el segundo con 739 pasajeros y 539 tripulantes (sct, 2001). No obstante, anuarios estadísticos anteriores de la Secretaría de Comunicaciones y Transportes demuestran que la historia de los cruceros en Huatulco no empieza precisamente en el 2003, ya que fue en 1990 cuando arribó el primer crucero al puerto. Aunque no existía un muelle de desembarque, los cruceristas eran transportados en lanchas para que tuvieran acceso al destino turístico. Como se aprecia en la gráfica i, la disponibilidad de la infraestructura adecuada ha brindado resultados favorables, especialmente porque la distancia entre los dos últimos puertos de arribo, generalmente Acapulco y Punta Arenas, es larga y era necesario un punto intermedio. La caída que se observa de 1998 a 2001 coincide con el comportamiento de los cruceros en el mundo, que vuelve a repuntar después de 2001, como consecuencia de los ataques terroristas a la ciudad de Nueva York.
2. Recopilación de la información
La principal fuente de recopilación de datos para este estudio consistió en aplicar un cuestionario de 28 preguntas dividido en cuatro secciones. La participación fue voluntaria y las identidades de los entrevistados confidenciales. Se entrevistó sólo a un miembro por familia o grupo cuya edad fuera mayor de 18 años. Se les cuestionó sobre las características del viaje y sus actividades, el grado de satisfacción en el destino, los patrones de gasto, los tours realizados, la disposición a gastar e información demográfica en general. La encuesta se aplicó al crucerista durante el tiempo de espera de abordaje, una vez que había terminado su estancia en Huatulco, durante el periodo comprendido entre septiembre de 2005 y mayo de 2006, obteniendo un total de 365 encuestas válidas para obtener el perfil del turista, no obstante, para el cálculo del modelo hubo que ser más selectivo y sólo se utilizaron 262 encuestas.[1]
Gráfica i
Historial de cruceros en Huatulco

Fuente: Anuarios estadísticos de la sct.
3. Materiales y métodos
El carácter particular del turismo hace que muchas técnicas tradicionales de valoración sean difíciles o inadecuadas para aplicar a estimaciones de valoración y bienestar. Algunos modelos no se pueden utilizar para derivar una función de la demanda por el servicio recreativo, dado que el sitio se visita sólo una vez (Andersson, 2001). Asumiendo que en el área de estudio todos los consumidores pueden visitar la misma (es difícil excluirlos), pero que para algunos visitantes se genera un costo por la congestión del lugar (reduce el disfrute de los individuos), es posible estimar la demanda del consumidor para esta área como la maximización de utilidad de un individuo cuando decide visitar un área recreativa. Las bases generales de la teoría se derivan de la noción básica de que un individuo maximiza su función de utilidad sujeto a una restricción presupuestaria y a una restricción de tiempo (Freeman III, 1993):
MaxU = U (x, z, q)
Donde x representa un vector de los bienes numéricos de consumo privado, z representa el vector de servicios recreativos y q es un vector que denota las características de calidad de las áreas visitadas. La restricción del presupuesto está representada por la siguiente ecuación:
m = wTw = pxx+pzz
Donde m representa el ingreso del visitante, w es el salario de mercado, Tw es el tiempo de trabajo del visitante, px es el precio de los bienes privados, x y pz representan el vector de precio (costo) de las cantidades de z.
El método del costo del viaje permite medir pz en ausencia de mercados de recreación. La gran variedad de modelos que utilizan el costo del viaje son variaciones de la estructura descrita antes (Fletcher et al., 1990). La ventaja de usar este método para estimar valores económicos de uso sobre otros métodos, se debe a la simplicidad de su base de comportamiento, aunque es importante señalar que no está exento de críticas (Mendes y Proenca, 2005). Las versiones del método del costo del viaje más utilizadas en la literatura son los modelos de zona y los modelos individuales. Para el caso particular de este estudio, la técnica más apropiada la representa el modelo de aleatoriedad probit. Loomis (1997) sugiere que el modelo de aleatoriedad probit es de ayuda porque la misma persona responde a series de preguntas dicotómicas respecto a la visita actual, la visita planeada y la disposición a pagar por la calidad del servicio.
