Ingreso familiar como método de medición de la pobreza: estudio de caso en dos localidades rurales de Tepetlaoxtoc

 

Family income as a method to measure poverty: a study case in two rural localities in Tepetlaoxtoc

 

Armando Rucoba-García

Edilberto Niño-Velásquez*

 

Abstract

 

The present work analyzes the method of poverty lines applied in two rural localities in the municipality of Tepetlaoxtoc, State of Mexico, Mexico. Firstly, we describe globalization and neoliberalism as political-economic factors that have fostered in increment of poverty in Mexico and the methods that are currently used to measure it. Later on, the results are mentioned after carrying out a census related to the income of population in order to determine the family and per capita income level in two rural localities. According to the familial income, strata were formed to classify poor and non-poor families; we found that circa 50% of the families from both localities are in income poverty conditions.

 

Keywords: rural poverty, family income, human needs, Tepetlaoxtoc.

 

Resumen

 

El presente trabajo analiza el método de líneas de pobreza aplicado en dos localidades rurales del municipio de Tepetlaoxtoc, México. Primero se describe la globalización y el neoliberalismo como factores político-económicos que han impulsado el incremento de la pobreza en México y los métodos que en la actualidad se usan para medirla. Posteriormente se mencionan los resultados obtenidos tras realizar un censo en dos localidades rurales relacionado con el ingreso de la población, para determinar el nivel de ingreso familiar y per cápita. Según el ingreso familiar, se conformaron estratos para clasificar familias pobres y no pobres. Se encontró que alrededor de 50% de las familias de las dos localidades se encuentra en condiciones de pobreza de ingresos.

 

Palabras clave: pobreza rural, ingreso familiar, necesidades humanas, Tepetlaoxtoc.

 

* Colegio de Postgraduados, México. Correos-e: arucoba@colpos.mx; edilbert@colpos.mx.

 

 

Introducción

 

El método del ingreso familiar, aunque limitado para medir la incidencia de pobreza, es el más utilizado por las instituciones nacionales e internacionales responsables de las políticas sociales, por medio de las líneas de pobreza (Sedesol, 2002: 5; Banco Mundial, 2001: 6-7). El método, desarrollado a partir de modelos econométricos, considera el nivel de ingreso familiar y por persona como la principal variable que determina el grado de pobreza en una sociedad (Foster et al., 1984).

Los resultados obtenidos con este método han sido analizados y criticados por diversos autores (Boltvinik y Damian, 2003: 101-102; Ornelas, 2006: 90; Cortés, 2002: 15), ya que tiene restricciones que permiten suponer una subestimación de la población pobre.

Los habitantes del municipio de Tepetlaoxtoc, predominantemente rural, se dedicaron durante muchos años a las actividades agropecuarias y de comercio. Debido a las distorsiones del mercado y a la falta de suficientes apoyos al sector, estas actividades han sido relegadas o abandonas por otras que no necesariamente implican obtener un mayor ingreso, aunque representan una alternativa para tener ingresos adicionales destinados a satisfacer las necesidades familiares.

De acuerdo con el inegi (2003: 482), en el año 2000, 60% de la población económicamente activa (pea) del municipio de Tepetlaoxtoc percibía hasta dos salarios mínimos mensuales. Una proporción importante de las familias de este municipio no tuvieron un ingreso suficiente para satisfacer ciertas necesidades básicas a partir del gasto corriente. Adicionalmente, no contaron con acceso a servicios públicos indispensables para cubrir el resto de sus necesidades más apremiantes, por ejemplo drenaje, que hasta diciembre de 2007, al no contar con un colector de aguas negras en las comunidades de San Juan Totolapan y San Pedro Chiautzingo, todas las familias optaban por utilizar fosas sépticas en sus viviendas.

En general, los estudiosos de la pobreza que trabajan con el método de ingresos o líneas de pobreza, no consideran el resto de los satisfactores indispensables que permiten tener un nivel de bienestar socialmente aceptable, y que dependen del funcionamiento y alcance de las políticas públicas, y no del ingreso que tienen o pudieran tener las familias del medio rural.

Este trabajo, como parte de un estudio más amplio, tiene el propósito de analizar dicho método, observando sus alcances y limitaciones, así como su aplicación para medir la pobreza de ingresos en dos localidades del municipio de Tepetlaoxtoc, México.

En primera lugar se presentan los resultados obtenidos a partir de un censo sobre el empleo de la población, el ingreso familiar y por persona. Posteriormente, y como trabajo complementario, se abordarán y publicarán los resultados obtenidos a partir del método de necesidades básicas insatisfechas (nbi) que permita acercarse aún más a la proporción de población pobre que actualmente habita ambas localidades.

 

1. Globalización y neoliberalismo como impulsores de la pobreza

 

Actualmente, entre los factores que influyen en la distribución del ingreso entre la población en México se encuentran la educación, el género, la edad, el sector de ocupación y la región de trabajo. Pero de forma principal y como vertiente de origen para el resto de los factores, se encuentran la estructura económica nacional y las políticas públicas implementadas en el país (Aguilar, 2000: 175-180; 2002: 6).

Aunque el proceso de globalización no es nuevo, es indiscutible que éste se ha acentuado en los últimos 25 años, como consecuencia de las nuevas relaciones políticas y económicas internacionales impuestas por los países desarrollados. Marx y Engels ya mencionaban en el manifiesto comunista que “la burguesía recorre el mundo entero, necesitando anidar en todas partes y crear vínculos en todas partes” (2005: 15). Asimismo, argumentaban que mediante la explotación del mercado mundial, la burguesía había dado un carácter cosmopolita a la producción y consumo de todos los países. Por lo que las antiguas industrias nacionales estaban siendo destruidas y suplantadas por otras nuevas, cuya introducción se convertía en cuestión vital para las países desarrollados, estableciendo un intercambio e interdependencia universal entre las naciones (Marx y Engels, 2005: 16). Estas relaciones entre países se han incrementado de manera sistemática en los últimos años, al grado de que todas las economías del mundo interactúan ampliamente en diversos sectores productivos y de servicios. Por tanto, todo evento político-económico en cualquier parte del mundo puede llegar a afectar el resto de las economías sin ningún obstáculo.

Mota (2002: 192) define la globalización como un proceso de integración económico, político, social y cultural, y menciona que todos los países del mundo y sus economías son interdependientes. Este proceso de globalización tiene la característica de que es muy diversificado para los países en general, pero muy impositivo y excluyente para ciertos sectores de la población mundial, en particular la que pertenece a los países en desarrollo. 

El efecto de la globalización en el plano laboral ha permitido profundizar la división internacional del trabajo: incrementó las jornadas laborales en los países subdesarrollados y entre la clase trabajadora generalizó los bajos salarios, asimismo, además de mantener políticas de contratación y subcontratación temporal de trabajadores, ha ocasionado que exista una mayor población sin seguridad de empleo. Esto no ha sucedido en los países desarrollados, donde se acortan las jornadas laborales y los salarios son mucho más altos que en los países emergentes.

El neoliberalismo, como instrumento ejecutor de la globalización, surge en la posguerra (1947) como el pensamiento que retomaba los principios del liberalismo hacia el intercambio de mercancías en un libre mercado, lo que a su vez permitiría el desarrollo de las sociedades.

Como explica Fiedrich A. Hayek, creador y promotor del neoliberalismo, “Cuando el Estado deja de intervenir en la economía, el hombre consecuentemente es capaz de satisfacer sus necesidades, siempre y cuando concurra en total libertad, en su papel de consumidor, al libre mercado” (Cardoso, 2006: 185-186).

De acuerdo con Barone (1998: 11-12), las principales políticas del neoliberalismo se encuentran en los planos económico e ideológico. En el plano económico se consideran los siguientes principios: 1) libertad absoluta de mercados, lo que implica limitar la reglamentación e intervención estatal al mínimo para la compra-venta de mercancías y la desregularización de los mercados, especialmente el financiero, lo que implica abandonar los criterios de sustentabilidad y adoptar los criterios de rentabilidad; 2) privatización y liquidación de los servicios y monopolios estatales; 3) intervención sobre las variables macroeconómicas para evitar déficits presupuestarios, así como la reducción en inversiones sociales, como salud, educación, y seguridad social; 4) contención de salarios en busca de una competitividad internacional, que permita aumentar la tasa de ganancia del capital; y 5) una contrarreforma fiscal que aumente los impuestos indirectos relacionados con el consumo y disminuya los directos, relacionados con los ingresos altos, además de promover políticas fiscales atractivas para el capital financiero especulativo.

En el plano ideológico se promueve: 1) la comercialización de derechos y conquistas de los trabajadores, como salud, educación y seguridad social, transformados en mercancías al margen de la función estatal; 2) identificar en lo estatal la corrupción y la ineficiencia, y en el mercado lo eficiente y bueno; 3) imposición del pensamiento neoliberal sin opción para otra ideología alternativa; 4) incremento desenfrenado del consumo propiciado por los medios de comunicación; 5) apropiación del lenguaje de las fuerzas progresistas para ocultar su verdadera connotación, por ejemplo, reforma económica estructural; y 6) caracterización ilusoria y utópica de toda opción de organización social diferente y alternativa.

Las vertientes empleadas por el neoliberalismo en Latinoamérica, como el libre mercado y las reformas de ajuste estructural, sólo han profundizado las relaciones capitalistas de producción, resultando en un incremento de la pobreza y marginación en los estratos sociales de menos ingresos (Novelo, 2004: 131; Palacio y Cavallotti, 2001: 15).

En el caso particular de México, la privatización de empresas estatales que generaban bienes y servicios públicos y que se ofertaban a precios subsidiados para sectores de la población con bajos ingresos, condujo al aumento de sus precios, además de que relajó o desapareció los mecanismos mediante los cuales el gobierno intervenía en la economía de las familias con menos ingresos, lo que resultó en un incremento de la población moderada y extremadamente pobre. De acuerdo con datos oficiales, se calcula que la población pobre en México en el año 2006 era de 44.7 millones de personas (Coneval, 2008: 3), aunque otros especialistas aseguran que el nivel de pobreza fue aún mayor: cerca de 74 millones de personas en dicho año (Boltvinik, 2008: 60).

Derivado de la crisis económica que comenzó en Estados Unidos a finales del año 2008 y que se extendió a los demás países, se declaró la extinción del neoliberalismo funcional. Esta extinción es relativa, ya que sus efectos en México se mantendrán por muchos años más, debido a los cambios estructurales que se dieron en el país, desde las reformas hechas a la Constitución, hasta el establecimiento de políticas públicas que impiden disminuir o contrarrestar el problema de la pobreza.

 

2. La pobreza como problema social

 

2.1. Definición de la pobreza

 

Diferentes autores e instituciones han aportado sus definiciones para identificar a la población que se encuentran en condiciones de pobreza. El concepto de algunas de estas definiciones no concuerdan con el método operativo que se utiliza para medir los niveles de pobreza, pues no consideran necesidades que tienen las familias de una determinada sociedad, los satisfactores socialmente empleados que permiten cubrir esas necesidades y la medición del nivel de satisfacción individual, familiar y de grupo.

Para comenzar con el análisis de los métodos de pobreza, es necesario exponer algunas definiciones de pobreza de algunas instituciones internacionales y gubernamentales, que permiten acercarnos a comprender la amplitud de necesidades que se deben considerar para medir la pobreza en una sociedad.

En la definición del Banco Mundial (bm, 2004: 5-6), la pobreza se refiere a un fenómeno multidimensional, que incluye incapacidad para satisfacer algunas necesidades básicas, como alimento y vestido. También considera la falta de control sobre los recursos naturales y económicos, falta de educación y desarrollo de destrezas, salud deficiente, desnutrición, falta de vivienda, acceso limitado al agua y a los servicios sanitarios, vulnerabilidad a la violencia y al crimen, falta de libertad política y de expresión. El bm considera que la pobreza se debe entender a partir de un enfoque multidimensional. Sin embargo, el método de líneas de pobreza, que se utiliza para medir la pobreza en la población, deja de lado la medición de otros factores que se deben considerar porque se encuentran en su definición.

Para la cepal (2000: 83), la pobreza es la carencia de recursos económicos o de condiciones de vida que la sociedad considera básicos, de acuerdo con normas sociales de referencia que reflejan derechos sociales mínimos y objetivos públicos. Estas normas se expresan en términos tanto absolutos como relativos, y son variables en el tiempo y en los diferentes espacios nacionales. La cepal enriquece la definición expuesta por el bm al considerar el nivel de pobreza como una característica que cambia con respecto al tiempo y el espacio, por lo que hace imprescindible su medición de forma periódica y trae como consecuencia posibles adecuaciones en la planeación e implementación de los programas sociales, de acuerdo con la proporción y ubicación de la población pobre.

La Secretaría de Desarrollo Social (Sedesol, 2002: 9), por su parte, considera que las personas pobres son aquéllas cuyo ingreso es insuficiente para cubrir las necesidades de alimentación, salud, educación, vestido, calzado, vivienda y transporte público.

Además de las definiciones expuestas, existen otras de estudiosos de la pobreza y el desarrollo humano. Entre ellos se encuentra Amartya Sen, quien enfatiza en la privación de las capacidades básicas y derechos de las personas para definir la pobreza. En otras palabras, para Sen (1999: 87) la pobreza es la privación de las libertades fundamentales que necesita el individuo para desarrollarse plenamente. Esta definición dada en los años noventa considera que todo aquello que es privativo de un cierto número irreducible de necesidades básicas de la gente, desencadena en la condición de pobreza humana. La pobreza es, por tanto, resultado de la privación de derechos y oportunidades fundamentales de las personas para vivir una vida digna. Este autor añade que existen necesidades universales de los individuos, las cuales pueden ser o no satisfechas de acuerdo con la disponibilidad de ciertos satisfactores dentro de cada sociedad. Esta concepción permite entender que la pobreza es un problema mucho más complejo que sólo considerar la falta del ingreso suficiente para satisfacer las necesidades básicas de la población. La definición de Sen ha influido en diferentes autores, que posteriormente han hecho aportaciones para comprender y dar a conocer el concepto de pobreza humana.

Boltvinik (2005: 10-15) pone énfasis en diferenciar pobreza humana e ingreso insuficiente. De acuerdo con este autor, si la persona no logra desarrollar sus fuerzas esenciales, las cuales se componen por la satisfacción de las necesidades humanas y la aplicación de sus capacidades potenciales, entonces se encuentra en condición de pobreza y no ha alcanzado el florecimiento humano. Esta definición reconsidera los puntos de vista de diferentes autores como Marx, Markus y Sen sobre la realización del ser humano y su libertad de desarrollarse plenamente. De acuerdo con la definición de Boltvinik, existe algo más allá de la satisfacción de las necesidades básicas, que implica la realización plena de los seres humanos de acuerdo con su esencia.

Este concepto de pobreza, aunque con un enfoque distinto, ya había sido analizado por diferentes autores. Niño (1985: 2-7), en su definición de desarrollo, consideraba que las necesidades y capacidades del ser humano no se reducen solamente a las biológicas. Para que éste pueda salir de la pobreza es necesario satisfacer sus necesidades biológicas, pero también sus necesidades inmanentes o esenciales, que tienen que ver con su naturaleza humana. Estas necesidades intrínsecas se encuentran en todas las personas, independientemente de la sociedad en que viven, por lo que es inaceptable que los seres humanos sean reducidos a simples objetos o seres biológicos, sin conciencia propia ni capacidades potenciales.

Esta definición vista desde una perspectiva de realización, se acerca a la definición expuesta por Boltvinik acerca del florecimiento humano. Lo que es importante resaltar es que diversos autores coinciden que para alcanzar el desarrollo humano, es indispensable considerar, además de las necesidades biológicas, las necesidades de realización humana.

Ante toda esta argumentación de lo que pudiera ser la pobreza humana, queremos ubicarnos en el plano de explicación que considera a la pobreza como la falta de ingresos suficientes que impide a las familias satisfacer sus necesidades básicas, como alimentación, vestido, vivienda, salud y educación, así como su influencia limitante en el proceso de aprendizaje de conocimientos y habilidades que conducen al desarrollo del ser humano. En esta concepción es donde actualmente están inmersos los diferentes programas gubernamentales que buscan mitigar la pobreza, y donde se generan los nuevos ajustes que tratan de hacer más eficientes las políticas públicas para disminuir este problema social en el medio rural y urbano.

Es necesario señalar que este intento por contrarrestar la pobreza de ingreso aún es insuficiente, y provoca que sea menos posible alcanzar el florecimiento humano, si primero no se satisfacen las necesidades básicas de cada persona, para después pensar en una realización de forma íntegra y esencial del ser humano.

 

2.2. Medición de la pobreza

 

Existen diferentes métodos para conocer el nivel de pobreza de las familias y sociedades. A continuación se analizan algunos con el objetivo de compararlos, observando las ventajas y desventajas que pudieran tener en su utilización.

 

2.2.1. Método de líneas de pobreza

 

Para la Sedesol (2002: 122), la forma más apropiada de medir la pobreza es mediante líneas de pobreza (lp). La primera de éstas se basa en la alimentación, que se refiere a la estimación del ingreso necesario para comprar una canasta de alimentos que satisfaga un mínimo de requerimientos nutricionales. Esta canasta se calcula por separado para las áreas rurales y urbanas, y se basa en los patrones de gasto en alimentos de los hogares que apenas satisfacen sus necesidades mínimas de alimentos nutritivos, suponiendo que todo el gasto se destine a alimentación.

La segunda línea de capacidades se refiere al ingreso mínimo requerido para cubrir las necesidades de alimentación, así como para sufragar los gastos mínimos en educación y salud. También se calcula por separado para las áreas urbana y rural.

Por último, la tercera línea se refiere al ingreso necesario para acceder a bienes y servicios que proporcionen un mejor nivel de vida y ayuden a aumentar el bienestar, incluye las necesidades de alimentación, salud, educación, vestido, calzado, vivienda y transporte público. Las líneas de pobreza expresadas en ingreso mensual per cápita en pesos se presentan en el cuadro 1.

Los resultados obtenidos a partir de este método han sido analizados y criticados por diferentes autores, debido a su falta de congruencia para identificar a la población que se encuentra en condición de pobreza.