La estructura básica del modelo de los efectos de aleatoriedad está representada como sigue:
Zit = βXit + ui + εit, Yit = 1 si Zit > 0, Yit = 0 en otro caso
Donde Zit son los vectores de latentes u observables, Yit representa el indicador, Xit las variables explicativas, β son vectores de coeficientes, i indica los individuos en la muestra y t indica el número de respuestas por persona o visitante; ui son las características específicas inobservables del individuo i, esto es, las perturbaciones (o efectos aleatorios). El registro de la probabilidad de efectos aleatorios probit del modelo descrito por Phaneuf y Smith (2002) es:

Una forma de obtener la información sobre las preferencias reveladas consiste en pedirle al entrevistado que escoja, de entre diferentes cantidades previamente determinadas, cuál es el costo máximo que estaría dispuesto a absorber, obteniendo así respuestas múltiples de un mismo individuo. La mejor forma de analizar esta información es mediante un panel de datos, puesto que por medio del uso de éste se puede controlar la heterogeneidad inherente en el comportamiento de los individuos independientemente de si es observable o no (Loomis, 1997), además de que proporciona datos con más cantidad de información, con mayor grado de variabilidad y con menor nivel de colinealidad entre los regresores; y también aumenta el número de grados de libertad y, por tanto, da lugar a una mayor eficiencia en las estimaciones (Rosenberger y Loomis, 1999). El modelo más apropiado para este tipo de estudio es el probit random effects (probabilidad con efectos aleatorios), no obstante, se determinó utilizar el modelo probit binomial por ser el que mejor ajuste presentó.
4. El modelo empírico
El modelo empírico que contrasta las diferencias entre respuestas de preferencia declaradas y reveladas e incorpora la naturaleza de respuestas múltiples por persona, usando la aproximación del componente de error aleatorio, se desarrolló como:
dapi = β0 + β1cost + β2sat + β3scenic + β4quality +
β5edu + β6age + β7incom + wit
Donde dapi es igual a la unidad si la persona visita el sitio y cero en caso contrario (considerando varios incrementos en el costo), cost es el costo promedio del viaje al sitio, sat es un número índice que mide la percepción de las personas sobre la satisfacción, quality es una variable categórica que determina la importancia de la calidad de los recursos naturales en la decisión de desembarcar en el puerto con 5 para muy importante y 1 para no relevante, scenic mide la importancia de la belleza escénica en la decisión de desembarque, age representa la edad de los entrevistados, edu se refiere al nivel educativo, incom representa los ingresos medios de los visitantes y wit es el error transitorio a través de los individuos. De esta manera, las diferencias en las preferencias individuales tendrán como resultado que algunos individuos cambiarán de la posición de visitar a la de no visitar el área cuando la variable precio cambia.
5. Actividades del turista de cruceros en el puerto[2]
Cuando el turista de cruceros llega a Huatulco, puede disfrutar de una cierta variedad de actividades de recreación tomando algunos de los tours que se le ofrece, entre éstos los más populares son la visita a la ciudad, el recorrido por el área local, la apreciación del paisaje y el paseo en bote (cuadro 2).
El tour local y el de visita a la ciudad son bastante parecidos entre sí, en ellos se lleva al turista a las principales tiendas de artesanías de la localidad: plata, mezcal y telares, y se les motiva a adquirir este tipo de artículos, lo que contribuye, en parte, al desarrollo de la economía local. De acuerdo con Rojas (2007) y Harrigan (2007), en Huatulco desembarca 80% de los cruceristas a bordo; y de éstos, 44% compra algún tour. Aunque la adquisición de éste es mucho más barata en el pueblo que en el crucero, 77% de los entrevistados que compraron un tour aseguraron que lo hicieron por medio de la línea de cruceros. El cruce de información no muestra diferencia significativa alguna en cuanto a reporte de satisfacción entre los que compran vía operadores locales y los que lo hicieron a bordo (gráfica ii). Incluso, la experiencia lleva a asegurar que es exactamente el mismo tipo de tour, la única diferencia es el precio. En el City Tour, por ejemplo, un pasajero que adquiere su boleto en la compañía de cruceros gasta 49 dólares, mientras que ese mismo tour los operadores locales lo venden al turista en sólo 20 dólares (cuadro 3). En entrevista, los prestadores de servicios locales aseguraron que ellos ofrecen un precio único por el servicio, por lo que la diferencia es la ganancia para quien hace la venta directa.