Por ejemplo, Boltvinik y Damian (2003: 101-102) argumentan que la pobreza implica no sólo la insatisfacción en comer suficientemente y en proporción adecuada los alimentos que cumplen con los requerimientos nutricionales de cada persona, sino además implica la limitación en la satisfacción de otras necesidades generadas a partir de la alimentación, en relación con la  primer línea de pobreza. De acuerdo con estos autores, el límite de las necesidades básicas sobrepasa por mucho el margen contenido en las líneas de pobreza. Por otro lado, este método sólo contempla las necesidades que pueden ser cubiertas por el gasto corriente y no considera el acceso a servicios públicos, como agua potable, luz eléctrica, drenaje, educación, salud y el uso del tiempo en actividades extralaborales.

 

Cuadro 1

Líneas de pobreza en México

Ingreso mensual por persona, 2000-2007

Medio

Líneas de pobreza

 

2000

2002

2004

2005

2006

2007

Urbano

 

 

 

 

 

 

Alimentaria

626.0

672.3

739.6

790.7

809.8

842.1

Capacidades

769.9

826.9

909.7

969.8

993.3

1,032.9

Patrimonio

1,258.9

1,351.9

1,487.3

1,586.5

1,624.9

1,689.7

Rural

 

 

 

 

 

 

Alimentaria

492.9

494.7

548.1

584.3

598.7

622.6

Capacidades

586.0

588.3

651.7

690.8

707.8

736.15

Patrimonio

899.5

902.9

1,000.4

1,060.3

1,086.4

1,129.8

Fuente: Coneval (2008).

 

Ornelas (2006: 90) señala que a partir de este método se tiene un punto de vista parcial al situar a los pobres fuera del mercado de trabajo y de consumo, considerando que cuando trabajan y obtienen un ingreso, su dinero servirá para consumir bienes y servicios, permitiéndoles salir de la condición de pobreza.

Cortés (2002: 15), por su lado, reconoce que el método no incluye patrones socialmente aceptados como satisfactores de las necesidades consideradas para medir la pobreza, haciendo más difícil identificar a la población pobre.

Además de lo descrito, es conveniente decir que para poder acercarse un poco más a la realidad social de la que se esté tratando, es necesario formular líneas de pobreza para cada región, considerando las condiciones económicas, culturales y ambientales de acuerdo con patrones culturalmente aceptables.

A manera de conclusión de este método, tal como se utiliza, se debe tener en cuenta que los resultados obtenidos pudieran no incluir una proporción importante de población pobre, por lo que son personas y familias que no tendrían acceso a los programas de asistencia social para tratar de mejorar sus condiciones de vida.

 

2.2.2. Método de necesidades básicas insatisfechas

 

El método de necesidades básicas insatisfechas (nbi) consiste en verificar si los hogares han satisfecho una serie de necesidades previamente establecidas, considerando pobres a aquéllos que no lo han logrado, sin pensar en la capacidad del hogar para satisfacer las necesidades a futuro.

Este método toma como punto de partida, dependiendo de las características de cada país o región, carencias como insuficiencia de la vivienda, hacinamiento, vivienda inadecuada, abastecimiento insuficiente de agua potable, falta de servicios sanitarios para el desecho de excretas, inasistencia de los menores a la escuela primaria, servicio de luz eléctrica y acceso al servicio público de salud (Feres y Mancero, 2001: 24-27). Los hogares que tienen una o más de estas necesidades insatisfechas, se consideran pobres, lo mismo que todos sus miembros. El método se restringe a la selección y medición de necesidades consideradas indispensables por parte de los investigadores (Hernández, 2000: 3) y del criterio apropiado para definir como pobre un hogar (Boltvinik, 1994: 19).

Es necesario resaltar que mientras el método de lp considera la satisfacción de las necesidades mediante un consumo privado corriente, el método de nbi considera la satisfacción de necesidades relacionadas con la implementación apropiada de las políticas públicas y el gasto gubernamental.

Podemos resumir que el método es útil para identificar una pobreza parcial en hogares que no cuentan con los servicios públicos socialmente aceptados para satisfacer las necesidades básicas de las familias, pero en su universo de estudio no se incluye la población que pudiera contar con todos los servicios públicos y no con el ingreso suficiente para satisfacer el resto de las necesidades básicas consideradas en el método de lp. De igual forma, esa población puede estar excluida de los programas sociales, lo cual limita la posibilidad de mejorar su nivel de vida.

 

2.2.3. Método de medición integrada de la pobreza

 

El método de medición integrada de la pobreza (mmip) es el resultado de la combinación de los métodos de lp y nbi. Mediante este método se reconoce como población pobre a la unión de los conjuntos de población obtenidos por ambos métodos (Boltvinik, 1994: 13). Mientras que el método de lp se centra en las necesidades de consumo privado corriente, el nbi lo hace en las necesidades de consumo público.

En el cuadro 2 se presentan las necesidades humanas más importantes que se pueden evaluar con ambos métodos, lo que da como resultado el mmip. Se puede resumir que el nivel de pobreza en cualquier país sería mucho mayor utilizando este método, comparado con la utilización por separado de los métodos de lp y nbi.

De acuerdo con los métodos analizados, el mmip puede ser el más completo para medir la pobreza, ya que considera todas las necesidades socialmente aceptadas para vivir una vida digna. Su única desventaja radica en poder desarrollarlo objetivamente, asignándole a cada necesidad un ponderador apropiado para obtener el indicador final de pobreza (Hernández, 2000: 4).

 

Cuadro 2

Necesidades que se pueden evaluar mediante el mmip

Líneas de pobreza (lp)

Necesidades básicas insatisfechas (nbi)

1. Alimentación

1. Acceso a agua potable

2. Combustible

2. Acceso a drenaje

3. Higiene personal y del hogar

3. Electricidad

4. Vestido y calzado

4. Suficiencia de vivienda

5. Transporte

5. Asistencia escolar de los menores

6. Comunicaciones

6. Nivel educativo de los adultos

7. Recreación y cultura

7. Mobiliario y equipo indispensable en el hogar

8. Gastos en servicios de la vivienda

8. Acceso a servicios públicos de salud

9. Gastos asociados con salud y

     educación

 

Fuente: Boltvinik (1994).

 

2.2.4. Índice de pobreza humana

 

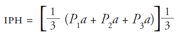
A partir de 1998 el Programa de las Naciones Unidas para el Desarrollo (pnud) estableció un método para estudiar la pobreza en poblaciones o sociedades, llamado índice de pobreza humana (iph) (cepal, 2000: 84). Este índice depende de parámetros como el porcentaje de personas que mueren antes de los 40 años de edad, el de adultos analfabetas, el de personas que no cuentan con agua potable, que no tienen acceso a los servicios de salud, y el porcentaje de niños menores de 5 años con un nivel de desnutrición significativo. El iph se considera de 0 a 100. La fórmula para calcular el índice es la siguiente:

 

 

Donde P1 es el porcentaje de personas que mueren antes de los 40 años de edad; P2 el de adultos analfabetas; el de personas sin agua potable; P32 el de personas sin acceso a servicios de salud; P33 el de niños menores de 5 años con un nivel de desnutrición significativa, y a = 3.

El método, aunque integra el acceso a ciertos servicios públicos por parte de la población, la condición nutricional de los niños menores de 5 años, el analfabetismo de los adultos y la perspectiva de vida de la gente, no toma en cuenta otras necesidades importantes consideradas como básicas en los métodos anteriores. Por otro lado, este método sólo se puede utilizar para grupos de población, sociedades o países, por lo que no es posible que su aplicación permita identificar familias o individuos pobres.

Después de analizar los métodos más importantes de medición de la pobreza, es necesario resaltar que a pesar de sus inconveniencias, el método de lp es uno de los más utilizados en Latinoamérica por los gobiernos para medir la incidencia de pobreza en la población (Batthyány et al., 2004: 6). Esto se debe principalmente a que el ingreso es un factor fundamental (aunque no el único) entre las personas y la satisfacción de sus necesidades básicas.

En México, a partir del año 2002 se utiliza el método de lp, lo que ha dado como resultado la clasificación de población pobre y no pobre a partir de tres líneas de ingresos que integran las necesidades de alimentación, salud, educación, vivienda, calzado y transporte. De acuerdo con la satisfacción de estas necesidades dependerá si una familia y sus miembros son clasificados como pobres. Es sobre todo en la población pobre identificada con el método de lp donde se han focalizado los apoyos económicos para las familias con menos ingreso per cápita, que tratan de disminuir la marginación y pobreza en que se encuentran. 

 

2.3. Los programas gubernamentales para mitigar la pobreza en Tepetlaoxtoc

 

En este municipio inciden programas de gobierno, como Alianza Contigo y Procampo, que buscan disminuir la pobreza de las personas mediante el otorgamiento de apoyos y subsidios a las actividades agropecuarias, se trata de obtener un incremento en la productividad del campo para aumentar los ingresos y bienestar de la población. También operan programas de tipo social para mejorar las condiciones de vida de la población, a partir de apoyos económicos a las familias con menos ingresos, como Oportunidades, Setenta y Más y Empleo Temporal. Estos programas tienen beneficiarios en todas las localidades del municipio, aunque no se ha logrado saber con exactitud cuál ha sido su efecto para disminuir la pobreza (Presidencia Municipal, 2007, información obtenida de forma personal).

Mediante el programa Alianza Contigo, en 2007 se benefició a alrededor de 400 personas en el municipio, con apoyos parciales y asistencia técnica, que consistió en la adquisición de implementos y equipo agrícola, equipo textil, semilla de maíz y cebada, así como asesoría en los manejos productivos y de comercialización de los productos agrícolas.

En el año 2007 el Procampo benefició a unas 500 personas en el municipio con una superficie cercana a 700 ha, con apoyos de 1,160 pesos/ha para superficies de temporal menores a 5 ha y 963 pesos/ha para superficies mayores de 5 hectáreas.

En el caso del programa Oportunidades, en el año 2009, 1,436 familias recibieron apoyos desde 360 hasta 1,500 pesos bimestrales para estudiantes de tercero a sexto grado de primaria, secundaria y preparatoria, además de una ayuda adicional bimestral de 370 pesos para las madres de familia, suma destinada al gasto en alimentación y 100 pesos para gasto en energía eléctrica y gas.

En el programa Setenta y Más, en el año 2007 el número de beneficiarios ascendía a 243 con un apoyo de 500 pesos adulto/mes. Por otro lado, el programa de Empleo Temporal benefició, durante ese mismo año, a 33 personas de forma directa mediante el pago de un salario de 282 pesos persona/semana durante 14 semanas, más una semana de 188 pesos, así como a 33 personas de manera indirecta mediante el otorgamiento de material para construcción de vivienda con un valor aproximado de 1,360 pesos.

Aunque el programa Oportunidades tiene un número considerable de beneficiarios, es importante señalar que todavía no se tiene una evaluación del efecto o beneficio real que ha dejado su implementación en el municipio, en particular en la población con menos ingresos.

 

3. Metodología de investigación

 

El estudio planteado en San Juan Totolapan y San Pedro Chiautzingo, comunidades del municipio de Tepetlaoxtoc, presenta los resultados obtenidos a partir del método de lp para medir la pobreza de ingresos, entendida como el porcentaje de familias que, de acuerdo con sus condiciones socioeconómicas, no han podido satisfacer una o más necesidades básicas.

En su momento se analizará que además de la población considerada como pobre de ingresos, se pueden identificar las familias que se encuentran excluidas de alguno de los servicios públicos, lo que aumenta de forma significativa el número total de familias pobres.

Para abordar el estudio del problema se plantearon cuatro etapas: delimitación del problema de investigación, consulta bibliográfica y documental sobre el problema de investigación, realización de un censo relacionado con el ingreso de la población en dos localidades rurales y el análisis de la información y obtención de resultados, análisis y las conclusiones.

a) Delimitación del problema de investigación. Por medio de entrevistas a informantes clave, entre ellos un ex presidente municipal, el delegado regional de la Secretaría de Desarrollo Agropecuario, el cronista del municipio, el director de desarrollo social y el director de desarrollo agropecuario se delimitó el aspecto territorial creando esquemas de causa-efecto. Posteriormente, dentro de esa problemática territorial, resaltó la magnitud del problema de la pobreza en el municipio, y con base en la información publicada por diferentes instituciones, se definió el tema de investigación.

b) Consulta bibliográfica y documental sobre el tema de investigación. Se consultaron trabajos técnicos y de investigación relacionados con el estudio de la pobreza y métodos de medición e indicadores de la variable de estudio. Se decidió tomar en cuenta a ciertos autores cuyas publicaciones no son tan recientes, pero que sin duda aportaron conceptos que otros estudiosos retomaron para analizar el problema de la pobreza.  

c) Realización de un censo relacionado con el ingreso de la población en dos localidades rurales: San Juan Totolapan y San Pedro Chiautzingo, porque se sitúan en un municipio conurbado a la ciudad de México. Tuvo la finalidad de proveer información sobre el nivel de ingreso anual de las familias y per cápita, la cual se utilizó para conformar estratos de población pobre y no pobre, y así observar el grado de satisfacción de las necesidades básicas (cuadro 3).

Con la dinámica de oferta de empleo y servicios en la capital del país y en la zona conurbada, se pudiera pensar que no existen familias pobres ni marginadas en el municipio. Como se analizará, aunque hay padres de familia que trabajan fuera de la comunidad y tienen la posibilidad de percibir un mejor ingreso, todavía existen carencias en muchas familias que impiden obtener los satisfactores para sus necesidades primordiales. De acuerdo con el inegi (2005), las localidades cuentan con menos de 2,500 habitantes.

La variable utilizada para el estudio fue el ingreso per cápita, considerado como el valor total monetario de los bienes, servicios y dinero que ingresaron a la familia durante un año, repartido entre sus miembros. Se refiere a la cantidad total de dinero que la familia recibió por ventas de productos agropecuarios, forestales, artesanías, apoyos gubernamentales, remesas y venta de mano de obra, más la cantidad de dinero valorizada de los productos agropecuarios, forestales y artesanías de autoconsumo, así como ingresos provenientes de donaciones, todo ello dividido entre el número de miembros de la familia.

Para obtener esta información se diseñó un cuestionario que consideró, de acuerdo con la revisión bibliográfica, todas las posibles actividades económicas realizadas por la población en el municipio y su condición, sean eventuales o permanentes, con contrato o sin contrato, con prestaciones o sin prestaciones, incluyendo las actividades agropecuarias, comerciales, de servicios y otras actividades laborales que generaban ingresos para las familias, así como los apoyos gubernamentales, envío de remesas y donaciones que recibieron durante el año 2007.

Se incluyó un apartado para recabar datos personales de los miembros de la familia, como edad, sexo, parentesco y escolaridad, junto con información sobre el acceso a los servicios públicos indispensables. Así como otro apartado sobre gastos mensuales destinados a necesidades básicas como alimentación, salud y educación con el objeto de compararlos entre estratos de manera familiar y por persona.  El total de familias encuestadas fue de 117 en San Juan Totolapan y 137 en San Pedro Chiautzingo.

 

Cuadro 3

Estratos conformados para el estudio de la pobreza de ingreso en San Juan Totolapan y San Pedro Chiautzingo

Estrato

Ingreso mensual por persona

(pesos)

Denominación por ingresos

i

0 - 650

Pobres con insatisfacción alimentaria

ii

651 - 750

Pobres con insatisfacción en educación

y salud

iii

751 - 1,150

Pobres con insatisfacción en vestido,

vivienda y transporte

iv

> 1,150

No pobres

Fuente: Elaboración propia con base en las líneas de pobreza aproximadas en el año 2007.

 

d) Análisis de la información y obtención de resultados, discusión y conclusiones. Se realizó un análisis estadístico a partir de las características socioeconómicas de las familias por localidad. Así se obtuvo el tamaño de las familias, el género de sus miembros, la edad y escolaridad tanto de los jefes de familia como la de los hijos, las principales actividades económicas de las familias y su estratificación de acuerdo con el ingreso mensual familiar y por persona.

El indicador de ingreso familiar mensual se obtuvo del ingreso familiar anual dividido entre los 12 meses del año, mientras que el de ingreso mensual por persona se obtuvo del ingreso per cápita, dividido también entre 12 meses. Se decidió conformar cuatro estratos para agrupar a la población encuestada de cada localidad, de acuerdo con las líneas de pobreza aproximadas del año 2007 para el medio rural (cuadro 3). Se compararon los gastos promedio mensuales de alimentación, salud y educación por familia y por persona de acuerdo con los estratos.

El análisis del trabajo se centró en el marco teórico expuesto, así como en los resultados obtenidos del estudio. Así, se concluyó de forma general en el estudio de la pobreza como problema social y de manera particular en el estudio de caso.

 

4. Resultados y análisis de la investigación

 

4.1. Estudio sobre pobreza familiar en San Juan Totolapan

 

4.1.1. Organización de la población y servicios públicos

 

La localidad de San Juan Totolapan se organiza principalmente de acuerdo con usos y costumbres. Cada tres años se designan cuatro delegados propietarios o principales, cuatro delegados suplentes y cuatro comandantes o policías locales, que son los responsables de atender los problemas de la comunidad. De igual forma, cada tres años se nombra el Consejo de Participación Ciudadana (Copaci), conformado por un presidente, un secretario, un tesorero y sus respectivos suplentes, además de tres vocales cuya función es gestionar y dirigir la obra pública en la comunidad. Además de los delegados y el Copaci, se elige el Comité de Agua Potable y fiscales o limpiadores de la iglesia.

Las faenas, o trabajo colectivo, son obligatorias para los hombres mayores de edad y deben realizarse de acuerdo con el trabajo en común que se tenga durante el año. Asimismo, la localidad cuenta con festividades como la de San José (19 de marzo), San Juan Bautista (24 de junio) y San Juan Evangelista (27 de diciembre). En cada fiesta se nombran nueve mayordomos que son los responsables de ofrecer la comida a las personas que asistan a ellas.

Por otro lado, todas las familias encuestadas dijeron contar con agua potable en sus viviendas; 92% declaró tener luz eléctrica, mientras que cerca de 30% comentó tener en su vivienda salida al drenaje. A pesar de contar con la infraestructura en las viviendas para la conexión al drenaje, de acuerdo con información proporcionada por las autoridades municipales, todavía no se tiene un colector de aguas negras, por lo que en todos los hogares se utilizan fosas sépticas para el deshecho de excretas.