Cabe mencionar que las
compañías de cruceros alientan a los pasajeros para que compren los boletos de tour
a bordo; el sitio web de Carnival, por ejemplo, dice: “Usted no está obligado a
comprar las excursiones a través de Carnival, no obstante, uno de los
beneficios de hacerlo es la garantía de que el barco permanecerá en el puerto
hasta que todos estos clientes estén a bordo” (Carnival, 2006). Otro mensaje
que se puede encontrar en la misma web dice: “Carnival recomienda a sus
huéspedes no involucrarse en excursiones, tours o actividades que no
sean adquiridos directamente a través de Carnival, ya que la empresa no está
familiarizada con ese tipo de servicios”. Sin embargo, las compañías no ofrecen
ninguna garantía de buen servicio, de hecho “no se hacen responsables” por
problemas de los pasajeros (“pérdidas, daños, muerte, lesiones o quejas”).
Cuadro 2
Precio del tour según vendedor
|
Tour |
Precio a
bordo (en dólares) |
Precio en
el pueblo (en dólares) |
|
En bote |
60 |
25 |
|
Catamarán |
100 |
50 |
|
Por la ciudad |
49 |
20 |
|
Ecológico |
39 |
10 |
|
En el área local |
40 |
20 |
|
Escénico |
42 |
15 |
|
Walking |
50 |
20 |
|
Promedio |
53.71 |
22.86 |
Gráfica ii
Frecuencia relativa del grado de satisfacción por tipo de adquisición de tour

6. Gastos en el puerto
Los gastos locales se
informan a continuación en dos formas. El cuadro 4 presenta un cálculo total en
el cual se incluyen las respuestas cuyo valor es cero. Excluyendo los gastos
relacionados con los tours, se podría esperar que un turista de crucero
gaste en Huatulco en promedio 65 dólares. Mientras que en el cuadro 4 se
contemplan sólo las respuestas cuyo valor es positivo. Aproximadamente 78% de
los entrevistados gasta cierta cantidad de dinero, independientemente del gasto
que llegan a realizar en los tours.
Cuadro 3
Gasto promedio del turista de cruceros en el puerto, en el periodo 2006-2007
Todas las respuestas (salvo los gastos por concepto de tour)
|
|
Promedio |
Mediana |
Moda |
Máximo |
Mínimo |
|
Total |
58 |
30 |
0 |
1000 |
0 |
|
Artesanías |
15 |
0 |
0 |
400 |
0 |
|
Productos libres de impuestos |
9 |
0 |
0 |
700 |
0 |
|
Souvenirs |
12 |
0 |
0 |
250 |
0 |
|
Alimentos y bebidas |
10 |
0 |
0 |
200 |
0 |
|
Transporte local |
3 |
0 |
0 |
90 |
0 |
Cuadro 4
Gasto promedio del turista de cruceros en el puerto, en el
periodo 2005-2006 (salvo los gastos por concepto de tour
y las respuestas cero)
|
|
Porcentaje reportado |
Promedio |
Mediana |
Moda |
Máximo |
|
Total |
76.69 |
74 |
40 |
50 |
1,000 |
|
Artesanías |
45.22 |
41 |
25 |
10 |
400 |
|
Productos libres de impuestos |
15.45 |
63 |
30 |
20 |
700 |
|
Souvenirs |
32.3 |
39 |
25 |
20 |
250 |
|
Alimentos y bebidas |
41.57 |
21 |
15 |
10 |
200 |
|
Transporte local |
13.48 |
18 |
11 |
10 |
90 |
Atendiendo al total de los resultados de la encuesta, los turistas de cruceros gastan en promedio en souvenirs 15 dólares, no obstante, si consideramos sólo a aquéllos que gastan en este rubro, el promedio por persona asciende hasta 41 dólares. Comportamiento similar tiene el gasto en bebidas y alimentos, en general obtenemos un promedio de 10 dólares, pero si contemplamos sólo 41.57% de las personas que dijeron consumir este tipo de productos, el gasto por persona resulta en 21.81 dólares. Únicamente 9.43% de la muestra manifestó haber comprado productos libres de impuestos. Este tipo de producto se maneja por separado debido a que tiene poco contenido de materia prima de la región, y por tanto contribuye en poco o nada a la economía local.