       El 97% de los padres de familia dijo que sus hijos tuvieron la oportunidad de estudiar, aunque hubo casos en que comentaron que alguno de sus miembros no pudo continuar por motivos económicos. El servicio de atención médica es uno de los aspectos donde las personas presentan más gastos, ya que sólo 32% de las familias dijo tener servicio médico de alguna institución de salud para la atención de sus miembros, mientras que el resto tiene que pagar el seguro popular o acudir a consulta con un médico particular.

De forma preponderante, los servicios de drenaje y de salud siguen siendo acciones pendientes de las políticas públicas para que los habitantes adquieran un mayor nivel de bienestar y seguridad.

 

4.1.2. Situación socioeconómica de las familias

 

Tamaño. El tamaño promedio fue de cinco miembros, incluido el jefe de familia, el o la cónyuge, los hijos y otros parientes, con un mínimo de dos y un máximo de 11. Los más frecuentes fueron los grupos familiares integrados por cuatro y cinco miembros (44.4%), seguidos por los de dos y tres miembros (22.2%); los de seis y siete miembros (19.6%) y por último los grupos de ocho miembros o más (11.9 por ciento).

El género. Del total de familias, 3.4% presenta como jefe de familia a una mujer, quienes son madres separadas o viudas. Por lo que se puede apreciar, aun cuando el padre se encuentre trabajando en otros lugares y las madres también trabajen, las esposas siguen viendo al marido como la persona de máxima autoridad en el hogar.

Del total de hijos registrados, 52.8% son hombres y 47.1% mujeres. Por otro lado, cerca de 24% de las familias integraba entre sus miembros, además de los hijos, a parientes como tíos, abuelos, yernos, nueras, entre otros.

Edad y escolaridad. La edad promedio de los jefes de familia fue de 46.9 años, con un mínimo de 23 y un máximo de 87. El 62.3% de éstos tuvo 50 años o menos, lo que indica que más de la mitad de los jefes de familia es relativamente joven y apta para continuar apoyando económicamente a sus familias. En lo que se refiere a escolaridad, el promedio de años cursados es de 6.46, lo que indica que estudiaron la primaria completa, aunque una gran parte de ellos asistieron algunos años o no asistieron a la primaria; de la misma forma, 91.5% sabía leer y escribir y 34.1% cursó hasta tercero de secundaria.

Edad y escolaridad de los hijos. Del total de hijos varones, 93.2% tenía 30 años o menos y de las hijas el porcentaje fue de 91.7%. Esto refleja que la gran mayoría de las familias están integradas por personas jóvenes.

La escolaridad promedio de los hijos mayores de seis años es de 7.5, años y para las hijas de 7.8 años, lo que indica que estudiaron hasta segundo y tercero de secundaria. No es el caso de los abuelos o personas de más edad, que en su mayoría no terminaron la primaria. De acuerdo con los datos obtenidos, son pocas las personas que han podido estudiar una carrera de educación superior en la localidad.

Actividades económicas. En general, la población económicamente activa (pea) de San Juan desempeña diversas labores por familia, entre las que destacan actividades permanentes o eventuales como empleados de instituciones gubernamentales, empresas privadas, o simplemente como mano de obra asalariada, además de actividades por cuenta propia como la agricultura, la ganadería y la explotación forestal.

Alrededor de 52% de las familias expresó trabajar o tener algún miembro empleado en instituciones de gobierno y/o empresas privadas; 48.7% dijo que algún miembro realizaba actividades agropecuarias y forestales, sobre todo en la producción de maíz, cebada y haba, además de la engorda de ganado bovino y ovino. El 25.6% de las familias comentó que un miembro se dedicaba al comercio, mientras que 23% se encontraba empleado como jornalero; 18.8% se dedicaba a las artesanías y 5.9% indicó que labora en albañilería.

Un 42.7% de las personas empleadas en la localidad cuenta con un trabajo permanente, y 52.1% tiene contrato de trabajo y prestaciones de ley. El 53.8% tiene empleos eventuales y 47.8% trabaja sin contrato. Aproximadamente la mitad de la pea de la localidad no tiene un empleo permanente, y una proporción similar no tiene contrato de trabajo. La situación de ambos grupos es prácticamente la misma. Ésta es la población más vulnerable, que se tiene que enfrentar a la carencia de recursos monetarios y patrimoniales, servicios públicos insuficientes y cuyos hijos no tienen una preparación para obtener un empleo bien remunerado y mejores condiciones de vida.

Estratificación de las familias de acuerdo con el nivel de pobreza. El 46.9% de las familias tenía alguna condición de pobreza de ingresos, mientras que 53.1% son consideradas familias no pobres. En el cuadro 4 se presentan los porcentajes de familias que conforman los estratos en relación con el nivel de ingreso de la población.

De acuerdo con los estratos conformados en la metodología de investigación, al estrato iii que incluye a las familias que no cuentan con el suficiente ingreso para satisfacer necesidades de vestido, calzado, vivienda y transporte público, corresponde 29% del total de familias (cuadro 4). En este estrato, los gastos familiares promedio mensuales destinados a satisfacer las necesidades de alimentación, salud y educación de la familia fueron de 2,372.7, 347.3 y 461.1 pesos, respectivamente (cuadro 5).

 

Cuadro 4

Estratificación de las familias según el ingreso mensual por persona

Estrato

Ingreso mensual por persona

(pesos)

Denominación por ingresos

Porcentaje

de las familias encuestadas

i

0 - 650

Pobres con insatisfacción alimentaria

12.8

ii

651 - 750

Pobres con insatisfacción en educación

y salud

5.1

iii

751 - 1,150

Pobres con insatisfacción en vestido,

vivienda y transporte

29.0

iv

> 1,150

No pobres

53.1

Fuente: Elaboración propia con base en datos de la encuesta.

 

Cuadro 5

Gasto familiar promedio mensual destinado a alimentación,

salud y educación por estrato (pesos)

Estrato

Ingreso por persona

Alimentación

Salud

Educación

i

0 - 650

1,293.30

140.00

306.70

ii

651 - 750

2,280.00

279.00

452.00

iii

751 - 1,150

2,372.70

347.30

461.10

iv

> 1,150

2,795.10

570.40

822.30

Fuente: Elaboración propia con base en datos de la encuesta.

 

Se encontró que 12.8% (cuadro 4) de las familias no cuentan con el suficiente ingreso para satisfacer sus necesidades alimentarias (estrato i); asimismo, los gastos familiares promedio mensuales destinados a satisfacer las necesidades de alimentación, salud y educación, respectivamente, fueron de 1,293.30, 140 y 306.70 pesos (cuadro 5).

Para el caso de las familias que se clasifican en el estrato ii, cuyo ingreso no les permite cubrir los gastos en educación y salud, corresponde a 5.1% (cuadro 4). Ahora bien, dentro de este estrato, los gastos familiares promedio mensuales destinados a satisfacer las necesidades de alimentación, salud y educación fueron de 2,280, 279 y 452 pesos, respectivamente (cuadro 5).

Por último, y para fines comparativos, el estrato de la población no pobre, que se encontró en 53.1% (cuadro 4), los gastos familiares promedio mensuales destinados a satisfacer las necesidades de alimentación, salud y educación fueron de 2,795.10, 570.40 y 822.30, respectivamente (cuadro 5).

Con el objetivo de analizar la información por miembro de cada familia, en el cuadro 6 se presentan los gastos promedio por persona de forma mensual en alimentación, salud y educación por estrato.

Como es posible apreciar, este cuadro sólo confirma lo que ya se había analizado en el cuadro de gastos mensuales promedio por familia. El gasto promedio mensual por persona en alimentación del estrato iv es 27.2% mayor que el del iii, 32.4% mayor que el del estrato ii y 62.9% mayor que el del i. El gasto mensual promedio por persona en salud del estrato iv es 47.8% mayor que el del iii, 59.5% mayor que el del estrato ii y 80.3% mayor que el del estrato i. El gasto promedio mensual por persona en educación del estrato iv es 51.9% mayor que el del iii, 54.5% mayor que el del estrato ii y 70.1% mayor que el del estrato i.

A partir del gasto mensual promedio familiar es posible conocer lo que cada estrato destina a tres necesidades fundamentales en la población: alimentación, salud y educación, además de analizar las diferencias entre los cuatro estratos, lo que refleja en buena medida la desigualdad existente entre las familias y las limitaciones de la población que cuenta con un bajo ingreso para acceder a mejores niveles de bienestar.

 

Cuadro 6

Gasto promedio mensual por persona en alimentación,

salud y educación por estrato (pesos)

Estrato

Ingreso

Alimentación

Salud

Educación

i

0 - 650

215.55

23.33

51.12

ii

651 - 750

393.10

48.10

77.93

iii

751-1,150

423.70

62.02

82.34

iv

> 1,150

582.31

118.83

171.31

Fuente: Elaboración propia con base en datos de la encuesta.

 

4.2. Estudio sobre pobreza familiar en San Pedro Chiautzingo

 

4.2.1. Organización de la población y servicios públicos

 

En San Pedro Chiautzingo cada tres años se designan tres delegados propietarios, tres delegados suplentes y 20 comandantes o policías locales que son los responsables de atender los problemas de la comunidad, además del comité de agua potable local. El Comité de Participación Ciudadana (Copaci), que es responsable de gestionar y dirigir la obra pública en la comunidad, también se conforma cada tres años, se designa un presidente, un secretario, un tesorero y cuatro vocales.

Aquí también las faenas en la comunidad son obligatorias para los hombres mayores de edad y deben realizarlas por lo menos una vez al año, de acuerdo con el trabajo que se tenga en la localidad. Las principales festividades de la comunidad son: San Pedro (29 de abril), San Pablo (29 de junio), San Sebastián (19 de enero) y San Miguel (29 de septiembre). Durante la fiesta principal, que es la de San Pedro, se nombran 40 mayordomos patronales, responsables de organizar la comida para las personas que asisten a la fiesta.

El 98% de las viviendas cuenta con energía eléctrica y todas con agua potable, y aunque la gran mayoría tiene salida al drenaje, al igual como sucede en San Juan Totolapan, en los hogares se ha optado por utilizar fosas sépticas debido a la falta del colector de aguas negras en la comunidad.

Prácticamente todos los padres de familia (98%) afirmaron que sus hijos tienen acceso a la escuela, pero su estancia en ella depende en gran medida de su situación económica. Sólo 28% de las familias cuenta con atención médica por parte de alguna institución de salud pública, mientras que el resto se ve obligado a pagar el seguro popular o acudir a un médico particular.

 

4.2.2. Situación socioeconómica de las familias

 

Tamaño. El tamaño promedio de las familias fue de cuatro miembros, incluido el jefe de familia, el o la cónyuge, los hijos y otros parientes, con un mínimo de dos y un máximo de nueve. Los grupos familiares más frecuentes fueron los conformados por cuatro y tres miembros (52.5%), de cinco (16%), de seis (10.2%), de dos (8%) y de siete miembros o más (9.4%). También se encontraron hogares donde vivía sólo una persona (3.6 por ciento).

Género. El 7.2% presenta como jefe de familia a una mujer, quienes son madres separadas o viudas. En general se sigue viendo al padre como la máxima autoridad en el hogar cuando la familia cuenta con el padre y la madre. El 53.9% de los hijos fueron hombres y 46% mujeres. Aproximadamente en 11% de los hogares vivían familias extensas, que incluían abuelos, tíos, yernos, nueras, entre otros.

Edad y escolaridad de los jefes de familia. La edad promedio fue de 47.4 años, con un mínimo de 21 y un máximo de 88 años. El 63.7% de los padres de familia tuvieron 50 años o menos, lo que muestra que más de la mitad de las personas con mayor autoridad en el hogar son relativamente jóvenes y aptas para seguir apoyando a su familia. Su promedio de escolaridad fue de 7.3 años, lo que indica que terminaron la primaria y estudiaron el primer y segundo año de secundaria, aunque una gran parte de ellos asistieron sólo algunos años o no asistieron a la primaria. El 75% terminó la primaria y 48.4% finalizó la secundaria. El 93.1% de los padres de familia sabe leer y escribir.

Edad y escolaridad de los hijos. El 90% de los hijos tenía 30 años o menos, y 91% de las hijas tenía 30 años o menos, por lo que se concluye que la gran mayoría de las familias se encuentran conformadas por gente joven. La escolaridad promedio para los hijos mayores de seis años es de 8.3 años, mientras que para las hijas es de 8.1, lo que indica que en promedio los hijos e hijas estudiaron hasta el segundo de secundaria de forma general. De acuerdo con la información obtenida, los hijos que han terminado una carrera de educación superior son pocos.

Actividades económicas. La cercanía con la cabecera municipal, el municipio de Texcoco y la ciudad de México permiten a un sector considerable de la población de la localidad emplearse en estos lugares. La población restante desempeña otros trabajos en la comunidad como albañiles, choferes, jornaleros o productores agropecuarios. El 13.8% de los padres de familia trabajaban como albañiles, mientras que 11.6% dijo que se empleaban como jornaleros en el municipio. Otro 11% comentó que eran obreros en Texcoco y en la ciudad de México, en tanto que 10.2% son comerciantes. Solamente 7.2% mencionó dedicarse a trabajar la tierra, donde destacan los cultivos de maíz, cebada y trigo.

Además de estos empleos, los jefes de familia desempeñan otros oficios como secretarias, choferes, costureras, policías, empleadas domésticas, entre otros. Un 35% tenía un empleo permanente, pero sólo 15.9% tenía un contrato de trabajo y prestaciones de ley, y el resto labora en actividades particulares, como el comercio y la agricultura. El 63.5% no contaba con un empleo permanente, lo que implica que viven prácticamente al día, habitan en casas humildes, en condiciones precarias, con un mínimo de pertenencias y en riesgo de quedar sin patrimonio en caso de alguna emergencia, como puede ser el pago del servicio médico en caso de enfermedad de algún miembro o cualquier otra situación que requiera un gasto fuerte eventual.

Estratificación de las familias de acuerdo con el nivel de pobreza. El 49% presentaba alguna condición de pobreza de ingreso, mientras que 51% son consideradas familias no pobres. En el cuadro 7 se presenta el porcentaje de familias que conforman los estratos de acuerdo con el nivel de ingreso de la población.

El estrato iii (28.4%) incluye a todas las familias que no cuentan con el ingreso suficiente para satisfacer sus necesidades de vestido, calzado, vivienda y transporte público (cuadro 7). En este estrato, el gasto familiar promedio mensual destinado a satisfacer las necesidades de alimentación, salud y educación fue de 2,054.50, 487.50 y 585.30 pesos, respectivamente (cuadro 8).

 

Cuadro 7

Estratificación de las familias según el ingreso mensual por persona

Estrato

Ingreso por persona

(pesos)

Denominación por ingresos

Porcentaje

de las familias encuestadas

i

0 - 650

Pobres con insatisfacción alimentaria

10.9

ii

651 - 750

Pobres con insatisfacción en educación y salud

9.4

iii

751 - 1,150

Pobres con insatisfacción vestido,

vivienda y transporte

28.4

iv

> 1,150

No pobres

51.0

Fuente: Elaboración propia con base en datos de la encuesta.

 

Cuadro 8

Gasto familiar promedio mensual destinado a alimentación,

salud y educación por estrato (pesos)

Estrato

Ingreso por persona

Alimentación

Salud

Educación

i

0 - 650

1,384.10

251.60

432.30

ii

651 - 750

1,863.60

332.70

489.20

iii

751 - 1,150

2,054.50

487.50

585.30

iv

> 1,150

2,836.90

643.70

948.50

Fuente: Elaboración propia con base en datos de la encuesta.

 

El 10.9% de las familias no cuenta con el suficiente ingreso para satisfacer sus necesidades alimentarias (cuadro 7). El gasto familiar promedio mensual destinado a cubrir alimentación, salud y educación, respectivamente, fue de 1,384.10, 251.60 y 432.30 (cuadro 8).

El porcentaje de las familias cuyo ingreso no les permite cubrir los gastos de educación y salud correspondiente al estrato ii fue de 9.4% (cuadro 7). Ahora bien, dentro de este estrato, los gastos familiares promedio mensuales destinados a satisfacer las necesidades de alimentación, salud y educación fueron 1,863.60, 332.70 y 489.20 pesos, respectivamente (cuadro 8).

Por último, y para fines comparativos, en el estrato de la población no pobre, que se encontró en 51% de las familias encuestadas (cuadro 7), el gasto familiar promedio mensual para cubrir alimentación, salud y educación fue de 2,836.90, 643.70 y 948.50, respectivamente (cuadro 8). El gasto promedio mensual por persona en alimentación, salud y educación por estrato se presenta en el cuadro 9.

 

Cuadro 9

Gasto promedio mensual por persona en alimentación,

salud y educación por estrato (pesos)

Estrato

Ingreso mensual por persona

Alimentación

Salud

Educación

i

0 - 650

307.50

55.90

96.00

ii

651 - 750

396.50

70.70

104.00

iii

751 - 1,150

466.90

110.80

133.00

iv

> 1,150

709.20

160.90

237.10

Fuente: Elaboración propia con base en datos de la encuesta.

 

De acuerdo con el cuadro 9, el gasto promedio mensual por persona para alimentación del estrato iv es 51.8% mayor que el del iii, 78.8% mayor que el del estrato II y 130.6% mayor que el del i. El gasto mensual promedio por persona en salud del estrato iv es 45.2% mayor que el del iii, 127.5% mayor que el del ii y 187.8% mayor que el del estrato i. El gasto promedio mensual por persona en educación del estrato iv es 78.2% mayor que el del iii, 127.9% mayor que el del ii y 146.9% mayor que el del estrato i.

 

5. Discusión

 

El modelo neoliberal y el proceso de globalización son, sin lugar a dudas, antecedentes indispensables, de forma teórica y práctica, para explicar por qué en muchos países los gobiernos han adoptado el método de líneas de pobreza para medir la pauperización entre la población.

Las familias de cualquier sociedad y sus miembros tienen necesidades que deben ser satisfechas. De acuerdo con el pensamiento neoliberal, los satisfactores de estas necesidades de la población se deberían obtener en el libre mercado y no esperarlos como resultado de la intervención gubernamental.

Las grandes empresas y organizaciones lucrativas nacionales e internacionales abogan para que los gobiernos en turno promuevan la desregularización de los mercados, permitiéndoles apropiarse y/o crear satisfactores, imponiendo precios a los bienes y servicios que a ellos más les convienen, los cuales tendrían que ser adquiridos por la población, con la consecuente generación de utilidades.