7. Análisis de sensibilidad a cambios en el costo del viaje
En estas entrevistas también
se solicitó a los pasajeros que evaluaran su relativa sensibilidad a cambios en
el costo del crucero. De acuerdo con las prácticas comunes del método, se
presentaron a los entrevistados las posibles causas por las cuales el costo del
viaje podría cambiar sin modificar la calidad de la experiencia del mismo. Con
el objeto de conocer su máxima disposición a pagar se le presentaron rangos de
cantidades que iban desde 0 hasta 2,300 dólares por persona. Después se les
preguntó acerca de su decisión de desembarcar en Huatulco, sólo que en este caso
los rangos variaron de 0 a 500 dólares. Las respuestas relacionadas con la
sensibilidad del turista al incremento de costo se muestran en el cuadro 5.
Como se puede apreciar, cerca de 30% de los pasajeros se mostró renuente a un
incremento en el costo, no obstante, el restante 70% manifestó estar dispuesto
a pagar alguna cantidad. Cerca de 50% se encuentra en el rango que va de 50 a
250 dólares y menos de 10% pagaría más de 400 dólares.
Cuadro 5
Máximo incremento que el turista está dispuesto a absorber y aun viajar en crucero
|
Cantidad
(dólares) |
Número |
Porcentaje |
Porcentaje
acumulado |
|
0 |
102 |
28.7 |
28.7 |
|
25 |
22 |
6.2 |
34.8 |
|
50 |
32 |
9 |
43.8 |
|
100 |
55 |
15.4 |
59.3 |
|
150 |
25 |
7 |
66.3 |
|
250 |
55 |
15.4 |
81.7 |
|
400 |
31 |
8.7 |
90.4 |
|
600 |
10 |
2.8 |
93.3 |
|
Más de 600 |
24 |
6.8 |
100 |
Con respecto a la sensibilidad de incremento en el costo para desembarcar, es de esperar un comportamiento similar pero en menor magnitud. Las respuestas a esta pregunta tienen una importancia especial para las autoridades portuarias encargadas de determinar las cuotas por persona. Como se muestra en el cuadro 6, una vez más cerca de 26% se niega a pagar más del costo establecido, pero el restante 74% manifiesta estar de acuerdo con algún incremento. El grueso de la muestra se manifiesta a favor de un incremento entre 25 y 100 dólares, mientras que una pequeña proporción estaría dispuesta a pagar más de 100.
Los turistas de cruceros manifestaron estar dispuestos a cubrir un incremento en promedio de 50 a 250 dólares. Asimismo estarían dispuestos a considerar un incremento en el costo de entre 25 y 100 dólares por persona para desembarcar en Huatulco (cuadro 7).
Cuadro 6
Máximo incremento a pagar y aun así desembarcar en Huatulco
|
Cantidad |
Frecuencia |
Frecuencia relativa |
Frecuencia acumulada |
|
0 |
94 |
26.4 |
26.4 |
|
5 |
15 |
4.2 |
30.6 |
|
10 |
29 |
8.1 |
38.8 |
|
25 |
58 |
16.3 |
55.1 |
|
50 |
65 |
18.3 |
73.3 |
|
75 |
11 |
3.1 |
76.4 |
|
100 |
53 |
14.9 |
91.3 |
|
150 |
13 |
3.7 |
94.9 |
|
200 |
3 |
0.8 |
95.8 |
|
300 |
6 |
1.7 |
97.5 |
|
400 |
2 |
0.6 |
98 |
|
500 |
7 |
2 |
100 |
Cuadro 7
Medidas de sensibilidad a cambios en el costo y máxima disposición a pagar por conservar Huatulco
|
|
Media |
Mediana |
Moda |
|
Máxima dap por vacaciones en crucero |
206 |
100 |
0 |
|
Máxima dap por Huatulco |
55 |
25 |
0 |
8. Resultados del modelo
En el cuadro 8 se muestran los resultados del modelo probit binomial seleccionado para este análisis, por ser el que mejor ajuste presentó. Como se puede observar, todos los signos de las variables son consistentes con las expectativas presentando la variable dependiente en una relación inversa con el costo y la edad, y una relación directa con el grado de satisfacción, la belleza escénica, la calidad de las áreas naturales, el nivel educativo y el ingreso. El coeficiente para el costo es significativo. El ingreso anual, que fue agregado al modelo como variable categórica especificada en nueve intervalos diferentes, que van de 30,000 a 140,000 dólares o más, también presenta un coeficiente significativo. Para el presente análisis las encuestas se aplicaron a los turistas una vez que regresaban al crucero, por lo que parecía interesante incluir el grado de satisfacción manifestada. Los resultados fueron significativos y muestran que a mayor satisfacción mayor disposición a pagar.
Cuadro 8
Resultados de la regresión
|
Variable |
Coefficient |
t-ratio |
Z-stat |
|
cost |
-8.831E-06 |
-2.066 |
0.0389 |
|
sat |
0.00084124 |
3.153 |
0.0016 |
|
scenic |
4.3941E-05 |
0.293 |
0.7698 |
|
quality |
7.2463E-05 |
0.901 |
0.3677 |
|
edu |
0.00012039 |
0.921 |
0.3572 |
|
age |
-0.00025094 |
-2.387 |
0.017 |
|
incom |
0.00024768 |
4.174 |
0 |
|
constant |
0.00047342 |
0.289 |
0.0002 |
|
Log-Likelihood |
-1969.787 |
|
|
8.1. Excedente del consumidor
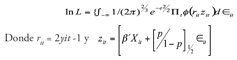
De acuerdo con Hanneman (1994), la disposición a pagar en un viaje con diferentes cuotas de entrada puede obtenerse mediante:
![]()
Aplicando esta fórmula al presente estudio, se obtiene un excedente del consumidor de 48 dólares por persona.
Conclusiones
En este trabajo se presenta una investigación sobre el perfil de gasto del turista de cruceros que visita Bahías de Huatulco, midiendo la sensibilidad de éste ante cambios exógenos en el costo del viaje. El objetivo es identificar si el turista de cruceros podría participar en la obtención de recursos económicos que permitan implementar medidas que garanticen la conservación de las bellezas naturales con que cuenta el destino, y de las cuales depende para seguir manteniendo su pertenencia al Programa Green Globe. Los resultados muestran un excedente del consumidor de 48 dólares por persona. El excedente del consumidor en la teoría económica se entiende como la diferencia entre lo máximo que el individuo estaría dispuesto a pagar por el consumo de un bien en el mercado y la cantidad que efectivamente paga. Este excedente resulta significativo ya que demuestra que el turista de cruceros podría convertirse en una fuente de ingresos destinados a la conservación del destino. Es necesario, no obstante, que la medida que se aplique se sustente en el artículo 21 de la Ley General de Equilibrio Ecológico que establece que “las autoridades de la Federación, los Estados y el Gobierno del Distrito Federal, diseñarán, desarrollarán y aplicarán los instrumentos económicos, en sus respectivas competencias, para incentivar el cumplimiento de los objetivos de la política ambiental” con el objeto de que el dinero recabado por esta vía se asigne efectivamente a la conservación del destino. Lo anterior dará confianza no sólo al turista sino también a la línea de cruceros.