No es el objetivo esencial de las políticas de ajuste estructural el contrarrestar la pobreza entre la población, sino más bien promover la generación de altos ingresos y ganancias a las empresas mediante la comercialización de bienes y servicios. Los beneficiados en mayor medida del establecimiento del neoliberalismo y del fortalecimiento de la globalización son los dueños del capital, como lo mencionaron en su momento Marx y Engels, indicando que la mayoría de la población siempre se encuentra en desventaja para acceder a mejores niveles de bienestar. El modelo en sí mismo propicia la desigualdad al enriquecer aún más a las clases más ricas y empobrecer más a las clases con medio y bajo poder adquisitivo.

Las reformas estructurales generan mayor desigualdad en la distribución de los recursos públicos, que al convertirse en privados son acumulados por pocas personas. A partir de la crisis creada por el modelo neoliberal en México durante los años noventa del siglo xx y principios del xxi, el número de familias alcanzadas por la pobreza ha crecido con rapidez, ya que de acuerdo con datos extraoficiales, en el año 2006 tres cuartas partes de la población en el país se encontraba en condiciones de pobreza.

Al no tener las condiciones políticas, económicas y sociales que permitan a las personas satisfacer sus necesidades, éstas prefieren delinquir en lugar de verse imposibilitados para aportar un ingreso a su familia, originando otros problemas de interés público.

A partir del método de lp se busca legitimar ante la sociedad que el problema de la pobreza se debe a la falta de un empleo bien remunerado, cuyo ingreso se podría utilizar para satisfacer los requerimientode las familias, y no necesariamente del ejercicio y resultado de las políticas públicas. En todo caso, el método de lp es congruente con el modelo neoliberal, al considerar que las necesidades de las personas pueden y deben ser satisfechas en el libre mercado, sin la intervención gubernamental.

Si se considera que todas las necesidades se pueden satisfacer por medio del gasto corriente, entonces la obligación de la población es tener un empleo bien remunerado e ingresos suficientes para satisfacer cualquier necesidad, y el gobierno no tendría la obligación de destinar más recursos a educación, salud y seguridad social, cuyos presupuestos serían orientados a otros sectores.

Aun dentro del mismo método de lp, se evita considerar necesidades como el esparcimiento cultural y recreativo, lo que impide a las personas recrear sus conocimientos y habilidades artísticas, así como destinar tiempo para atender las inquietudes que les demanda su necesidad de realización personal.

El método de líneas de pobreza llega a ser un instrumento de medición, que permite legitimar ante la sociedad las políticas públicas y el uso de los recursos, aunque esto implique dejar de lado la intención real de identificar a la población que se encuentra en condición de pobreza, lo que permitiría establecer acciones públicas con mayor pertinencia para contrarrestar el problema.

El municipio de Tepetlaoxtoc es predominantemente rural, allí sus pobladores no han podido satisfacer sus principales necesidades básicas, derivado entre otras cosas del reducido presupuesto asignado para infraestructura y servicios públicos en las localidades, y por la ineficacia de las acciones de los gobiernos locales en turno. Estos gobiernos no sólo han tenido una visión limitada para generar estrategias de desarrollo municipal integral, sino que se han preocupado por favorecer intereses de grupo, más que los intereses y necesidades de la población en su conjunto.

En primera instancia, los resultados obtenidos a partir de este estudio permiten conocer el nivel de pobreza de ingresos de la población del municipio en el medio rural, así como acercarnos a comprender la lógica de las familias en cuanto a su situación socioeconómica y su intención en buscar prepararse para tener un mejor nivel de vida.

A pesar de que se encuentran relativamente cerca de uno de los principales centros con oferta de trabajo –la ciudad de México–, el nivel de pobreza de ingresos es alto de acuerdo con la estratificación de las familias en las dos localidades de estudio: 47% de los hogares en San Juan Totolapan, y 49% en San Pedro.

El nivel de pobreza encontrado en las localidades de Tepetlaoxtoc no es otra cosa que el resultado de las acciones de los gobiernos locales, imagen a menor escala de lo que sucede en el ámbito nacional. Las reformas estructurales y las acciones de gobierno, impiden destinar en cantidad y de forma equitativa los recursos públicos para promover el desarrollo entre las localidades del municipio.

Aproximadamente la mitad de la población en San Juan Totolapan no cuenta con un empleo permanente. El porcentaje de la población en las mismas condiciones en San Pedro Chiautzingo es todavía mayor. Esta población es la que tiene mayores necesidades, pues destina prácticamente todo su ingreso a alimentación, con un patrimonio reducido, que en general consta de una vivienda humilde, algunos muebles y enseres domésticos, y cuyos hijos, en muchos casos, no asisten a la escuela por falta de recursos para pagar sus útiles escolares, el transporte y otros gastos adicionales. En esta población se reproduce y perpetúa la pobreza, al no tener opciones que les permitan salir de su condición precaria y de falta de oportunidades para mejor su nivel de vida.

Un factor cultural que incide en la generación de la pobreza municipal es el desinterés por la educación, sumado a la falta de recursos para prepararse. Los jóvenes en edad productiva presentan falta de conocimientos y habilidades para aspirar a un mejor ingreso. Como ya se analizó en el estudio, el nivel máximo de estudios promedio de los padres de familia y de los hijos es la secundaria.

Los jóvenes en edad de estudiar y quienes han abandonado las actividades agropecuarias debido al poco margen de utilidad, se emplea en trabajos eventuales mal pagados, sin contrato y sin prestaciones, y cuyo ingreso debe ser destinado para satisfacer las necesidades apremiantes de los miembros de la familia. Aguilar (2000: 170-175) menciona la educación y la posesión previa de la riqueza como factores que llegan a incidir en la distribución posterior del ingreso entre la población, lo que explicaría en parte por qué a las familias les cuesta tanto salir de la pobreza.

Una estrategia que ha permitido a las familias poder satisfacer ciertas necesidades a pesar de los bajos ingresos, es la integración de núcleos de familias extensas, las cuales se encuentran conformadas por los abuelos, padres, hijos, que en el caso de estar casados, sus esposas e hijos también habitan en la vivienda. En estos grupos las personas en edad de trabajar aportan el ingreso que se destina a satisfacer necesidades, compartiendo gastos en común, principalmente de alimentación, vestido y vivienda.

En segunda instancia, el estudio nos ayuda a reconocer las limitaciones del método de lp para medir la pobreza ya que, de manera particular, si llegáramos a utilizar el método de nbi para medir la pobreza en las dos localidades y se comparara con el obtenido por lp, ciertas familias quedarían incluidas por ambos métodos en el estrato de familias pobres, pero un porcentaje de ellas serían pobres sólo de acuerdo con un método, por lo que a la hora de unir las proporciones de ambos métodos, el porcentaje de población pobre se incrementaría de forma significativa. Por el solo hecho de que toda la población todavía no cuente con acceso a un servicio público indispensable, como el drenaje, quizás todas las familias tengan que ser consideradas en la condición de pobreza.

Por otro lado, si se decidiera utilizar el mmip, de igual forma se incrementaría el porcentaje de población pobre, debido al número de familias que no cuentan con acceso a servicios públicos de salud, y al total de familias que no cuentan con drenaje, además de las personas que no tienen los recursos económicos ni el tiempo para destinarlo en actividades recreativas y culturales.

 

Conclusiones

 

El modelo neoliberal ha sido un instrumento eficiente para propiciar la acumulación de capital, particularmente entre los países desarrollados. A partir de mecanismos desigualadores, como el libre comercio y las reformas económicas estructurales, los países industrializados fortalecen las relaciones de subordinación y dependencia que tienen los países subdesarrollados hacia ellos. La globalización, sin ser un proceso nuevo, ha modificado las relaciones políticas y económicas en el mundo, principalmente en beneficio de los países industrializados, los cuales han obtenido ventajas de los tratados de libre comercio y de las reformas de ajuste estructural propuestas por organismos internacionales, como el Banco Mundial y el Fondo Monetario Internacional.

A partir de su implementación en México, el modelo neoliberal ha impulsado el retiro gubernamental de los sectores económico y social. Diferentes instituciones y empresas de gobierno han sido desaparecidas o privatizadas con el objeto de evitar la participación y dirección del gobierno, dejando este papel a la iniciativa privada y reorientando el presupuesto hacia otros sectores supuestamente más importantes. De igual forma, se han eliminado los mecanismos mediante los cuales el gobierno controlaba los precios de los productos de mayor consumo por la población, incluidos los de primera necesidad, como los agroalimentarios, dejando el equilibrio de los precios a la ley de la oferta y la demanda.

En el medio rural, implica un mayor riesgo de pérdida para el productor agropecuario y un mayor precio de los productos para el consumidor, todo ocasionado por el libre mercado. Esta crisis ha obligado a muchas familias del medio rural a buscar otras fuentes de empleo e ingreso, generando el semiabandono o abandono total de una gran cantidad de empresas familiares y unidades campesinas de producción. Ante la necesidad de obtener ingresos, los miembros de las familias han tenido que emigrar a las ciudades o al extranjero para emplearse, generalmente, en trabajos mal remunerados cuyo ingreso es insuficiente para satisfacer las necesidades básicas de la familia.

El modelo neoliberal ha abonado para aumentar el empobrecimiento de la población. Aunque los gobiernos en turno en México adoptaron sus principios de forma demagógica como bandera de lucha contra la pobreza y para promover el desarrollo nacional, en la práctica tal situación no se acerca a la realidad que se observa en los medios urbano y rural. El modelo económico, como han mencionado muchos estudiosos, promueve la desigualdad, la distribución inequitativa de la riqueza y la consecuente disminución en el nivel de vida de la mayoría de la gente.

A partir del método de lp, cuyos principios se fundamentan en el modelo neoliberal, es posible medir la proporción de la población cuyo ingreso es insuficiente para satisfacer necesidades relacionadas con alimentación, salud, educación, vestido, vivienda y transporte, pero no considera la proporción de la población que no tiene servicios públicos, ni las familias que no pueden destinar tiempo y recursos a las actividades recreativas y culturales. El método, para un mayor acercamiento a la proporción de familias que se encuentran en pobreza, debería ser contrastado y complementado con otro método. Para fines comparativos, posteriormente se presentarán los resultados obtenidos a partir del método de nbi en las dos localidades.

 

Bibliografía

 

Aguilar, Genaro (2000), Desigualdad y pobreza en México: ¿son inevitables?, Universidad Nacional Autónoma de México, México.

 

Aguilar, Genaro (2002), “¿Son adecuados los índices para medir la pobreza en tiempos de crisis?”, Revista Momento Económico, 123, Universidad Nacional Autónoma de México, México, pp. 2-11.

 

Banco Mundial (2001), Poverty trends and voices of the poor, Poverty Reduction and Economic Management and Human Development, Washington, <http://www.worldbank.org/poverty/data/trends/trends.pdf>, 15 de agosto de 2007.

 

Banco Mundial (2004), La pobreza en México: una evaluación de las condiciones, las tendencias y la estrategia del gobierno, Banco Mundial, Washington, <http://siteresources.worldbank.org/INTMEXICOINSPANISH/Resources/ 1pobreza.pdf>, 5 de agosto de 2007.

 

Barone, Victor (1998), Globalización y neoliberalismo. Elementos de una crítica, Consejo Latinoamericano de Ciencias Sociales, Buenos Aires, <http://74.125.155.132/search?q=cache:D1Jvwhtq_4IJ:bibliotecavirtual.clacso.org.ar>.

 

Batthyány, Karina, Mariana Cabrera y Daniel Macadar (2004), La pobreza y la desigualdad en América Latina, Instituto del Tercer Mundo, Montevideo, <www.socialwatch.org/en/informeImpreso/images/otrasPublicaciones/ZOOM-04-esp.pdf>, 15 de octubre de 2008.

 

Boltvinik, Julio (1994), Pobreza y estratificación social en México, inegi, Aguascalientes.

 

Boltvinik, Julio y Araceli Damian (2003), “Derechos humanos y medición oficial de la pobreza en México”, Papeles de Población, 35, Universidad Autónoma del Estado de México, Toluca, pp. 101-137.

 

Boltvinik, Julio (2005), “Ampliar la mirada. Un nuevo enfoque de la pobreza y el florecimiento humano”, Papeles de Población, 44, Universidad Autónoma del Estado de México, Toluca, pp. 9-42.

 

Boltvinik, Julio (2008), “74 millones de pobres en México”, Boletín de Prensa 60, uacm, México, 25 de septiembre, <http://listas2.uacm.edu.mx/pipermail/prensa/2008-September/000102.html>, 10 de noviembre de 2008.

 

Cardoso, Hugo (2006), “El origen del neoliberalismo: tres perspectivas”, Revista Espacios Públicos, 9 (18), Universidad Autónoma del Estado de México, Toluca, pp. 176-193.

 

cepal (Comisión Económica para América Latina y el Caribe) (2000), Equidad, desarrollo y ciudadanía, cepal, Santiago de Chile, <www.eclac.org/publicaciones/xml/5/4425/tocesp.htm>, 5 de agosto de 2007.

 

Coneval (Consejo Nacional de Evaluación de la Política de Desarrollo Social) (2008), Resumen sobre el informe de evaluación de la política de desarrollo social en México, Coneval, México, <www.coneval.gob.mx/contenido/home/2235.pdf>, 10 de noviembre de 2008.

 

Cortés, Fernando (2002), “Consideraciones sobre la marginalidad, marginación, pobreza y desigualdad en la distribución del ingreso”, Papeles de Población, 31, Universidad Autónoma del Estado de México, Toluca, pp. 9-24.

 

Feres, Juan Carlos y Xavier Mancero (2001), Enfoques para la medición de la pobreza. Breve revisión de literatura, cepal, Santiago de Chile.

 

Foster, James, Joel Greer y Erick Thorbecke (1984), “Notes and comments: A class of decomposable poverty measures”, Revista Econométrica, 52 (3), pp. 761-766, <http://darp.lse.ac.uk/papersdb/Foster_et_al_%28Econometrica_84%29.pdf>, 15 de diciembre de 2009.

 

Hernández, Enrique (2000), Prospectiva demográfica y económica de México y sus efectos sobre la pobreza, Consejo Nacional de Población, México, <www.conapo.gob.mx/publicaciones/CuaTec/pdf/prospectiva.pdf>, 15 de octubre de 2008.

 

inegi (Instituto Nacional de Estadística, Geografía e Informática) (2003), Anuario estadístico del Estado de México, inegi, Aguascalientes.

 

inegi (Instituto Nacional de Estadística, Geografía e Informática) (2005), II Conteo de población y vivienda, inegi, Aguascalientes, <www.inegi.gob.mx/inegi/default.aspx?s=est&c=10215>, 30 de junio de 2007.

 

Mota-Díaz, Laura (2002), “Globalización y pobreza: dicotomía del desarrollo en America Latina y México”, Convergencia, año 9, 28, Universidad Autónoma del Estado de México, Toluca, pp. 189-204.

 

Marx, Carlos y Federico Engels (2005), El manifiesto comunista, Partido Comunista de España, Madrid, <http://teketen.com/liburutegia/Manifiesto_comunista-Marx_Engles.pdf>, 15 de diciembre de 2009.

 

Niño, Edilberto (1985), Hombre y desarrollo, Colegio de Postgraduados, Texcoco.

 

Novelo-Urdanivia, Federico (2004), “Se busca otra globalización”, Revista Argumentos, 46-47, Universidad Autónoma Metropolitana, México, pp. 123-138.

 

Ornelas, Jesús (2006), “La política de combate a la pobreza en México, 1982-2005”, Papeles de Población, 47, Universidad Autónoma del Estado de México, Toluca, pp. 85-114.

 

Palacio, Víctor y Beatriz Cavallotti (2001), “Globalización, apertura comercial y sector agropecuario” en B. Mata (coord.), México rural: políticas para su reconstrucción, Universidad Autónoma Chapingo, Texcoco, pp. 51-77.

 

Sedesol (Secretaría de Desarrollo Social) (2002), Evolución y características de la pobreza en México en la última década del siglo xx, Comité Técnico para la Medición de la Pobreza, México, <http://sedesol2006.sedesol.gob.mx/evolucion.pdf>, 15 de agosto de 2007.

 

Sen, Amartya (1999), Development as freedom, Alfred A. Knopf, Nueva York.

 

 

Recibido: 7 de enero de 2009.

Aceptado: 23 de febrero de 2010.

 

Armando Rucoba-García. Es doctorante del programa en estudios del desarrollo rural del Colegio de Postgraduados. Realizó estudios de maestría en administración de agronegocios en la Universidad Autonónoma de Chihuahua y de ingeniería agronómica en la Universidad Autónoma Chapingo. Actualmente se dedica al estudio de la pobreza y la marginación en localidades rurales, así como de las estrategias enfocadas a su desarrollo territorial. Entre sus publicaciones destaca: “Análisis de rentabilidad de un sistema de producción de tomate bajo invernadero en la región centro-sur de Chihuahua”, Revista Mexicana de Agronegocios, cuarta época, año x, 19, México, pp. 46-56 (2006).

 

Edilberto Niño-Velázquez. Es doctor en estrategias para el desarrollo agrícola regional por el Colegio de Postgraduados; maestro en sociología por la Universidad de Wisconsin, e ingeniero agrónomo por la Universidad Autónoma Chapingo. Fue director del Programa en Estudios del Desarrollo Rural del Colegio de Postgraduados y presidente de la Asociación Latinoamericana de Sociología Rural (Alasru). Actualmente es profesor-investigador titular del Programa en Estudios del Desarrollo Rural del Colegio de Postgraduados y organizador de los Encuentros en Investigación, Docencia y Servicio en el Oriente del Estado de México. Sus líneas de investigación están orientadas al estudio de la marginación, la pobreza y la organización campesina en el medio rural. Entre sus publicaciones más recientes se encuentran: “Vigencia y perspectivas de las sociedades rurales en México”, Series del isei, 1, Colpos, Texcoco, pp.1-68 (2003); “Floricultura en San Pablo Ixayoc, Texcoco, Estado de México”, vi Encuentro de Investigación y Servicio en el Oriente del Estado de México, Texcoco, 20-22 de noviembre de 2000.

aripiprazoleorder rosuvastatin onlineorder atarax onlineorder albendazole