En este estudio se ha podido determinar la sensibilidad del turista de cruceros a cambios en el costo del viaje, así como a cambios en el costo del destino. Se ha mencionado que 30% de los pasajeros no estaría dispuesto a pagar un impuesto de entrada, lo que haría suponer que si se aplica, ese porcentaje de turistas optaría por no desembarcar en el puerto. Esto repercutiría sin lugar a dudas en el ingreso que obtiene el destino por concepto de gasto del turista. Para determinar la conveniencia del impuesto es necesario obtener la elasticidad que permita calcular el monto de pérdida de ingresos y compararlo con la ganancia que se obtendría por conservación; análisis que se sugiere hacer en una investigación posterior.[3] Por otro lado, cuando se mide la sensibilidad a pagar por un incremento en el costo del crucero, simplemente se está teniendo una referencia de la valoración. El estudio no recomienda el incremento en precio de los viajes en cruceros, ya que sería un ingreso que al ser recabado por la línea de cruceros no garantiza su uso en el cuidado ambiental, además de que afectaría la demanda por cruceros y el ingreso percibido por otros destinos.
Dada la problemática que en términos de negociación representa la estructura oligopólica del mercado, obtener el excedente del consumidor resulta un instrumento útil puesto que, de acuerdo con la teoría económica, constituye una aproximación muy cercana al valor que la persona da al producto. La teoría económica sostiene que una de las razones por las que se crean los oligopolios es la alta concentración de capitales; los oligopolistas invierten grandes sumas de dinero en sus empresas con el fin de mantener la diferenciación de su producto. En el caso de los cruceros, la inversión dedicada a la compra, construcción y conservación de flotas es significativa. No obstante, los empresarios deben saber que su producto se compone no sólo de los buques, sino también de los destinos, y contribuir a su conservación implicaría invertir en su producto.
Finalmente, es necesario resaltar la tendencia de las líneas de cruceros por acortar los viajes abaratando el precio, lo que tendrá como consecuencia una afluencia cada vez mayor de personas con menor capacidad adquisitiva, y que a su vez repercutirá directamente en el gasto del turista en los destinos y en el efecto ambiental. Un incremento en la afluencia provocaría mayor pérdida en calidad ambiental, por lo que es necesario preguntarse si realmente es conveniente continuar aceptando las condiciones de las líneas de cruceros, especialmente cuando se sabe que Huatulco es un destino clave en la ruta, ya que se encuentra entre Acapulco y Punta Arenas.
Bibliografía
Andersson,
Jessica (2001), To Estimate Recreational Welfare Measures for International
Tourism, Gothenburg University, Gotemburgo.
Asociación de Estados del Caribe (2009), “Compilación de estudios sobre el impacto del turismo en el Caribe”, asc/2009/sust.tour.xx/inf.006, Barranquilla.
Business
Research and Economic Advisors (2004), “The contribution of the North American
cruise industry to the us economy in 2003”, International Council of Cruise
Lines, Arlington.
Carnival
Corporation (s/f), Shore Excursions Terms and Conditions, www.carnival.com/CMS/Static_Templates/ShoreExcursionsTC.aspx, junio de 2006.
Cuéllar-Río, Manuel y María Teresa Kido-Cruz (2008), “Perfil y análisis del gasto del crucerista: el caso del Bahías de Huatulco (México)”, Cuadernos de Turismo, 22, México, pp. 47-78.
Fletcher,
Jerald, Wictor Adamowicz y Theodore Graham-Tomasi (1990), “The travel cost
model of recreation demand”, Leisure Sciencies, 12 (1), Filadelfia, pp.
119-149.
Fonatur (2001), Programa anual de obras públicas y servicios relacionados con las mismas para el año 2001, Fonatur-bmo, México.
Freeman III,
Myrick (1993), The measuremnet of environmental and resource values: Theory
and methods, Resource for future, Washington, Green Globe International
(2009), www.ec3global.com/products-programs/green-globe/default.aspx, junio de 2009.
Hanemann,
Michael (1994), “Valuing the environment through contingent valuation”, Journal
of Economic Perspectives, 8 (4), Kansas, pp. 19-43.
Harrigan, Miguel (2007), entrevista semiestructurada, Gerente Administrativo del Recinto Portuario de Bahías de Huatulco, Oaxaca, 19 de septiembre.
Loomis, John
(1997), “Panel estimators to combine revealed and stated dichotomous choice
data”, Journal of Agricultural and Resource Economics, 22 (2), Montana,
pp. 233-245.
McCarthy, John
(2003), “The Cruise Industry and Port City Regeneration: The Case of Valletta”,
European Planning Studies, 11 (3), Oxford, UK, pp. 341-350.
Mendes, Isabel
e Isabel Proenca (2005), “Estimating the recreation value of ecosystems by
using a travel cost method approach”, documento de trabajo presentado en el
Permanent Seminar of the Department of Economics, Universidad de Lisboa.
Phaneuf,
Daniel y Kerry Smith (2002), “Recreation Demand Models”, documento no
publicado, North Carolina State University.
Rojas, Arturo (2007), entrevista semiestructurada, delegado del Instituto Nacional de Migración en Bahías de Huatulco, Oaxaca, 14 de septiembre.
Rosenberger, Randal
y John Loomis (1999), “The value of ranch open space to tourists:
combining observed and contingent behavior data”, Growth and Change, 30
(3), Malden, Masachussetts, pp. 366-383.
sct (Secretaría de Comunicaciones y Transportes) (2001), Anuarios estadísticos, varios años, www.sct.gob.mx/fileadmin/CGPMM/estadisticas/anuarios/, junio 2006.
Recibido: 10 de marzo de 2008.
Aceptado: 17 de julio de 2009.
María Teresa Kido-Cruz. Es profesora-investigadora en la Universidad del Papaloapan, Campus Loma Bonita. Es doctora en economía agrícola por la Universidad Autónoma Chapingo (uach). Pertenece al Sistema Nacional de Investigadores en la categoría de candidato y cuenta con perfil Promep. Su línea de investigación es sobre economía de los recursos naturales. Entre sus publicaciones se encuentran: en coautoría, “Análisis comparativo de costos para el manejo y uso de suelo en la cuenca alta del río Cacaluta”, Agrociencia, 41 (3), Colegio de Posgraduados, Texcoco, México, pp. 355-362 (2007); en coautoría, “La calidad de vivienda de los pescadores ribereños medida a través de un índice de correspondencias múltiples”, Universidad y Ciencia, 24, Villa Hermosa, pp. 163-173, (2008); en coautoría, “Perfil y gasto del crucerista que visita Bahías de Huatulco, Oaxaca, México”, Cuadernos de Turismo, 22, México, pp. 47- 78 (2008), Universidad de Murcia (2009); en coautoría, Áreas naturales protegidas, ecoturismo y comunidades aledañas: un análisis económico del santuario de la mariposa monarca en Michoacán, México, Fondo Editorial Morevallado, México (2008).
Manuel
Cuéllar-Río. Es
profesor-investigador de la Universidad del Mar, Campus Huatulco; es Master of
Arts in Economics por la Western Illinois University; licenciado en economía
por la Universidad Veracruzana. Cuenta con reconocimiento Perfil Promep. Sus
líneas de investigación son: desarrollo económico, economía política, pobreza y
economía turística. Entre sus publicaciones más recientes se encuentran:
“Perfil y análisis del gasto del crucerista: el caso de Bahías de Huatulco”,
Cuadernos de Turismo, 22, México, pp. 47-78 (2008); en coautoría, “Contribución
de la actividad turística en el combate contra la pobreza en el estado de
Oaxaca”, Análisis del Turismo, 2, México, pp. 25-34 (2007); en
coautoría, “Estructuras de mercado y eficiencia”, Temas de Ciencia y
Tecnología, 11 (33), Huajuapan de León pp. 3-12 (2007).
[1] Durante la temporada de estudio arribaron 62,841 turistas. Se determinó una muestra de 365 cruceristas asegurando un nivel de confianza de 95% y un error muestral de 5.1%. Del total de cuestionarios aplicados sólo 262 cumplían rigurosamente las preguntas de preferencia declarada. Debido a la escasa variabilidad de gasto el dato permite generalizar resultados.
[2] Para una revisión más amplia y detallada del perfil del crucerista que arriba a Huatulco, véase Cuéllar-Río y Kido-Cruz (2008).
[3] Al respecto, Cuéllar-Río y Kido-Cruz (2008) únicamente comparan la pérdida de ingresos para el puerto con los potenciales ingresos fiscales. Su conclusión es que incluso un impuesto de 5 dólares no le convendría a Bahías de Huatulco.